Agreement of body adiposity index (BAI), bioimpedance analysis and ultrasound scanning in determining body fat
https://doi.org/10.14341/omet12992
Abstract
BACKGROUND: The steadily increasing number of people with obesity requires the development of simple and accurate methodological approaches to assess the absolute and relative amount of body fat mass. The body adiposity index (BAI) is one of the indices proposed to assess the body fat percentage. However, the comparison analysis of common methods, i.e., of bio-electrical impedance analysis and ultrasound scanning, and BAI was not performed for the Russian population.
AIM: Comparison analysis of the body fat percentage estimates by bio-electrical impedance analysis, ultrasound scanning, and body adiposity index in the group of adult male and females.
MATERIALS AND METHODS: An examination of healthy males and females from Moscow was conducted. Height, weight, waist and hip circumferences were measured. The body fat percentage was obtained by bio-electrical impedance analysis — BIA (ABC-02 Medas), ultrasound scanning — US (BodyMetrixTM, IntelaMetrix), and body adiposity index.
RESULTS: 263 females and 134 males aged 18 to 73 years participated in the study. Correlation coefficients between BAI values and the body fat percentage obtained by BIA and US were 0.749 and 0.763 (p<0.000), respectively. Comparison of body fat percentage measurements obtained by BAI, BIA and US showed the low agreement (ССС<0.90) between BAI and other methods in pooled sample as well as in the female and male groups. Comparison of the US and BAI methods revealed higher level of agreement (ССС=0.84 [0.80–0.86]) and no systematic bias. Lower level of agreement was obtained in the group of males.
CONCLUSION: Conducted study allows to conclude that, at the individual level, BAI is not an appropriate method for estimating the body fat percentage relatively to other indirect methods. However, all three methods can be used in the group of pooled males and females when testing at the population level.
About the Authors
E. A. BondarevaRussian Federation
Elvira A. Bondareva, PhD in biology
Moscow
O. I. Parfenteva
Russian Federation
Olga I. Parfenteva, PhD in biology
Moscow
A. A. Vasileva
Russian Federation
Aleksandra A. Vasilieva
Moscow
N. A. Kulemin
Russian Federation
Nikolay A. Kulemin, PhD
Moscow
A. N. Gadzhiakhmedova
Russian Federation
Aida N. Gadzhiakhmedova
Moscow
O. N. Kovaleva
Russian Federation
Olga N. Kovaleva, PhD in biology
Moscow
B. A. Sultanova
Russian Federation
Begimay A. Sultanova, postgraduate student
Moscow
N. V. Mazurina
Russian Federation
Natalya V. Mazurina, MD, PhD
Moscow
E. A. Troshina
Russian Federation
Ekaterina A. Troshina, MD, PhD, Professor
Moscow
References
1. De Lorenzo A, Gratteri S, Gualtieri P, et al. Why primary obesity is a disease? J Transl Med. 2019;17(1):169. doi: https://doi.org/10.1186/s12967-019-1919-y
2. Bergman RN, Stefanovski D, Buchanan TA, et al. A better index of body adiposity. Obesity (Silver Spring). 2011;19(5):1083-1089. doi: https://doi.org/10.1038/oby.2011.38
3. Belarmino G, Torrinhas RS, Sala P, et al. A new anthropometric index for body fat estimation in patients with severe obesity. BMC Obes. 2018;5(1):25. doi: https://doi.org/10.1186/s40608-018-0202-8
4. Amiri P, Javid AZ, Moradi L, et al. Associations between new and old anthropometric indices with type 2 diabetes mellitus and risk of metabolic complications: a cross-sectional analytical study. J Vasc Bras. 2021;20(1):25. doi: https://doi.org/10.1590/1677-5449.200236
5. Nikolaev DV, Smirnov AV, Bobrinskaja IG, Rudnev SG. Bioimpedansnyj analiz sostava tela cheloveka. Moscow: Nauka; 2009. 392 p. (In Russ.).
6. Bielemann RM, Gonzalez MC, Barbosa-Silva TG, Orlandi SP, Xavier MO, Bergmann RB, Formoso Assuncão MC. Estimation of body fat in adults using a portable A-mode ultrasound. UNSCN Nutr. 2015;32(4):441–446. doi: https://doi.org/0.1016/j.nut.2015.10.009
7. Jackson AS, Pollock ML. Generalized equations for predicting body density of men. Br J Nutr. 1978;40(3):497-504. doi: https://doi.org/10.1079/bjn19780152
8. Jackson AS, Pollock ML, Ward A. Generalized equations for predicting body density of women. Med Sci Sports Exerc. 1980;12(3):175-181.
9. Kottner J, Audige L, Brorson S, et al. Guidelines for Reporting Reliability and Agreement Studies (GRRAS) were proposed. Int J Nurs Stud. 2011;48(6):661-671. doi: https://doi.org/10.1016/j.ijnurstu.2011.01.016
10. Keller T. Tool: Passing-Bablok Regression and CUSUM test. ACOMED statistic. [cited 19.04.2023] Available from: www.acomed-statistik.de
11. Martins WP, Nastri CO. Interpreting reproducibility results for ultrasound measurements. Ultrasound Obstet Gynecol. 2014;43(4):479-480. doi: https://doi.org/10.1002/uog.13320
12. Hammer Ø, Harper DAT, Ryan PD. PAST: Paleontological statistics software package for education and data analysis. Palaeontologia Electronica. 2001;4(1):9. Available from: https://www.nhm.uio.no/english/research/resources/past/
13. JASP Team 2022. JASP (version 0.16.4) [Computes software]
14. Segheto W, Coelho FA, Cristina Guimarães da Silva D, et al. Validity of body adiposity index in predicting body fat in Brazilians adults. Am J Hum Biol. 2017;29(1):e22901. doi: https://doi.org/10.1002/ajhb.22901
15. Xie F, Pei Y, Zhou Q, et al. Comparison of obesity-related indices for identifying nonalcoholic fatty liver disease: a population-based cross-sectional study in China. Lipids Health Dis. 2021;20(1):132. doi: https://doi.org/10.1186/s12944-021-01560-3
16. Demir Ş, Kara Y, Melikoğlu M, et al. New anthropometric measurements: Relationship to thyroid functions in euthyroid obese subjects. Cureus. 2021;20(1):132. doi: https://doi.org/10.7759/cureus.20435
17. Xu J, Zhang L, Wu Q, et al. Body roundness index is a superior indicator to associate with the cardio‐metabolic risk: evidence from a cross‐sectional study with 17,000 Eastern-China adults. BMC Cardiovasc Disord. 2021;21(1):97. doi: https://doi.org/10.1186/s12872-021-01905-x
18. do Nascimento RA, Vieira MCA, dos Santos Aguiar Gonçalves RS, et al. Cutoff points of adiposity anthropometric indices for low muscle mass screening in middle-aged and older healthy women. BMC Musculoskelet Disord. 2021;22(1):713. doi: https://doi.org/10.1186/s12891-021-04532-x
Supplementary files
|
|
1. Figure 1. Gardner-Altman plots for %BF calculated from the results of BIA, ultrasound and BAI in subgroups of women and men, as well as in subgroups by BMI value. Note. Paired mean difference — effect size for paired samples. Sex — gender, F — women, M — men. BF -%BF. WHO_group — nutritional status of the examined according to the WHO classification | |
| Subject | ||
| Type | Исследовательские инструменты | |
View
(517KB)
|
Indexing metadata ▾ | |
|
|
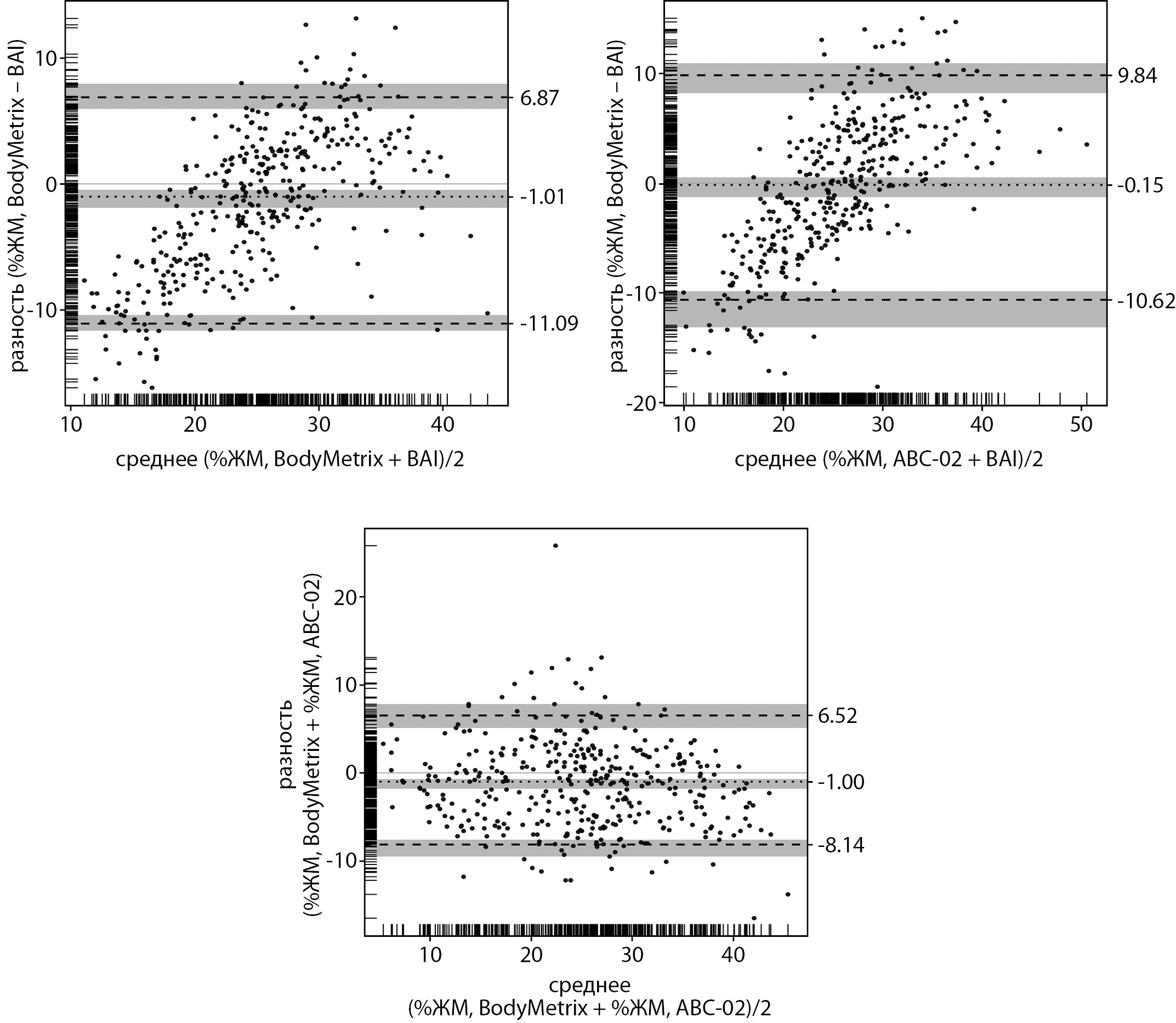
2. Figure 2. Bland-Altman plots for pairs of %BF values calculated from the results of BIA, ultrasound and BAI. The gray area is the 95% CI bounds for the concordance bounds. The central dotted line is the bias. Note. BAI — body adiposity index | |
| Subject | ||
| Type | Исследовательские инструменты | |
View
(450KB)
|
Indexing metadata ▾ | |
|
|
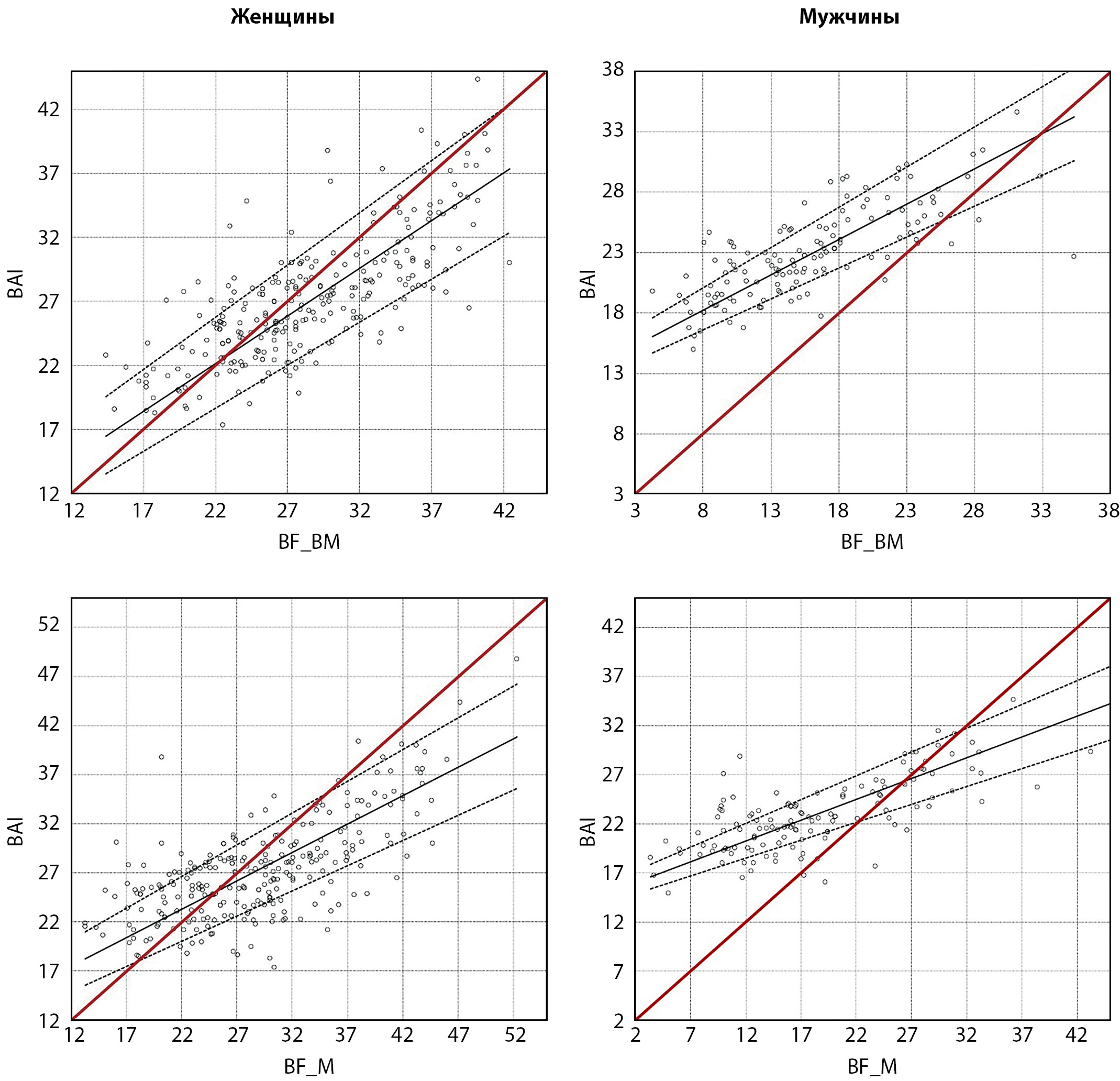
3. Figure 3. Passing-Bablok regression for pairs of %BF values, in subgroups of men and women. The red line is the line of perfect agreement (CCC = 1), the dotted lines are predictive intervals, the black solid line is the regression line | |
| Subject | ||
| Type | Исследовательские инструменты | |
View
(577KB)
|
Indexing metadata ▾ | |
Review
For citations:
Bondareva E.A., Parfenteva O.I., Vasileva A.A., Kulemin N.A., Gadzhiakhmedova A.N., Kovaleva O.N., Sultanova B.A., Mazurina N.V., Troshina E.A. Agreement of body adiposity index (BAI), bioimpedance analysis and ultrasound scanning in determining body fat. Obesity and metabolism. 2023;20(1):13-21. (In Russ.) https://doi.org/10.14341/omet12992
This work is licensed under a Creative Commons Attribution-NonCommercial-NoDerivatives 4.0 International License (CC BY-NC-ND 4.0).




































