Preview

Ожирение и метаболизм

Расширенный поиск

Новые биомаркеры регуляции костного ремоделирования при акромегалии и эндогенном гиперкортицизме

https://doi.org/10.14341/omet9447

Содержание

Перейти к:

Аннотация

Обоснование. Костная ткань – это неклассический эндокринный орган, продуцирующий по меньшей мере два соединения с гормональной активностью: фактор роста фибробластов 23 (ФРФ23) и декарбоксилированный остеокальцин. Помимо этого, последние исследования показывают, что специфические белки, вовлеченные в паракринную регуляцию костного ремоделирования, могут быть измерены в образцах сыворотки периферической крови и служить в качестве дополнительных биомаркеров костного обмена.


Цель. Оценить сывороточные уровни биомаркеров, связанных с эндокринной и паракринной функцией костной ткани, у пациентов с болезнью Иценко-Кушинга (БИК) и акромегалией.


Методы. Исследование проведено одномоментно по типу «случай-контроль». В исследование были включены пациенты с установленной активностью БИК и акромегалии, а также здоровые добровольцы, подобранные по возрасту, полу и индексу массы тела (ИМТ). Образцы сывороток крови взяты утром (8–10 ч) натощак и заморожены при температуре -40°C. Для определения уровня исследуемых маркеров (ФРФ23, кофактор (ко-рецептор) Клото, катепсин К, склеростин, P1NP) использованы коммерчески доступные наборы для иммуноферментного анализа. Инсулиноподобный фактор роста-1 (ИФР-1) в сыворотке крови определялся иммунохемилюминесцентным методом, свободный кортизол в вечерней (23:00) слюне – электрохемилюминесцентным методом. Для оценки различий между группами применялись непараметрические варианты дисперсионного анализа – тест Краскела-Уоллиса и критерий Манна-Уитни.


Результаты. В исследование включены 78 человек (средний возраст 37,60 лет, 95% ДИ 34,75–40,46): 29 пациентов с БИК (группа 1), 22 – с акромегалией (группа 2) и 27 условно здоровых лиц (группа 3), подобранные по полу, возрасту и ИМТ (p=0,432, 0,373 и 0,725 между группами соответственно). Среднее значение свободного кортизола в вечерней слюне у пациентов с БИК и средний уровень ИФР-1 у пациентов с акромегалией были значимо выше, нежели в других группах (p=0,004 и p<0,001 соответственно). У пациентов с акромегалией наблюдалось статистически значимое повышение ФРФ23 в сравнении с контрольной группой (1,13 (0,78;1,49) против 0,78 (0,54;1,09)) и фосфора (1,38 (1,24;1,52) против 1,16 (1,12;1,29)) (p=0,010 и p<0,001 соответственно) наряду с увеличением уровней маркеров костного ремоделирования. У пациентов с БИК были подавлены маркеры костеобразования, однако различий в показателях других биомаркеров обнаружено не было.


Заключение. Акромегалия приводит к гиперфосфатемии и повышению ФРФ23, что наиболее вероятно объясняется развитием резистентности к ФРФ23, а также к интенсификации костного ремоделирования. При БИК подавлена выработка другого костного гормона, остеокальцина, одновременно со снижением P1NP, что отражает угнетение костеобразования.

Для цитирования:


Цориев Т.Т., Белая Ж.Е., Рожинская Л.Я., Мельниченко Г.А., Ильин А.В., Никанкина Л.В., Дедов И.И. Новые биомаркеры регуляции костного ремоделирования при акромегалии и эндогенном гиперкортицизме. Ожирение и метаболизм. 2018;15(3):33-41. https://doi.org/10.14341/omet9447

For citation:


Tsoriev T.T., Belaya Zh.E., Rozhinskaya L.Y., Mel’nichenko G.A., Ilyin A.V., Nikankina L.V., Dedov I.I. New biomarkers of bone remodelling regulation in patients with acromegaly and endogenous hypercortisolism. Obesity and metabolism. 2018;15(3):33-41. (In Russ.) https://doi.org/10.14341/omet9447

Обоснование

Костная ткань, как было показано в ряде исследований [1–3], способна продуцировать гуморальные факторы белкового происхождения, обладающие паракринными и эндокринными эффектами. Среди наиболее значимых биологически активных агентов можно выделить фактор роста фибробластов-23 (ФРФ23), его кофактор (или ко-рецептор) Клото, катепсин К, склеростин и некоторые другие.

ФРФ23 исходно был идентифицирован как «фосфатонин» – гормон, ответственный за поддержание нормального уровня фосфора в крови за счет удаления избыточного его количества с мочой. Он продуцируется в основном в костной ткани остеобластами и остеоцитами, его продукция увеличивается при снижении скорости клубочковой фильтрации (СКФ) и количества функционирующих нефронов (как это происходит при ХБП), старении и избыточном поступлении фосфора с пищей. ФРФ23 оказывает преимущественное действие на почки, снижая активность натрий-зависимых фосфатных транспортеров NaPi2a и NaPi2c (SLC34a1 и SLC34a3) и тем самым повышая экскрецию фосфора [4]. Кроме того, ФРФ23 ингибирует витамин D-1α-гидроксилазу (CYP27B1) и образование кальцитриола и усиливает действие 24α-гидроксилазы (CYP24A1), направленное на деградацию кальцитриола [5]. Впоследствии было обнаружено, что для осуществления вышеописанных эффектов требуется взаимодействие ФРФ23 с рецепторным комплексом, включающим в себя не только собственно рецептор – ФРФ-Р1, но и особый трансмембранный белок – мКлото, экспрессируемый в основном в почках, мозге и железах внутренней секреции – околощитовидных и гипофизе [6]. Только в этом случае происходит запуск каскада реакций в рамках специфического ФРФ23-сигнального пути. У мКлото имеется внеклеточный домен, ферментативно отщепляющийся от клеточной мембраны с образованием гуморального фактора, растворимого Клото (рКлото), который определяется во внеклеточных жидкостях (кровь, моча и цереброспинальная жидкость). Эта молекула способна воздействовать на некоторые таргетные ткани и процессы, включая регуляцию сигнальных путей и количества и активности ионных каналов и транспортеров плазматической мембраны (к примеру, ослабление кальциурии). Таким образом, Клото является ключевым агентом в гомеостазе как кальция (в особенности рКлото), так и фосфора (преимущественно мКлото, ФРФ23-зависимый путь), действуя в основном на почки и в меньшей степени – на околощитовидные железы [7].

Катепсин К является одним из наиболее важных лизосомальных ферментов, вырабатываемых в остеокластах. Высвобождаясь в резорбционные лакуны, он разрушает коллаген 1 типа, который составляет основу органического костного матрикса, и поэтому вполне может рассматриваться в качестве мишени для медикаментозного воздействия при остеопорозе [8]. Незначительная доля катепсина К высвобождается в кровоток и может быть использована в качестве специфического биологического маркера активности остеокластов [9].

Склеростин – гликопротеин, продуцируемый в ходе экспрессии гена SOST в остеоцитах и хондроцитах. Он выступает в качестве внеклеточного антагониста канонического Wnt-сигнального пути в остеобластах, подавляя таким образом костеобразование [10]. Также склеростин может влиять на костную резорбцию [11].

Приведенное выше краткое описание основных остеогенных гормоноподобных соединений дает достаточное представление о важности костной ткани для организма не только в ее традиционном понимании как основы опорно-двигательного аппарата, но и в качестве неклассического эндокринного органа, какими уже были признаны ранее почки, слизистая желудочно-кишечного тракта, легкие и ряд других органов. Это знание позволяет нам экстраполировать влияние различных заболеваний костного скелета, особенно сопровождаемых нарушением костного ремоделирования, в том числе и на расстройство эндокринной функции кости. В частности, эндогенный гиперкортицизм и акромегалия, способные оказывать значимое влияние на интенсивность процессов минерального и костного обмена. Так, гиперкортизолемия, наблюдаемая при болезни Иценко-Кушинга (БИК), угнетает формирование новой кости путем замедления деления остеобластов и нарушения их синтетической функции [12], а гиперсекреция соматотропного гормона (СТГ) (и, как следствие, инсулиноподобного фактора роста (ИФР-1)), возможно, приводит к усилению костного ремоделирования в целом [13]. В обоих случаях на тканевом уровне протекают патологические процессы, характерные для остеопороза и вызывающие развитие низкотравматических переломов, особенно при эндогенном гиперкортицизме.

Помимо этого, установлено, что СТГ оказывает эффекты, противоположные таковым ФРФ23, т.е. при избытке гормона роста усиливается реабсорбция фосфора в проксимальных почечных канальцах и ослабляется кальциурия в дистальных канальцах [14], что сходно с действием рКлото. Точный механизм влияния СТГ на высвобождение рКлото из почек не выяснен, однако рКлото возрастает при акромегалии примерно в 5 раз, а после аденомэктомии происходит нормализация уровня белка [15]. При этом у пациентов с гормонально-неактивной аденомой гипофиза подобных колебаний уровня рКлото ни до, ни после операции не обнаружено [16]. Там же [16] было показано, что уровень рКлото снижался после операции как минимум с той же скоростью, что и ИФР-1. Это еще раз доказывает наличие прямого воздействия СТГ на концентрацию рКлото в сыворотке крови.

В связи с этим было решено изучить маркеры костного и минерального обмена при этих двух эндокринных патологиях и оценить степень взаимосвязи между изменением уровней маркеров (и следовательно, эндокринной функции костной ткани и состояния костного ремоделирования) и активностью основных заболеваний.

ЦЕЛЬ

Оценить сывороточные уровни биомаркеров, связанных с эндокринной и паракринной функцией кости, у пациентов с БИК и акромегалией.

МЕТОДЫ

Дизайн исследования

Исследование проводилось одномоментно по типу «случай-контроль»; в него были включены пациенты, подобранные по возрасту, полу и индексу массы тела (ИМТ), с клинически и лабораторно подтвержденными диагнозами БИК и акромегалии, находившиеся на обследовании в отделении нейроэндокринологии и остеопатий ФГБУ «Национальный медицинский исследовательский центр эндокринологии» Минздрава России, а также здоровые лица, вошедшие в контрольную группу. Всего было обследовано 78 человек, из них 29 – с БИК, 22 – с акромегалией и 27 условно здоровых лиц. Образцы сыворотки крови, взятые у всех обследуемых утром натощак, центрифугировались при температуре -5°C в течение 30 мин (с частотой 3000 об./мин), после чего были заморожены в аликвотах при температуре ниже -20°C. Группа контроля также была подобрана по возрасту, полу и ИМТ. По завершении сбора клинического материала проведено одномоментное исследование во всех образцах содержания биомаркеров при помощи коммерчески доступных диагностических наборов (см. Методы регистрации исходов). В дальнейшем проводился статистический анализ полученных данных; за нулевую гипотезу было принято утверждение об отсутствии значимых различий в уровнях биомаркеров между группами пациентов и контроля и какой-либо корреляции между уровнями биомаркеров и активностью заболевания (БИК или акромегалии).

Критерии соответствия

Для участия в исследовании привлекались пациенты с подтвержденными диагнозами БИК и акромегалии, а также условно здоровые лица. В протокол исследования не включались пациенты, находившиеся в состоянии ремиссии на фоне проведенного ранее хирургического лечения или получаемой на момент госпитализации медикаментозной терапии, а также лица, принимавшие глюкокортикостероиды (в том числе вследствие надпочечниковой недостаточности), находившиеся в терминальных состояниях, с тяжелыми, жизнеугрожающими состояниями (острая почечная и печеночная недостаточность, инфаркт миокарда, острое нарушение мозгового кровообращения), острыми инфекциями, обострением хронических заболеваний, тяжелыми психиатрическими заболеваниями, с длительной (>1 нед) общей иммобилизацией, беременные, лица, имевшие другие заболевания, приводящие к остеопорозу (кроме эндогенного гиперкортицизма и акромегалии1), а также длительно принимавшие (к моменту проведения исследования) медикаменты, потенциально оказывающие значимое влияние на минеральный и костный обмен и процессы ремоделирования костной ткани (в том числе препараты кальция; антирезорбтивные препараты, антитела к RANKL, рекомбинантный паратгормон – все в качестве лечения остеопороза; экзогенный гормон роста). Все лица, у которых в процессе сбора клинического материала обнаруживалось или находилось какое-либо из вышеперечисленных состояний или условий, исключались из исследования.

Условия проведения

Все клинические, лабораторные и инструментальные манипуляции, выполненные в рамках данного исследования, были проведены на базе одного учреждения. Каких-либо специфических факторов, способных повлиять на внешнюю обобщенность выводов исследования, не выявлено. ФГБУ «Национальный медицинский исследовательский центр эндокринологии» Минздрава России

Продолжительность исследования

Набор материала продолжался с осени 2015 г. по осень 2016 г. Образцы сывороток исследовались одномоментно после завершения сбора всего биологического материала.

Описание медицинского вмешательства

Всем участникам исследования однократно производился забор крови натощак с последующим центрифугированием и замораживанием взятых образцов (см. Дизайн исследования). Предварительно участники заполняли опросники для выяснения их соответствия критериям включения/исключения (см. Критерии соответствия).

Основной исход исследования

Определены и изучены сывороточные уровни биомаркеров костного ремоделирования – ФРФ23, кофактора Клото, катепсина К, склеростина, N-концевого пропептида проколлагена 1 типа (P1NP), а также дополнительно – остеокальцина и C-концевого телопептида коллагена 1 типа (CTx), стандартных маркеров костеобразования и костной резорбции, во всех группах (пациенты и здоровый контроль).

Дополнительные исходы исследования

Определены и изучены уровни свободного кортизола в вечерней слюне2 и ИФР-1 в сыворотке крови, используемые для подтверждения диагноза эндогенного гиперкортицизма (БИК)3 или акромегалии соответственно, а также биохимические показатели кальциево-фосфорного обмена и почечной функции (кальций общий и ионизированный, фосфор, щелочная фосфатаза, креатинин с расчетом СКФ), косвенно отражающие или влияющие на процессы костного ремоделирования.

Методы регистрации исходов

Для определения активности заболеваний у пациентов и исключения гиперкортицизма и акромегалии в группе контроля были исследованы уровни свободного кортизола в вечерней слюне и ИФР-1 в сыворотке крови4. Для определения уровня свободного кортизола в слюне использован электрохемилюминесцентный модуль Cobas e601 (Roche, Швейцария) (0,5−9,4 нмоль/л). ИФР-1 был определен иммунохемилюминесцентным методом на анализаторе Liaison (Италия, Германия) (60−280 нг/мл). У пациентов с БИК дополнительно измерен свободный кортизол в суточной моче (иммунохемилюминесцентный метод, анализатор Vitros ECi (США, Великобритания)) (референсные значения 60−413 нмоль/сут).

Биохимический анализ крови проводился стандартными наборами на анализаторе Architect c4000 (Abbott, США) (кальций общий и ионизированный, фосфор, щелочная фосфатаза, креатинин). Расчет СКФ производился с помощью электронного онлайн-калькулятора (сайт mdrd.com) для каждого участника исследования с использованием значений креатинина (мкмоль/л) и указанием возраста (полных лет), пола и расовой принадлежности; использовалась формула CKD-EPI. 25(OH)-витамин D оценивался иммунохемилюминесцентным методом (анализатор Liaison, диагностический набор DiaSorin Liaison® 25 OH Vitamin D TOTAL Assay (Италия), референсные значения 30–100 нг/мл).

Для определения уровня исследуемых биомаркеров в сыворотке крови были использованы коммерчески доступные наборы для иммуноферментного анализа ELISA kit FGF23 (C-terminal) BI-20702, ELISA kit Klotho SEH757Hu, ELISA kit Cathepsin K BI-20432, ELISA kit Sclerostin BI-20492, ELISA kit Procollagen I N-terminal Propeptide (PINP) SEA957Hu.

Этическая экспертиза

Локальным этическим комитетом ФГБУ «Национальный медицинский исследовательский центр эндокринологии» Минздрава России, согласно протоколу №12 Заседания Комитета от 28.10.2015 г., постановлено, что планируемая научная работа соответствует этическим стандартам добросовестной клинической практики и может быть проведена на базе отделения нейроэндокринологии и остеопатий ФГБУ «НМИЦЭ» МЗ РФ.

Все пациенты подписывали добровольное информированное согласие на участие в исследовании. ФГБУ «Национальный медицинский исследовательский центр эндокринологии» Минздрава России

Статистический анализ

Принципы расчета размера выборки

Ввиду отсутствия пилотных исследований мощность выборки оценена эмпирически с учетом редкости данных заболеваний.

Методы статистического анализа данных

Анализ данных производился в пакете статистических программ IBM SPSS Statistics Base (SPSS, США). Описательная статистика: количественные значения признаков представлены как медианы и межквартильные размахи (25-й и 75-й процентили). Качественные параметры представлены в процентах. Для оценки различий по количественным параметрам в трех независимых выборках были использованы непараметрические варианты однофакторного дисперсионного анализа – тест Краскела-Уоллиса и в последующем, при выявлении различий между группами, критерий Манна-Уитни. Корреляционный анализ проводился также непараметрическим методом – применялся расчет коэффициента корреляции Спирмена (ρ). Статистически значимым считался p<0,05. Значения p рассчитывались для всей выборки, при обнаружении статистической значимости для какого-либо из показателей – как двусто ронние.

РЕЗУЛЬТАТЫ

Объекты (участники) исследования

В исследование были включены 78 человек: 31 мужчина и 47 женщин, различий по полу между группами не обнаружено (p=0,426). Возрастная структура групп и ИМТ обследуемых также были сопоставимы между собой (p=0,488 и p=0,531 между группами соответственно). Медиана возраста обследуемых в целом по выборке составила 37,00 (25,00;48,00) лет, ИМТ – 26,92 (22,62;31,57) кг/м2. Медиана свободного кортизола в вечерней слюне у пациентов с БИК и медиана ИФР-1 у пациентов с акромегалией были значимо выше, нежели в других группах (p<0,001 для обоих показателей). Свободный кортизол в суточной моче, измеренный дополнительно у пациентов с БИК, также подтвердил наличие эндогенного гиперкортицизма: медиана составила 1332,00 нмоль/сут (584,80;3850,00), что значительно превышает референсные значения для использованного диагностического набора.

Подробная общая характеристика участников исследования приведена в таблице 1.

Таблица 1. Краткая характеристика включенных в исследование лиц (приводится медиана и 25–75 процентили)

Показатели

Me (Q25;Q75)

p

БИК

Акромегалия

Контроль

Количество пациентов, n

29

22

27

 

Возраст, лет

36,00 (28,00;53,00)

40,00 (25,75;44,00)

34,00 (24,00;42,00)

0,488

Пол (М%:Ж%)

9:20 (31,03:68,97)

9:13 (40,91:59,09)

13:14 (48,15:51,85)

0,426

ИМТ, кг/м2

26,57 (22,61;30,74)

29,66 (23,72;31,77)

25,69 (22,00;30,66)

0,531

Кортизол в вечерней слюне, нмоль/л

20,56 (12,18;43,91)

4,65 (1,85;6,35)

1,66 (0,69;3,92)

<0,001a

ИФР-1, нг/мл

193,60 (157,05;305,90)

834,20 (612,08;1008,75)

219,05 (158,88;249,30)

<0,001b

Кальций общий, ммоль/л

2,42 (2,34;2,50)

2,40 (2,31;2,48)

2,36 (2,33;2,41)

0,345

Фосфор, ммоль/л

1,17 (0,99;1,29)

1,38 (1,24;1,52)

1,16 (1,12;1,29)

<0,001b

Щелочная фосфатаза, Ед/л

62,00 (50,50;80,00)

76,00 (55,50;93,50)

52,00 (45,00;64,00)

0,002c

Креатинин, мкмоль/л

74,80 (66,35;83,00)

64,10 (57,55;69,40)

70,40 (62,20;74,00)

0,001d

СКФ, мл/мин/1,73 м2

95,00 (69,50;114,00)

108,5 (105,75;116,50)

103,00 (99,00;110,75)

0,014e

25(OH)-витамин D, нг/мл

15,60 (12,80;19,55)

15,80 (12,50;17,50)

15,90 (12,00;21,40)

0,885

a Значимое повышение в группе пациентов с болезнью Иценко-Кушинга по сравнению с остальными двумя группами (оба p<0,001).

b Значимое повышение в группе пациентов с акромегалией по сравнению с контролем и болезнью Иценко-Кушинга (оба p<0,001).

c Значимое повышение в группе пациентов с акромегалией по сравнению с контролем (p<0,001) и болезнью Иценко-Кушинга (p=0,035).

d Значимое снижение в группе пациентов с акромегалией по сравнению с контролем (p=0,008) и болезнью Иценко-Кушинга (p<0,001).

e Значимое повышение в группе пациентов с акромегалией по сравнению с контролем (p=0,036) и болезнью Иценко-Кушинга (p=0,012).

Основные результаты исследования

Полученные результаты свидетельствуют о значимом повышении ФРФ23 у пациентов с акромегалией по сравнению с пациентами с БИК и здоровым контролем (рис. 1). При этом концентрация кофактора Клото была сходной во всех трех группах. Стоит отметить, что у пациентов с акромегалией зафиксировано повышение сывороточных маркеров как формирования, так и резорбции костной ткани, о чем свидетельствует не только повышение P1NP, но и остеокальцина и C-концевого телопептида. У пациентов с БИК отмечено изолированное угнетение костеобразования (снижение остеокальцина и P1NP); признаков усиления костной резорбции не выявлено (табл. 2).

Рис. 1. Уровни ФРФ23 у пациентов с болезнью Иценко-Кушинга, акромегалией и здоровых лиц. В группе пациентов с акромегалией отмечается значимое повышение ФРФ23 по сравнению с пациентами с БИК и контрольной группой.

Таблица 2. Сравнение пациентов с эндогенным гиперкортицизмом, акромегалией и здоровых лиц по уровню маркеров костного и минерального обмена (приводится медиана и 25–75 процентили)

Показатели

Me (Q25;Q75)

p

БИК

Акромегалия

Контроль

Количество пациентов, n

29

22

27

 

Склеростин, пмоль/л

30,65 (18,14;46,19)

28,89 (26,56;48,43)

38,88 (28,86;44,44)

0,147

Катепсин К, пмоль/л

6,05 (5,51;7,36)

5,13 (6,12;8,85)

4,67 (5,21;6,51)

0,203

ФРФ23, пмоль/л

0,68 (0,46;0,94)

1,13 (0,78;1,49)

0,78 (0,54;1,09)

0,002a

Клото, нг/мл

0,24 (0,13;0,57)

0,18 (0,11;0,26)

0,15 (0,11;0,27)

0,124

P1NP, нг/мл

28,50 (18,00;44,00)

96,50 (76,50;176,50)

56,50 (39,50;65,50)

<0,001b

Остеокальцин, нг/мл

8,53 (5,40;12,41)

40,53 (29,43;71,05)

22,45 (17,36;26,31)

<0,001b

C-концевой телопептид, нг/мл

0,41 (0,27;0,53)

0,97 (0,55;1,34)

0,43 (0,33;0,64)

<0,001c

a Значимое повышение в группе пациентов с акромегалией по сравнению с контролем (p=0,01) и БИК (p=0,001).

b Значимые различия между всеми тремя группами: БИК < контроль < акромегалия (все p <0,001).

c Значимое повышение в группе пациентов с акромегалией по сравнению с контролем и болезнью Иценко-Кушинга (оба p<0,001).

Дополнительные результаты исследования

Теми же непараметрическими методами были рассчитаны значения показателей кальциево-фосфорного обмена. Уровень общего кальция в сыворотке крови был сопоставим во всех группах, однако концентрация ионизированной формы в группе пациентов с БИК значимо превышала таковую у здоровых лиц (по сравнению с больными акромегалией превышение также имело место, однако статистическая значимость отсутствовала). Наиболее интересный результат получен именно в группе пациентов с акромегалией: в ней по сравнению с остальными группами были существенно повышены уровень фосфора и содержание щелочной фосфатазы и одновременно снижен – креатинина. Почечная функция у всех обследованных была удовлетворительной (ХБП С1–С2 либо ее отсутствие) и не могла оказать искажающий эффект на полученные результаты. Что касается витамина D, то его дефицит присутствовал почти без исключения у всех участников исследования, причем выраженность дефицита была примерно одинаковой во всех трех группах (табл. 1).

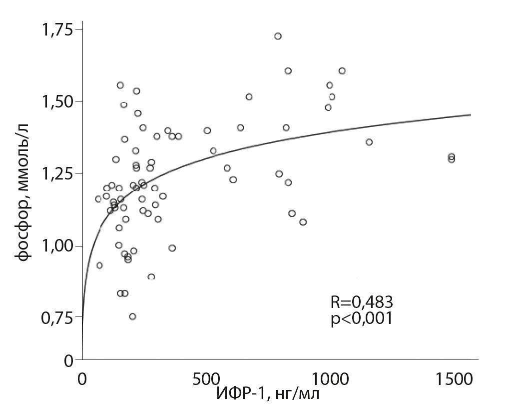
При проведении корреляционного анализа по Спирмену для показателей со значительными различиями между группами установлена их зависимость от активности основного заболевания: статистически значима корреляция ИФР-1 с ФРФ23 (ρ=0,351; p=0,003; рис. 2), фосфором (ρ=0,483; p<0,001; рис. 3), остеокальцином (ρ=0,625; p<0,001), C-концевым телопептидом (ρ=0,491; p<0,001), P1NP (ρ=0,654; p<0,001), щелочной фосфатазой (ρ=0,289; p=0,015) и креатинином (ρ=-0,329; p 0,005); кортизола в вечерней слюне с ионизированным кальцием (ρ=0,291; p=0,023) и P1NP (ρ=-0,651; p<0,001). Кроме того, обнаружена очень сильная положительная корреляция между содержанием P1NP и остеокальцина (ρ=0,915; p=0,001) и положительная средней силы – фосфора и щелочной фосфатазы (ρ=0,308; p=0,007) в сыворотке крови.

Рис. 2. Корреляционная зависимость уровней ИФР-1 и ФРФ23 в общей выборке участников исследования.

Имеется статистически значимая корреляция между ИФР-1 и ФРФ23 в целом в исследуемой когорте.

Рис. 3. Корреляционная зависимость уровней ИФР-1 и фосфора в общей выборке участников исследования.

Имеется статистически значимая корреляция между ИФР-1 и фосфором в целом в исследуемой когорте.

Нежелательные явления

Нежелательных явлений в ходе исследования ни в одной из трех групп отмечено не было.

ОБСУЖДЕНИЕ

Резюме основного результата исследования

В настоящем исследовании проведен анализ содержания в сыворотке крови новых биомаркеров, отражающих эндокринную и паракринную функцию костной ткани в условиях эндогенного гиперкортицизма и акромегалии. Выявлено повышение уровня ФРФ23 в сочетании с повышением содержания фосфора, что говорит о развитии относительной резистентности к эффектам ФРФ23 у пациентов с акромегалией. Однако содержание Клото, склеростина и катепсина К у пациентов с акромегалией не отличалось от показателей в контрольной группе. У пациентов с БИК было выявлено некоторое повышение уровня катепсина К, которое, однако, не имело достаточной статистической значимости, а также подавление секреции общего остеокальцина. Классические маркеры костного ремоделирования были диаметрально противоположно изменены: маркеры костеобразования подавлены у пациентов с БИК, а у пациентов с акромегалией маркеры костеобразования и костной резорбции были повышены.

Обсуждение основного результата исследования

Несмотря на наличие некомпенсированного дефицита витамина D у всех участников исследования, мы не могли связывать с ним обнаруженные изменения уровней ионизированного кальция и фосфора, так как статистически значимых различий между группами в степени выраженности дефицита витамина D выявлено не было. Кроме того, у пациентов с акромегалией определить наличие истинного дефицита витамина D затруднительно ввиду активации 1α-гидроксилазы и усиления превращения измеряемого в крови колекальциферола в кальцитриол. Удовлетворительная же фильтрационная функция почек позволила исключить недостаточность мКлото, вырабатываемого преимущественно в почечной паренхиме. Таким образом, определяющим фактором зафиксированных изменений секреции ФРФ23 и P1NP является негативное воздействие гиперсекреции кортизола и СТГ/ИФР-1 на костную ткань.

В целом акромегалия приводит к повышению уровней сывороточного фосфора и ФРФ23, несмотря на усиление клубочковой фильтрации, характеризуемое повышением СКФ. Так, несмотря на то что фосфор и ФРФ23 высоки при акромегалии, кальцитриол также бывает повышен при этом заболевании. В исследованиях Bianda и соавт. и Schmid и Meili максимальная канальцевая реабсорбция фосфора (в сравнении с физиологическим раствором) в пересчете на СКФ (TmP/GFR) повышалась при действии СТГ, но не ИФР-1; иначе говоря, ИФР-1 не повторяет (и, возможно, не опосредует) стимулирующее действие СТГ на реабсорбцию фосфора почками, несмотря на сравнимый эффект на СКФ [14]. Вся эта картина может объясняться состоянием почечной ФРФ23-резистентности, возникающим вследствие прямого действия СТГ на мКлото [17].

Именно такие результаты были получены и в нашем исследовании: несмотря на исходное предположение, согласно которому уровень рКлото может прямо коррелировать с содержанием СТГ/ИФР-1 в сыворотке крови и отражать интенсивность воздействия ИФР-1 на внеклеточный домен мКлото, ожидавшегося повышения рКлото в полученных результатах не было зафиксировано, хотя значимое повышение ФРФ23 и фосфора у пациентов с акромегалией указывает на формирование у этих лиц резистентности к ФРФ23 – косвенное свидетельство снижения аффинности мКлото к ФРФ-Р1 и далее – активирующего влияния на ФРФ23-сигнальный путь. Корреляционный анализ также показал отсутствие значимой взаимосвязи между ИФР-1 и рКлото (ρ=-0,065; p=0,592). Таким образом, ИФР-1 действительно не имеет отношения к образованию рКлото. Тем не менее существующие данные [15, 18] позволяют рассматривать рКлото в качестве потенциального маркера активности акромегалии, ассоциированного с уровнем СТГ.

Стоит отметить, что высокие значения рКлото у пациентов с акромегалией не всегда соответствуют столь же высоким уровням мКлото (в почках, околощитовидных железах и в других локализациях). Есть гипотеза, согласно которой несоразмерное повышение рКлото может быть вызвано усилением ферментативного отщепления внеклеточного эктодомена без сопутствующего изменения экспрессии мКлото [19]. Нельзя исключать, что при акромегалии происходит именно этот процесс (под влиянием СТГ), что и приводит к ФРФ23-резистентности по причине интенсивной деградации молекулы мКлото. Корреляция ФРФ23 с рКлото в нашем исследовании не рассматривалась, т.к. последний, в отличие от ФРФ23, не был изменен у пациентов с акромегалией и, по всей видимости, не отражает степень возможной деградации мКлото в почках в рассматриваемой выборке. Для выяснения молекулярной основы резистентности почек и околощитовидных желез к ФРФ23 у пациентов, больных акромегалией, требуется изучить экспрессию комплекса Клото–ФРФ-Р1 в указанных органах, а также активность секретаз (отщепляющих эктодомен от цельной молекулы мКлото).

Отсутствие ожидавшейся в группе пациентов с акромегалией гиперпродукции рКлото сочетается с сопоставимостью значений ионизированного кальция у этой категории пациентов и контрольных лиц. Корреляции между уровнями рКлото и ионизированного кальция не выявлено (ρ=0,071, p=0,543). Имелась слабая положительная связь между ионизированным кальцием и свободным кортизолом в вечерней слюне (ρ=0,291, p=0,023). Однако в отсутствие гиперкальциемии нельзя утверждать, что гиперкортицизм существенно влияет на обмен кальция и его реабсорбцию в почках; скорее, можно предполагать ослабление связывания кальция в сыворотке крови с альбумином. Интересен тот факт, что, несмотря на обнаружение значимых различий в уровнях ионизированного кальция, фосфора и щелочной фосфатазы между группами, ни в одной из них не было зафиксировано превышения референсных интервалов, т.е. их нельзя зарегистрировать у индивидуального пациента.

Тем не менее, как уже отчасти указывалось, вышеизложенные данные о влиянии акромегалии на костный и минеральный обмен были подтверждены в ходе проведения корреляционного анализа: гиперпродукция ИФР-1 вследствие избыточного уровня СТГ взаимосвязана с гиперфосфатемией и увеличением ФРФ23, что свидетельствует о состоянии ФРФ23-резистентности у обследованных нами пациентов с акромегалией. К слову, для ФРФ23 и фосфора корреляция фактически отсутствовала. Значимая корреляция с уровнем ИФР-1 получена для маркеров костного ремоделирования: остеокальцина, P1NP и в гораздо меньшей степени – костноспецифической щелочной фосфатазы и C-концевого телопептида коллагена 1 типа, что подтверждает влияние заболевания на интенсификацию процессов костного обмена. Кроме того, снижение креатинина и, следовательно, повышение СКФ на фоне высоких значений ИФР-1 также коррелирует с ранее доложенными наблюдениями. Что примечательно, имеющиеся результаты позволяют предположить «разделение полномочий» СТГ и ИФР-1 в отношении почек: если фильтрационная функция подвергается воздействию ИФР-1, то реабсорбционная, пара- и эндокринная функции регулируются непосредственно СТГ. Эта гипотеза, безусловно, еще нуждается в проверке.

Достаточно слабая связь между показателями фосфора и щелочной фосфатазы может указывать на малый вклад фермента в возрастание уровня монофосфата в сыворотке, которое происходит, как мы уже выяснили, за счет формирования ФРФ23-резистентности при избытке СТГ.

Достаточно неожиданным результатом стало отсутствие статистически значимых различий между группами при анализе концентраций катепсина К и склеростина. Данные об изменении их уровней при гиперкортицизме (в том числе экзогенном) и гиперсекреции СТГ/ИФР-1 были получены ранее разными исследователями, так, например, у пациентов с БИК обнаруживалось повышение катепсина К и склеростина, причем для последнего установлен факт усиления его экспрессии непосредственно в костной ткани [9, 20]. Отсутствие фиксируемых изменений в нашем исследовании может являться следствием недостаточного размера выборки, а также свидетельствовать о нестабильности склеростина в сыворотке крови, так как имеются данные и о снижении этого показателя в сыворотке крови пациентов с эндогенным гиперкортицизмом [21].

Наконец, обнаружена в общем-то ожидаемая отрицательная корреляция между P1NP и кортизолом в вечерней слюне. Это очередное подтверждение подавления костеобразования при эндогенном гиперкортицизме. При этом очень высока взаимосвязь остеокальцина и P1NP, что наводит на мысль о взаимозаменяемости этих двух маркеров и потенциальном использовании P1NP в клинической практике как не уступающего по точности важного показателя костеобразования и функции остеобластов (P1NP, в отличие от остеокальцина, является непосредственным индикатором формирования коллагена 1 типа, составляющего основу органического матрикса костной ткани).

Вызывает интерес вопрос о вовлеченности околощитовидных желез в нарушение процессов костеобразования и костной резорбции при БИК и акромегалии (ПТГ и его связь с изменением секреции ФРФ23, кофактора Клото, катепсина К и прочих маркеров костного обмена). Особенно важным направлением дальнейших исследований представляется изучение динамики показателей костного ремоделирования (как уже исследованных ранее, так и новых) после проведения радикального лечения БИК и акромегалии на фоне нормализации уровней кортизола и СТГ/ИФР-1.

Ограничения исследования

Коллектив авторов допускает, что на полученные результаты определенное влияние мог оказать недостаточный объем произведенной выборки, однако применение непараметрических методов статистического анализа позволило хотя бы отчасти нивелировать погрешности, связанные с объемом выборки. Тем не менее нельзя исключать изменение результатов при увеличении выборки (к примеру, обнаружение значимого повышения уровней катепсина К и склеростина у пациентов с БИК или рКлото у пациентов с акромегалией).

ЗАКЛЮЧЕНИЕ

Имевшиеся к моменту начала исследования сведения об эндокринной активности костной ткани и связанной с ней регуляции фосфорно-кальциевого обмена (гиперфосфатемия при акромегалии вследствие формирующейся ФРФ23-резистентности, гиперкальциемия в этой же когорте пациентов на фоне увеличения циркулирующего рКлото) частично подтвердились. У пациентов с акромегалией зафиксировано существенное увеличение концентрации ФРФ23 и C-концевого телопептида по сравнению с больными БИК и здоровыми людьми. Таким образом, у них отмечается общая интенсификация минерального и костного обмена. Представляется необходимым контролировать показатели фосфора и кальция как в активной стадии заболевания (ввиду повышения риска сосудистой кальцификации из-за развития гиперфосфатемии), так и после проведения радикального лечения. Имеет смысл рассмотреть ФРФ23 в качестве суррогатного маркера активности акромегалии. Статистически значимых различий между всеми тремя группами по катепсину К, склеростину, кофактору Клото (последний повышен у пациентов с БИК) установлено не было. Представляется целесообразным изучение динамики этих показателей в большей выборке пациентов с БИК и акромегалией с целью уточнения существенности влияния этих заболеваний на эндокринную функцию костной ткани.

В результате проведенного анализа данных выявлено значимое снижение содержания P1NP и остеокальцина в сыворотке у пациентов с БИК по сравнению с контрольными лицами (что в очередной раз подтверждает известный факт угнетения анаболических процессов в костном матриксе на фоне гиперкортицизма) и напротив – их повышение у пациентов с акромегалией. Это указывает на возможность использования P1NP наравне с остеокальцином в качестве маркера вторичного остеопороза вследствие гиперкортицизма.

ДОПОЛНИТЕЛЬНАЯ ИНФОРМАЦИЯ

Источник финансирования. Финансирование работы проводилось за счет средств гранта Президента РФ для молодых ученых МД-3204.2017.7.

Конфликт интересов. Авторы декларируют отсутствие явных и потенциальных конфликтов интересов, связанных с публикацией настоящей статьи.

Участие авторов. Все авторы внесли значимый вклад в проведение исследования и подготовку статьи, прочли и одобрили финальную версию перед публикацией.

Примечания

1 Лица, имевшие смешанный генез остеопороза (т.е. пост менопаузальный + стероидный или на фоне акромегалии), по возможности также не включались в исследование. Критерием служило доказанное наличие постменопаузального остеопороза, предшествовавшее установлению диагноза болезни Иценко-Кушинга или акромегалии. Желательным (но не строго обязательным) критерием был возраст пациентов (предпочтительно менее 50 лет).

2 Данному методу было отдано предпочтение перед определением свободного кортизола в суточной моче ввиду более простой методики получения диагностического материала и большей комплаентности обследуемых лиц при выполнении требований к его сбору.

3 У всех пациентов с эндогенным гиперкортицизмом установлено наличие аденомы гипофиза (МРТ).

4 В отличие от классических инсулинчувствительных тканей, таких как жировая, поперечнополосатая мышечная и печеночная, на которые СТГ оказывает прямое действие, на костную ткань, как и на большинство других, он действует опосредованно через ИФР-1. Поэтому было решено не оценивать СТГ ни в одной из групп.

Список литературы

1. Guntur AR, Rosen CJ. Bone as an endocrine organ. Endocr Pract. 2012;18(5):758-762. doi: 10.4158/EP12141.RA.

2. Schwetz V, Pieber T, Obermayer-Pietsch B. The endocrine role of the skeleton: background and clinical evidence. Eur J Endocrinol. 2012;166(6):959-967. doi: 10.1530/EJE-12-0030.

3. Гребенникова Т.А., Белая Ж.Е., Цориев Т.Т., и др. Эндокринная функция костной ткани. // Остеопороз и остеопатии. – 2015. – № 1. – С. 28-37. [Grebennikova TA, Belaya ZE, Tsoriev TT, et al. The endocrine function of the bone tissue. Osteoporoz i osteopatii. 2015;(1):28-37. (In Russ.)]

4. Gattineni J, Bates C, Twombley K, et al. FGF23 decreases renal NaPi-2a and NaPi-2c expression and induces hypophosphatemia in vivo predominantly via FGF receptor 1. Am J Physiol Renal Physiol. 2009;297(2):F282-291. doi: 10.1152/ajprenal.90742.2008.

5. Shimada T, Hasegawa H, Yamazaki Y, et al. FGF-23 is a potent regulator of vitamin D metabolism and phosphate homeostasis. J Bone Miner Res. 2004;19(3):429-435. doi: 10.1359/JBMR.0301264.

6. Urakawa I, Yamazaki Y, Shimada T, et al. Klotho converts canonical FGF receptor into a specific receptor for FGF23. Nature. 2006;444(7120):770-774. doi: 10.1038/nature05315.

7. Nabeshima Y, Imura H. α-Klotho: a regulator that integrates calcium homeostasis. Am J Nephrol. 2008;28(3):455-464. doi: 10.1159/000112824.

8. Chapurlat RD. Treatment of postmenopausal osteoporosis with odanacatib. Expert Opin Pharmacother. 2014;15(4):559-564. doi: 10.1517/14656566.2014.881470.

9. Цориев Т.Т., Гребенникова Т.А., Ильин А.В., и др. Уровень катепсина K у пациентов с болезнью Иценко-Кушинга как новый маркер активности остеокластов. В: Достижения персонализированной медицины сегодня – результат практического здравоохранения завтра: Сборник тезисов VII Всероссийского конгресса эндокринологов; март 2-5, 2016. Москва, Россия. М.: 2016. – С. 348. [Tsoriev TT, Grebennikova TA, Ilyin AV, et al. Uroven’ katepsina K u patsientov s boleznyu Itsenko-Kushinga kak novyy markyor aktivnosti osteoklastov. In: Dostizheniya personalizirovannoy meditsiny segodnya – rezul’tat prakticheskogo zdravookhraneniya zavtra: VII Russian Congress of Endocrinologists Abstract Book; 2016 Mar 2-5. Moscow, Russia. Moscow; 2016. p. 348. (In Russ.)]

10. Krishnan V, Bryant HU, Macdougald OA. Regulation of bone mass by Wnt signaling. J Clin Invest. 2006;116(5):1202-1209. doi: 10.1172/JCI28551.

11. Glass DA II, Bialek P, Ahn JD, et al. Canonical Wnt signaling in differentiated osteoblasts controls osteoclast differentiation. Dev Cell. 2005;8(5):751-764. doi: 10.1016/j.devcel.2005.02.017.

12. Драгунова Н.В., Белая Ж.Е., Рожинская Л.Я. Состояние костно-мышечной системы при эндогенном гиперкортицизме. // Остеопороз и остеопатии. – 2012. – № 3. – С. 18-24. [Dragunova NV, Belaya ZE, Rozhinskaya LY. Musculoskeletal system in the endogenous hypercortisolism. Osteoporoz i osteopatii. 2012;(3):18-24. (In Russ.)]

13. Потешкин Ю.Е., Пронин В.С., Мельниченко Г.А., и др. Влияние избытка гормона роста и ИФР-1 на костно-суставную систему при акромегалии. // Актуальная эндокринология. – 2015. [Poteshkin YE, Pronin VS, Mel’nichenko GA, et al. Growth hormone and IGF-1 effects on articular and skeletal system in acromegaly. Aktual’naya Endokrinologiya (Relev Endocrinol). 2015. (In Russ.)] doi: 10.18508/endo3539. Доступно по: http://actendocrinology.ru/archives/3539. Ссылка активна на 04.11.2017.

14. Bianda T, Hussain MA, Glatz Y, et al. Effects of short-term insulin-like growth factor-I or growth hormone treatment on bone turnover, renal phosphate reabsorption and 1,25 dihydroxyvitamin D3 production in healthy man. J Intern Med. 1997;241(2):143-150. doi: 10.1046/j.1365-2796.1997.94101000.x.

15. Sze L, Bernays RL, Zwimpfer C, et al. Excessively high soluble Klotho in patients with acromegaly. J Intern Med. 2012;272(1):93-97. doi: 10.1111/j.1365-2796.2012.02542.x.

16. Neidert MC, Sze L, Zwimpfer C, et al. Soluble α-Klotho: a novel serum biomarker for the activity of GH-producing pituitary adenomas. Eur J Endocrinol. 2013;168(4):575-583. doi: 10.1530/EJE-12-1045.

17. Ito N, Fukumoto S, Taguchi M, et al. Fibroblast growth factor (FGF)23 in patients with acromegaly. Endocr J. 2007;54(3):481-484. doi: 10.1507/endocrj.K06-217.

18. Schmid C, Neidert MC, Tschopp O, et al. Growth hormone and Klotho. J Endocrinol. 2013;219(2):R37-57. doi: 10.1530/JOE-13-0285.

19. Lau WL, Leaf EM, Hu MC, et al. Vitamin D receptor agonists increase Klotho and osteopontin while decreasing aortic calcification in mice with chronic kidney disease fed a high phosphate diet. Kidney Int. 2012;82(12):1261-1270. doi: 10.1038/ki.2012.322.

20. Belaya ZE, Rozhinskaya LY, Melnichenko GA, et al. Serum extracellular secreted antagonists of the canonical Wnt/β-catenin signaling pathway in patients with Cushing's syndrome. Osteoporos Int. 2013;24(8):2191-2199. doi: 10.1007/s00198-013-2268-y.

21. van Lierop AH, van der Eerden AW, Hamdy NA, et al. Circulating sclerostin levels are decreased in patients with endogenous hypercortisolism and increase after treatment. J Clin Endocrinol Metab. 2012;97(10):E1953-1957. doi: 10.1210/jc.2012-2218.


Об авторах

Тимур Тамерланович Цориев

ФГБУ «Национальный медицинский исследовательский центр эндокринологии» Минздрава России


Россия

аспирант



Жанна Евгеньевна Белая

ФГБУ «Национальный медицинский исследовательский центр эндокринологии» Минздрава России


Россия

д.м.н.



Людмила Яковлевна Рожинская

ФГБУ «Национальный медицинский исследовательский центр эндокринологии» Минздрава России


Россия

д.м.н., профессор



Галина Афанасьевна Мельниченко

ФГБУ «Национальный медицинский исследовательский центр эндокринологии» Минздрава России


Россия

д.м.н., профессор, академик РАН



Александр Викторович Ильин

ФГБУ «Национальный медицинский исследовательский центр эндокринологии» Минздрава России


Россия

Заведующий клинико-диагностической лабораторией


Конфликт интересов:

.



Лариса Вячеславовна Никанкина

ФГБУ «Национальный медицинский исследовательский центр эндокринологии» Минздрава России


Россия

к.м.н.



Иван Иванович Дедов

ФГБУ «Национальный медицинский исследовательский центр эндокринологии» Минздрава России


Россия

д.м.н., профессор, академик РАН



Дополнительные файлы

1. Рисунок 1. Уровни ФРФ23 у пациентов с болезнью Иценко-Кушинга, акромегалией и здоровых лиц
Тема
Тип Исследовательские инструменты
Посмотреть (24KB)    
Метаданные ▾
2. Рисунок 2. Корреляционная зависимость уровней ИФР-1 и ФРФ23 в общей выборке участников исследования
Тема
Тип Исследовательские инструменты
Посмотреть (28KB)    
Метаданные ▾
3. Рисунок 3. Корреляционная зависимость уровней ИФР-1 и фосфора в общей выборке участников исследования
Тема
Тип Исследовательские инструменты
Посмотреть (30KB)    
Метаданные ▾
4. Рис. 1. Уровни ФРФ23 у пациентов с болезнью Иценко-Кушинга, акромегалией и здоровых лиц. В группе пациентов с акромегалией отмечается значимое повышение ФРФ23 по сравнению с пациентами с БИК и контрольной группой.
Тема
Тип Исследовательские инструменты
Посмотреть (35KB)    
Метаданные ▾
5. Рис. 2. Корреляционная зависимость уровней ИФР-1 и ФРФ23 в общей выборке участников исследования.
Тема
Тип Исследовательские инструменты
Посмотреть (81KB)    
Метаданные ▾
6. Рис. 3. Корреляционная зависимость уровней ИФР-1 и фосфора в общей выборке участников исследования.
Тема
Тип Исследовательские инструменты
Посмотреть (98KB)    
Метаданные ▾

Рецензия

Для цитирования:


Цориев Т.Т., Белая Ж.Е., Рожинская Л.Я., Мельниченко Г.А., Ильин А.В., Никанкина Л.В., Дедов И.И. Новые биомаркеры регуляции костного ремоделирования при акромегалии и эндогенном гиперкортицизме. Ожирение и метаболизм. 2018;15(3):33-41. https://doi.org/10.14341/omet9447

For citation:


Tsoriev T.T., Belaya Zh.E., Rozhinskaya L.Y., Mel’nichenko G.A., Ilyin A.V., Nikankina L.V., Dedov I.I. New biomarkers of bone remodelling regulation in patients with acromegaly and endogenous hypercortisolism. Obesity and metabolism. 2018;15(3):33-41. (In Russ.) https://doi.org/10.14341/omet9447

Просмотров: 1390


ISSN 2071-8713 (Print)
ISSN 2306-5524 (Online)