Перейти к:
Сравнение точности оценки основного обмена в покое у детей с простым ожирением при использовании расчетных формул и метода непрямой респираторной калориметрий
https://doi.org/10.14341/omet9729
Аннотация
Обоснование. Обязательным условием при планировании рациона питания с целью снижения веса у детей с ожирением является определение уровня основного обмена в покое (RMR – от англ. resting metabolic rate). Золотым стандартом оценки суточных энергозатрат покоя является непрямая респираторная калориметрия, однако, учитывая ее высокую стоимость и трудоемкость, в клинической практике широко используются различные расчетные формулы.
Цель исследования – определение точности оценки основного обмена в покое с помощью расчетных формул у детей с простым ожирением по сравнению с эталонным методом – непрямой респираторной калориметрией.
Методы. В исследование включены 100 детей в возрасте от 9 до 18 лет, с «простым» конституционально-экзогенным ожирением, которым была проведена оценка основного обмена в покое с помощью расчетных формул и непрямой респираторной калориметрии.
Результаты. Формула Molnar наиболее точно оценивает уровень основного обмена в покое, сопоставимый с результатами непрямой респираторной калориметрии в 64% случаев. Формулы Harris–Benedict и IOM позволяют получить точный результат в 53 и 51% случаев соответственно. Наименее точный результат демонстрирует формула, предложенная ВОЗ (22%). Минимальная средняя разность между расчетным и фактическим значением основного обмена в покое у мальчиков с ожирением для формулы Molnar: 18 ккал (ДИ -53– 90; 95% LOA -490–527), у девочек: -0,7 ккал (ДИ -65–63; 95% LOA -435–434). Обращают на себя внимание большая средняя разница и широкий разброс границ согласия исследуемых показателей у детей с ожирением.
При оценке в зависимости от степени ожирения показано, что наибольшей точностью обладает формула Molnar, однако у детей с морбидным ожирением аккуратность оценки значительно снижается.
Заключение. Непрямая респираторная калориметрия является предпочтительным методом оценки основного обмена в покое у детей с простым ожирением.
Для цитирования:
Окороков П.Л., Васюкова О.В., Ширяева Т.Ю. Сравнение точности оценки основного обмена в покое у детей с простым ожирением при использовании расчетных формул и метода непрямой респираторной калориметрий. Ожирение и метаболизм. 2019;16(2):54-59. https://doi.org/10.14341/omet9729
For citation:
Okorokov P.L., Vasyukova O.V., Shiryaeva T.Y. Comparison of the accuracy of resting metabolic rate in children with simple obesity using calculation formulas and indirect respiratory calorimetry. Obesity and metabolism. 2019;16(2):54-59. (In Russ.) https://doi.org/10.14341/omet9729
ОБОСНОВАНИЕ
Ожирение у детей и подростков является актуальной проблемой в связи с его высокой распространенностью, развитием метаболических нарушений и их трекингом во взрослую жизнь [1]. Основным методом лечения ожирения является диетотерапия, а знание суточных энергетических потребностей пациента необходимо для подбора индивидуального пищевого рациона.
Основной обмен в покое (RMR – от англ. resting metabolic rate) определяет до 70% суточного метаболизма [2], а его оценка важна для персонификации диетотерапии. «Золотым стандартом» оценки RMR является непрямая респираторная калориметрия (НРК), однако, учитывая существенные временные и финансовые затраты на ее проведение, в клинической практике широко распространены специальные формулы для определения расчетного уровня основного обмена в покое, в том числе в детской популяции [3–8]. Исследования у взрослых демонстрируют, что наиболее приемлемой для оценки RMR является формула Harris–Benedict [9].
Исследования точности расчетных формул в оценке суточных энергозатрат покоя у детей с ожирением противоречивы, что и послужило основанием для проведения данного исследования.
ЦЕЛЬ
Основной целью исследования стало определение точности оценки основного обмена в покое с помощью расчетных формул у детей с простым ожирением по сравнению с эталонным методом – непрямой респираторной калориметрией.
МАТЕРИАЛЫ И МЕТОДЫ
Дизайн исследования
В открытое сравнительное одномоментное исследование включено 100 детей (52 мальчика, 48 девочек) с простым ожирением – средний SDS ИМТ (SDS - от англ. standart deviation score – коэффициент стандартного отклонения; ИМТ – индекс массы тела) = 3,29±0,5 (2,5–4,42). Средний возраст обследуемых составил 14,4±2,0 года (9,5–17,7 года). Клинические характеристики исследуемой группы в целом и в зависимости от пола представлены в табл. 1.
Таблица 1. Клиническая характеристика исследуемой группы
|
Все |
Мальчики |
Девочки |
|
|
Количество пациентов, n |
100 |
52 |
48 |
|
Возраст, годы |
14,4±2,0 |
14,5±2,0 |
14,2±2,0 |
|
Половое развитие: |
|||
|
Таннер 1 (I), n (%) |
13 (13) |
11 (21,1) |
2 (4,1) |
|
Таннер 2–3 (II), n (%) |
22 (22) |
14 (26,9) |
8 (16,6) |
|
Таннер 4–5 (III), n (%) |
66 (66) |
27 (51,9) |
38 (79,3) |
|
SDS ИМТ |
3,29±0,5 |
3,21±0,5 |
3,31±0,4 |
|
Степени ожирения: |
|||
|
1, n (%) |
– |
– |
– |
|
2, n (%) |
33 (33) |
18 (34,6) |
15 (31,2) |
|
3, n (%) |
44 (44) |
22 (42,3) |
22 (45,8) |
|
4, n (%) |
23 (23) |
12 (23,1) |
11 (23,0) |
В исследование включались пациенты, находившиеся на стационарном обследовании в Институте детской эндокринологии ФГБУ «НМИЦ эндокринологии» Минздрава России.
Критерии соответствия
Критериями включения являлись возраст от 8 до 18 лет и наличие конституционально-экзогенного ожирения (SDS ИМТ >+2,0). Критерии исключения из исследования: медикаментозная терапия ожирения в анамнезе, ожирение центрального генеза (гипоталамическое), синдромальные и моногенные формы ожирения.
Условия проведения
Антропометрические измерения включали в себя: измерение роста, веса, расчет индекса массы тела (ИМТ). ИМТ оценивался по нормативам для конкретного возраста и пола и представлен в виде числа стандартных отклонений от среднего (SDS). За критерий ожирения принято значение SDS≥ИМТ 2,0, рекомендованное Всемирной организацией здравоохранения (ВОЗ). Выделение степеней ожирения проведено согласно национальным рекомендациям по диагностике и лечению ожирения у детей [10]. Оценка полового развития проводилась по классификации Tanner. Объем тестикул измерялся с помощью орхидометра Prader.
Расчет основного обмена в покое проводился 5 наиболее распространенным расчетными формулами: Harris–Benedict (1919) [3], Schofield [4], ВОЗ [5], IOM (Institute of Medicine for Obese Youth – Институт медицины для молодых взрослых с ожирением) [6] и Molnar [7] (табл. 2).
Таблица 2. Формулы, используемые для расчета прогнозируемого основного обмена в покое покое (RMR).
|
Формула для определения расчетного RMR (ккал/сут) |
|
|
Harris–Benedict, 1919 |
М=66,47+13,75×(МТ)+5×(Р)–6,8×(В) Ж=655+9,6×(МТ)+1,8×(Р)–4,7×(В) |
|
Schofield, 1985 |
М=16,25×(МТ)+1,373×(Р)+515,5 Ж=8,37×(МТ)+4,65×(Р)+200 |
|
ВОЗ, 1985 |
М=17,5×(МТ)+651 Ж=12,2×(МТ)+74 |
|
IOM, 2005 |
М=420–35,5×(В)+418,9×(Р в метрах)+16,7×(МТ) Ж=516–26,8×(В)+347×(Р в метрах)+12,4×(МТ) |
|
Molnar, 1995* |
М=50,9×(МТ)+25,3×(Р)–50,3×(В)+26,9 Ж=51,2×(МТ)+24,5×(Р)–207,5×(В)+1629,8 |
Примечание: МТ – масса тела, кг; Р – рост, см; В – возраст, годы; – мужчины; Ж – женщины. *RMR в кДж/сут. Для перевода в ккал/сут: RMR в кДж×0,2388.
Измерение основного обмена в покое проводилось методом НРК на метаболографе Quark RMR (Cosmed, Италия). Исследование выполнялось утром, натощак, в условиях покоя и температурного комфорта (температура в помещении 22–26 °С) в течение 15–20 минут в положении пациента лежа. Данные, полученные в первые 5 минут, исключались из последующего анализа, а оценка RMR проводилась по достижении устойчивого состояния базального метаболизма не менее 10 минут.
Точность формул для оценки RMR определялась по степени смещения (СС) между рассчитанным и фактическим (по данным НРК) значениями, выраженной в процентах. СС до ±10% оценивалась как допустимая.
Этическая экспертиза
Протокол исследования одобрен 11.10.2017 локальным этическим комитетом при ФГБУ «Национальный медицинский исследовательский центр эндокринологии» Минздрава России (выписка из протокола №18 от 11.10.2017).
Статистический анализ
Принципы расчета выборки: размер выборки предварительно не определялся.
Методы статистического анализа данных.
Статистическая обработка данных проводилась с использованием пакета прикладных программ Statistica (StatSoft Inc., USA, version 10.0). Так как большинство изучаемых показателей имело приближенно-нормальное распределение, все данные представлены в виде среднего значения и его стандартного отклонения. Анализ соответствия формул для оценки RMR данным, полученным при проведении НРК, проводился по методике Бланда и Альтмана [11]. В ходе анализа рассчитывалась средняя разница значений (bias), которая характеризует систематическое расхождение результатов, и границы согласия (95% Limits of Agreement; LOA), характеризующие разброс значений, а также стандартное отклонение от средней разницы значений (SD of bias).
Корреляционный анализ проводился с использованием критерия Пирсона. Критическим уровнем значимости различий принят ≤0,05.
РЕЗУЛЬТАТЫ
Оценка степени смещения продемонстрировала, что наиболее точной в оценке RMR у детей с ожирением является формула Molnar (64% точных результатов). Формула Harris–Benedict и IOM в половине случаев также дают приемлемые результаты. Расчет по IOM в 41% случаев переоценивает энергетический обмен в состоянии покоя (табл. 3). Наименее точной в оценке RMR является формула, предложенная ВОЗ (22% точных измерений).
Таблица 3. Степень смещения между рассчитанным и фактическим значениями основного обмена в покое (RMR).
|
RMR, ккал/сут |
Степень смещения, % |
||||
|
Среднее значение |
SD |
СС (±10%) |
СС (>10%) |
СС (<–10%) |
|
|
Harris–Benedict |
2046 |
455 |
53 |
31 |
16 |
|
Schofield |
2126 |
546 |
43 |
37 |
20 |
|
ВОЗ |
1914 |
667 |
22 |
31 |
27 |
|
IOM |
2169 |
507 |
51 |
41 |
8 |
|
Molnar |
2006 |
407 |
64 |
17 |
19 |
Анализ Бланда–Альтмана продемонстрировал, что наиболее точными в оценке основного обмена в покое у детей и подростков с ожирением являются формулы Harris–Benedict и Molnar, которые переоценивают значения основного обмена в среднем на 49 и 9 ккал соответственно (табл. 4). Выявлен существенный разброс средней разницы между расчетным и фактическим значениями RMR при оценке всеми предложенными формулами. Минимальный разброс средней разницы определен при расчете по формуле Harris– Benedict (от –407 до +506 ккал) и Molnar (от –-463 до 482 ккал); максимальный – при расчете по формуле, предложенной ВОЗ (от –670 до +854). Также выявлен большой разброс границ согласия для всех исследуемых формул (табл. 4).
Таблица 4. Результаты анализа Бланда–Альтмана для прогнозируемых и фактического значений RMR (n=100)
|
RMR Harris–Benedict |
RMR Schofield |
RMR WHO |
RMR IOM |
RMR Molnar |
||
|
RMR |
Bias |
49 |
129 |
–83 |
171 |
9 |
|
SD of bias |
–407 и 506 |
–460 и 718 |
–670 и 854 |
–386 и 729 |
–463 и 482 |
|
|
95% LOA |
–488; 586 |
–564; 822 |
–760; 994 |
–483; 826 |
–546; 565 |
|
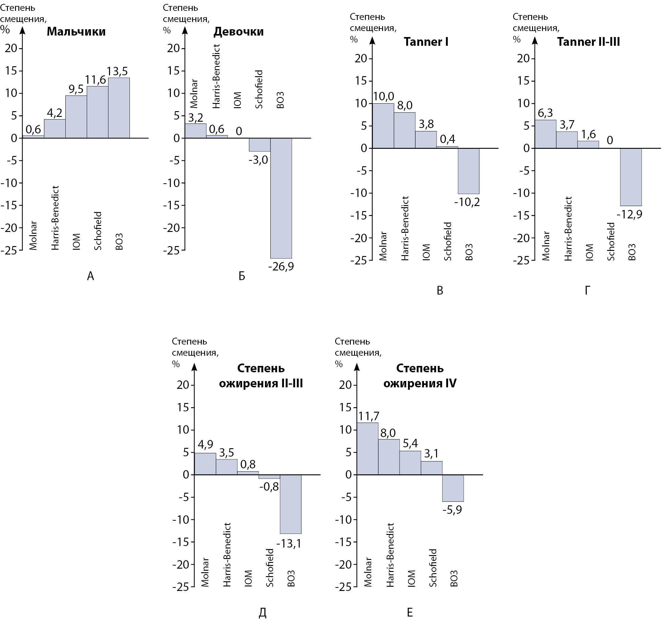
При изучении степени смещения оценки RMR в зависимости от пола продемонстрировано, что у мальчиков все расчетные формулы в разной степени переоценивают основной обмен в покое, но наиболее точными являются формулы Molnar (+0,6%) и Harris–Benedict (+4,2%) (рис. 1, А).
Рисунок 1. Оценка степени смещения между расчетным и фактическими показателями основного обмена в покое (RMR) в зависимости от пола, степени ожирения и стадии полового развития.
При анализе по Бланду–Альтману у мальчиков выявлено, что минимальная средняя разность между расчетным и фактическим значением основного обмена в покое для формулы Harris–Benedict составляет 107 ккал (ДИ 43–171; 95% LOA от –343 до 557), а для формулы Molnar – 18 ккал (ДИ –53–90; 95% LOA –490–527).
У девочек формулы IOM, Molnar и Harris–Benedict наиболее точно позволяют оценить уровень основного обмена в покое, в то время как формула, предложенная ВОЗ, существенно недооценивает его (рис. 1, Б).
При анализе по Бланду–Альтману у девочек выявлено, что минимальная средняя разность между расчетным и фактическим значениями RMR определяется для формулы Molnar: –0,7 ккал (ДИ –65–63; 95% LOA –435–434).
Анализ точности расчетных формул в оценке энергетического обмена в покое в зависимости от стадии полового развития выявил, что для детей, не вступивших в пубертат, характерна более высокая вариабельность исследуемых показателей (рис. 1, в, г), а наиболее точными в оценке основного обмена в покое являются формулы Molnar (СС=0,4%) и Harris–Benedict (СС=3,8%). У детей с ожирением, находящихся на различных стадиях пубертата, формула Molnar является наиболее точной в оценке уровня основного обмена в покое. Однако формула Harris–Benedict также обладает высокой точностью оценки в данной группе, переоценивая значение RMR на 1,6% (рис 1, Г).
Определение СС оценки основного обмена в покое в зависимости от степени ожирения выявило, что для морбидного ожирения характерна высокая вариабельность оценки RMR с помощью всех расчетных формул. Наиболее точной в оценке RMR при выраженном ожирении является формула, предложенная Molnar, переоценивающая суточные энергозатраты покоя на 3,1 % (см. рис. 1, Д, Е).
Корреляционный анализ выявил положительную взаимосвязь между SDS ИМТ и значением основного обмена в покое. Подобная взаимосвязь сохранялась независимо от пола, однако у мальчиков была более выражена по сравнению с девочками (r=0,57; р<0,05 vs r=0,3; р<0,05 для мальчиков и девочек соответственно), что может быть связано с большим количеством тощей массы у лиц мужского пола.
Важно отметить, что проведение НРК у детей с ожирением не сопровождалось ухудшением самочувствия и другими побочными явлениями.
ОБСУЖДЕНИЕ
Результаты проведенного исследования демонстрируют, что наиболее точными в оценке основного обмена в покое являются формулы Molnar и Harris–Benedict. В ряде исследований также продемонстрировано, что формула, предложенная Molnar, является наиболее точной в оценке основного обмена в покое у подростков с ожирением [12, 13].
Формула Molnar была разработана на группе детей с ожирением, в то время как формула Harris–Benedict была рассчитана при обследовании лиц с нормальным весом, чем можно объяснить большую точность формулы Molnar, продемонстрированную в нашем исследовании.
Оценка основного обмена в покое по формуле, предложенной ВОЗ, показала наименее точные результаты. У мальчиков данная формула переоценивает RMR у 13,5%, а у девочек – недооценивает в 26,9% случаев. Формула, предложенная ВОЗ, не обладает достаточной точностью в оценке суточных энергозатрат в покое у детей с ожирением, что было продемонстрировано в ранее проведенных исследованиях [14, 15] и показано в нашей работе.
Некоторые авторы утверждают, что формула Schofield обладает наибольшей точностью в оценке RMR [15], но проведенное нами исследование демонстрирует, что данная формула переоценивает суточные энергозатраты покоя в среднем на 129 ккал и оказывается точной лишь у 43% обследованных.
Известно, что половое развитие оказывает существенное влияние на суточные энергозатраты в покое, снижая их [17].
В нашем исследовании продемонстрирована высокая вариабельность оценки основного обмена в покое с помощью расчетных формул у детей с ожирением, не вступивших в пубертат, а наиболее приемлемой для оценки является формула Molnar. У пубертатных детей расчет по формуле Molnar также продемонстрировал наиболее точные результаты (СС=0). Полученные данные позволяют сделать вывод о целесообразности проведения оценки суточных энергозатрат покоя методом НРК у детей, не вступивших в пубертат. В доступной литературе отсутствуют данные об оценке точности расчетных формул у детей в зависимости от стадии полового развития.
Прогрессия ожирения также влияет на точность оценки основного обмена в покое с помощью расчетных формул. Результаты проведенного исследования демонстрируют, что независимо от степени ожирения наиболее точной расчетной формулой является модель, предложенная Molnar.
Следует отметить, что все расчетные формулы, независимо от пола, степени ожирения и стадии полового развития, продемонстрировали высокую вариабельность по сравнению с методом НРК. Так, показатели средней разницы между измеренными и рассчитанными по формуле Molnar (наиболее точной) значениями RMR составили ±400 ккал, а разброс в рамках границ согласия был еще выше. Таким образом, ни одна из расчетных формул не позволяет с достаточной точностью оценить состояние энергетического обмена в покое у детей с ожирением.
К основным недостаткам настоящего исследования следует отнести небольшое количество пациентов с ожирением допубертатного возраста, что не позволяет судить о точности исследованных формул у данной группы детей.
ЗАКЛЮЧЕНИЕ
У детей с простым ожирением среди всех расчетных формул наиболее точными в оценке основного обмена в покое являются формулы Molnar и Harris–Benedict, при этом их сопоставимость с результатами НРК не превышает 64%.
Максимальная вариабельность оценки RMR с помощью расчетных формул выявлена при морбидном ожирении и у допубертатных детей.
Принимая во внимание существенный разброс средней разницы и границ согласия между расчетными формулами и фактическими значениями RMR, а также неинвазивный характер исследования, НРК является предпочтительным методом оценки основного обмена в покое у детей с ожирением.
ДОПОЛНИТЕЛЬНАЯ ИНФОРМАЦИЯ.
Источник финансирования: Подготовка и публикация рукописи проведены на личные средства авторского коллектива. Дополнительных источников финансирования не было.
Конфликт интересов: Авторы декларируют отсутствие явных и потенциальных конфликтов интересов, связанных с публикацией настоящей статьи.
Участие авторов: Окороков П.Л. – разработка протокола исследования, контроль и координация проведения исследования, проведение непрямой респираторной калориметрии, обработка и интерпретация результатов, подготовка рукописи; Васюкова О.В. – разработка протокола исследования, интерпретация результатов, редактирование рукописи; Ширяева Т.Ю. – утверждение протокола исследования, контроль и координация проведения исследования, утверждение финальной версии рукописи. Все авторы внесли значимый вклад в проведение исследования и подготовку статьи, прочли и одобрили финальную версию статьи перед публикацией.
Список литературы
1. Российская ассоциация эндокринологов, Российское общество по профилактике неинфекционных болезней, Ассоциация детских кардиологов России. Рекомендации по диагностике, лечению и профилактике ожирения у детей и подростков. – М.: Практика, 2015. [Russian Association of Endocrinologists, Russian society of non-communicable diseases prevention, Association of Pediatric Cardiologists of Russia. Rekomendatsii po diagnostike, lecheniyu i profi laktike ozhireniya u detei i podrostkov. Moscow: Praktika; 2015. (In Russ.)].
2. Bosy-Westphal A, Reinecke U, Schlörke T, et al. Effect of organ and tissue masses on resting energy expenditure in underweight, normal weight and obese adults. Int J Obes. 2004;28(1):72-79. doi: 10.1038/sj.ijo.0802526
3. Harris JA, Benedict FG. A Biometric Study of Human Basal Metabolism. Proc Natl Acad Sci. 1918;4(12):370-373. doi: 10.1073/pnas.4.12.370
4. Schofield WN. Predicting basal metabolic rate, new standards and review or previous work. Hum Nutr Clin Nutr. 1985; 39(Suppl 1):5–41. PMID: 4044297
5. Joint FAO/WHO/UNU Expert Consultation on Energy and Protein Requirements. Energy and protein requirements. World Health Organ Tech Rep Ser. 1985;724:1-206. Available from: https://apps.who.int/iris/handle/10665/39527
6. Institute of Medicine. 2005. Dietary Reference Intakes for Energy, Carbohydrate, Fiber, Fat, Fatty Acids, Cholesterol, Protein, and Amino Acids. Washington, DC: The National Academies Press; 2005. doi: 10.17226/10490
7. Molnár D, Jeges S, Erhardt E, Schutz Y. Measured and predicted resting metabolic rate in obese and nonobese adolescents. J Pediatr. 1995;127(4):571-577. doi: 10.1016/S0022-3476(95)70114-1
8. Окороков П.Л. Роль непрямой респираторной калориметрии в оценке основного обмена в покое у детей с ожирением // Проблемы эндокринологии. — 2018. — Т.64. — №2. — С.130-136. [Okorokov PL. The role of indirect calorimetry in assessing of resting metabolic rate in obese children. Problems of Endocrinology. 2018;64(2):130-136. (In Russ.)]. doi: 10.14341/probl8754
9. Flack KD, Siders WA, Johnson L, Roemmich JN. Cross-Validation of Resting Metabolic Rate Prediction Equations. J Acad Nutr Diet. 2016;116(9):1413-1422. doi: 10.1016/j.jand.2016.03.018
10. Петеркова В.А., Васюкова О.В. К вопросу о новой классификации ожирения у детей и подростков // Проблемы эндокринологии. — 2015. — Т.61. — №2. — С.39-44. [Peterkova VA, Vasyukova OV. About the new classification of obesity in the children and adolescents. Problems of Endocrinology. 2015;61(2):39-44. (In Russ.)]. doi: 10.14341/probl201561239-44
11. Bland JM, Altman DG. Measuring agreement in method comparison studies. Stat Methods Med Res. 1999;8(2):135-160. doi: 10.1191/096228099673819272
12. Hofsteenge GH, Chinapaw MJ, Delemarre-van de Waal HA, Weijs PJ. Validation of predictive equations for resting energy expenditure in obese adolescents. Am J Clin Nutr. 2010;91(5):1244-1254. doi: 10.3945/ajcn.2009.28330
13. Martincevic I, Mouzaki M. Resting Energy Expenditure of Children and Adolescents With Nonalcoholic Fatty Liver Disease. J Parenter Enter Nutr. 2017;41(7):1195-1201. doi: 10.1177/0148607116658761
14. Van Mil EGAH, Westertep KR, Kester ADM, Saris WHM. Measurement: Energy metabolism in relation to body composition and gender in adolescents. Arch Dis Child. 2001;85(1):73-78. doi: 10.1136/adc.85.1.73
15. Henes ST, Cummings DM, Hickner RC, et al. Comparison of Predictive Equations and Measured Resting Energy Expenditure Among Obese Youth Attending a Pediatric Healthy Weight Clinic. Nutr Clin Pract. 2013;28(5):617-624. doi: 10.1177/0884533613497237
16. Rodríguez G, Moreno LA, Sarría A, et al. Resting energy expenditure in children and adolescents: agreement between calorimetry and prediction equations. Clin Nutr. 2002;21(3):255-260. doi: 10.1054/clnu.2001.0531
17. Cheng HL, Amatoury M, Steinbeck K. Energy expenditure and intake during puberty in healthy nonobese adolescents: a systematic review. Am J Clin Nutr. 2016;104(4):1061-1074. doi: 10.3945/ajcn.115.129205
Об авторах
Павел Леонидович ОкороковФГБУ «Национальный медицинский исследовательский центр эндокринологии» Минздрава России
Россия
к.м.н.
Ольга Владимировна Васюкова
ФГБУ «Национальный медицинский исследовательский центр эндокринологии» Минздрава России
Россия
к.м.н.
Татьяна Юрьевна Ширяева
ФГБУ «Национальный медицинский исследовательский центр эндокринологии» Минздрава России
Россия
к.м.н, доцент
Дополнительные файлы
|
|
1. Рисунок 1. Оценка степени смещения между расчетным и фактическими показателями основного обмена в покое (RMR) в зависимости от пола, степени ожирения и стадии полового развития. | |
| Тема | ||
| Тип | Исследовательские инструменты | |
Посмотреть
(552KB)
|
Метаданные ▾ | |
Рецензия
Для цитирования:
Окороков П.Л., Васюкова О.В., Ширяева Т.Ю. Сравнение точности оценки основного обмена в покое у детей с простым ожирением при использовании расчетных формул и метода непрямой респираторной калориметрий. Ожирение и метаболизм. 2019;16(2):54-59. https://doi.org/10.14341/omet9729
For citation:
Okorokov P.L., Vasyukova O.V., Shiryaeva T.Y. Comparison of the accuracy of resting metabolic rate in children with simple obesity using calculation formulas and indirect respiratory calorimetry. Obesity and metabolism. 2019;16(2):54-59. (In Russ.) https://doi.org/10.14341/omet9729
Контент доступен под лицензией Creative Commons Attribution-NonCommercial-NoDerivatives 4.0 International License (CC BY-NC-ND 4.0).




































