Перейти к:
Двухгодичное исследование очень низкочастотного спектра вариабельности ритма сердца в связи с изменениями компонентного состава тела девочек от 10 до 12 лет
https://doi.org/10.14341/omet13082
Аннотация
Обоснование. Морфологические изменения во время пубертатного скачка роста могут служить своего рода моделью вариации компонентного состава тела и, в частности, жировой массы тела (ЖМТ) без каких-либо вмешательств в организм человека и связанных с ними изменений вариабельности ритма сердца (ВРС).
Цель. Выявить содружественные изменения показателей VLF спектра вариабельности ритма сердца и компонентного состава тела у девочек в ходе двухгодичного исследования в возрастном промежутке от 10 до 12 лет.
Материалы и методы. Электрокардиография, антропометрия, биоимпедансометрия.
Результаты. Проведено двухгодичного открытое неконтролируемое нерандомизированное одноцентровое исследование-наблюдение 60 девочек в возрастном промежутке от 10 до 12 лет. Взятый возрастной диапазон позволил получить широкое варьирование показателя прироста жировой массы тела (ЖМТ%) от отрицательных до положительных значений. При уменьшении ЖМТ% статистически значимо повышалась абсолютная (мс2) и относительная (%) мощность колебаний очень низкочастотной составляющей VLF в ВРС. В ответ на повышение ЖМТ% наблюдалась обратная картина. Показатель VLF (мс2) связан положительной умеренной связью с величиной основного обмена (ОО) в возрасте 10 лет (r=0,314, р=0,013). В свою очередь в этом же возрасте показатель ЖМТ% связан средней отрицательной связью с показателем ОО (r=–0,681, р<0,001).
Заключение. У девочек пубертатного возраста изменение композитного состава тела с уменьшением жировой массы связано с увеличением абсолютной (мс2) и относительной (%) мощности колебаний очень низкочастотной составляющей VLF в ВРС.
Для цитирования:
Филатова О.В., Шишкина Н.А. Двухгодичное исследование очень низкочастотного спектра вариабельности ритма сердца в связи с изменениями компонентного состава тела девочек от 10 до 12 лет. Ожирение и метаболизм. 2024;21(3):269-277. https://doi.org/10.14341/omet13082
For citation:
Filatova O.V., Shishkina N.A. Two-year study of the VLF spectrum of heart rate variability in connection with changes in the body composition of girls from 10 to 12 years old. Obesity and metabolism. 2024;21(3):269-277. (In Russ.) https://doi.org/10.14341/omet13082
Обоснование
Современные представления о сердечно-сосудистой системе как обобщенном индикаторе адаптивных реакций организма позволяют использовать анализ ритма сердечных сокращений для характеристики состояния механизмов регуляции физиологических функций, включая общую активность регуляторных механизмов, нейрогуморальную регуляцию сердца, активность автономной нервной системы и соотношение активностей ее симпатического и парасимпатического отделов [1]. Анализ вариабельности ритма сердца (ВРС) — это современная методология исследования и оценки состояния регуляторных систем организма [2]. Механизмы возникновения и изменения ВСР представляют существенный теоретический и практический интерес. Считается, что ведущую роль в формировании ВСР играют парасимпатические и симпатические влияния на сердце [3][4]. Общепринятым считается, что мощность диапазона высокочастотного спектра HF кардиоинтервалов обусловлена активностью вагуса [3][5]. Однако физиологическая природа волн ВРС, особенно низкочастотного диапазона спектра (LF и VLF), еще окончательно не раскрыта [4][6-8]. Р.М. Баевским с соавт. [3] были определены направления дальнейшего развития методов анализа ВРС, к которым относилось в том числе изучение медленных волн 2-го порядка (VLF) спектра сердечного ритма.
Сердечно-сосудистой системе, кроме выполнения гидродинамических функций, отводится роль согласующего звена во взаимоотношениях механизмов регуляции и информации с морфологическими структурами организма [цит. по: 8]. Хотя онтогенетическая динамика показателей вариабельности РС изучена достаточно хорошо [9-11], работы, посвященные изучению взаимосвязи показателей вариабельности РС и компонентного состава тела детей, носят единичный характер [12]. Особый интерес в этом отношении представляет период полового созревания, которому свойственны значительные морфофункциональные перестройки. По мнению многих авторов, 10-летний возраст у девочек является критическим [13], поскольку в нем усиливаются ростовые процессы многих морфометрических показателей, связанные с начальными стадиями полового созревания. Морфологические изменения во время пубертатного скачка роста могут служить своего рода моделью вариации компонентного состава тела и, в частности, жировой массы тела (ЖМТ) без каких-либо вмешательств в организм человека. Изучение взаимосвязи вариабельности сердечного ритма в связи с изменением компонентного состава тела, с показателями обмена веществ поможет понять физиологический смысл медленных волн 2-го порядка (VLF) спектра сердечного ритма и ответить на вопрос, обладают ли люди с более высокой спектральной мощностью VLF в спектре ВРС лучшей способностью «сжигать» жиры, более легко индуцируя процессы липолиза, чем люди с более низкой мощностью медленных волн сердечного ритма VLF.
ЦЕЛЬ ИССЛЕДОВАНИЯ
Выявить содружественные изменения показателей VLF спектра вариабельности ритма сердца и компонентного состава тела у девочек в ходе двухгодичного исследования в возрастном промежутке от 10 до 12 лет.
МАТЕРИАЛЫ И МЕТОДЫ
Место и время проведения исследования
Место проведения. Исследование проводилось в Алтайском государственном университете на кафедре зоологии и физиологии.
Период исследования: сентябрь 2021 – сентябрь 2023 гг.
Изучаемые популяции (одна или несколько)
Изучалась одна популяция
Критерии включения: пол — женский, возраст — на первом этапе исследования возраст от 9 лет 6 месяцев до 10 лет 5 месяцев 29 дней.
Критерии исключения: не применялись. Состав обследуемой группы сокращался приблизительно на 10% в год вследствие выбытия девочек (переезда и т.п.).
Способ формирования выборки из изучаемой популяции (или нескольких выборок из нескольких изучаемых популяций)
Использован сплошной способ формирования выборки.
Дизайн исследования
Двухгодичное открытое неконтролируемое нерандомизированное одноцентровое исследование-наблюдение. Первый замер был проведен в сентябре 2021 г. Повторные исследования проводились с интервалом в один год.
Описание медицинского вмешательства (для интервенционных исследований)
В рамках исследования проводились антропометрия, биоимпедансометрия с изучением композитного состава тела человека, электрокардиография.
Методы
Антропометрические исследования включали измерение длины тела (ДТ), массы тела (МТ). Массо-ростовые отношения оценивались посредством использования индекса массы тела (ИМТ=МТ(кг)/ДТ(м2).
Для характеристики уровня полового развития использовалась комплексная фенотипическая оценка полового развития по J. Tanner [14]. При оценке степени полового созревания использовали методику Л.Г. Тумилович и соавт. [15], в основу которой положена цифровая (балльная) оценка степени развития каждого полового признака и их биологической значимости. Известно, что вторичные половые признаки появляются в строгой последовательности: вначале начинают развиваться молочные железы (телархе, Ма), затем происходит скачок роста, и появляется лобковое оволосение (пубархе, Р), далее — оволосенение в подмышечных впадинах (аксилархе, Ах), и только после этого возникает менархе (Ме) [14]. По половой формуле рассчитывали балл полового развития (БПР) (МаРАхМе) [15].
Компонентный состав тела оценивали при помощи аппарата для биоимпедансометрии АВС-01 «Медасс», который позволяет определять жировую массу в абсолютных (ЖМТ, кг) и относительных единицах (ЖМТ%), тощую безжировую массу, активную клеточную массу, массу скелетной мускулатуры, общее количество жидкости в организме, внеклеточную жидкость, основной обмен (ОО), удельный основной обмен (УОО), нормированный ОО (НОО) (ОО/кг тощей массы тела).
Исследование ВРС осуществляли с использованием электрокардиографа «Поли-спектр-8\ЕX» на пятиминутных записях с применением программного обеспечения фирмы «Нейрософт» (г. Иваново, РФ). Электроды накладывались в стандартных отведениях. Изучали спектральные показатели ВРС: VLF (мс2, %) — мощность волн в диапазоне очень низких частот (0–0,04 Гц), LF (мс2, %) — мощность волн в диапазоне низких частот (0,04–0,15 Гц), HF (мс2, %) — мощность волн в диапазоне высоких частот (0,15–0,4 Гц), ТР (мс2) — общую мощность спектра.
Статистический анализ
Принципы расчета размера выборки
Размер выборки предварительно не рассчитывался.
Статистические расчеты были выполнены с использованием программного обеспечения SPSS 21.0. Принято, что показатели ВРС имеют лог-нормальное распределение [13], поэтому все показатели ВРС анализируются с применением непараметрических критериев. В таблицах и тексте количественные признаки, имеющие нормальное распределение, представлены в виде среднего арифметического (М), ошибки среднего (SЕ); величины с отличным от нормального распределением — в виде медианы (Ме) и перцентильного ранжирования (Q25-75 — 25 и 75 перцентили). Выборки данных проверяли на нормальность распределения, для чего был использован критерий Шапиро-Уилка при уровне значимости р>0,05 для групп с N<30, критерий Колмогорова-Смирнова для групп с N>30. Для сравнения трех независимых групп с распределением, отличающемся от нормального, использовали критерий множественного сравнения Краскала-Уоллиса. При сравнении возрастных изменений применяли критерий Вилкоксона для зависимых выборок. Различия значений исследуемых параметров считали статистически значимыми при 95% пороге вероятности (р<0,05). Анализ корреляционных связей признаков проводили непараметрическим методом корреляции по Спирмену с расчетом коэффициента корреляции и уровнем р.
Этическая экспертиза
Протокол исследования был одобрен Локальным этическим комитетом ФГБОУ ВО «Алтайский государственный университет» Министерства науки и высшего образования Российской Федерации, протокол №8 от 30.11.2023 г. Представители (родители) участников исследования подписали информированное согласие до включения в исследование и согласие для обработки персональных данных.
Результаты
На первом этапе исследования было обследовано 77 девочек в возрасте 10 лет. Продольные исследования осложняются тем, что состав обследуемой группы неизбежно меняется — сокращается приблизительно на 10% в год. Окончательной обработке подвергнуты результаты обследования 60 человек. Характеристика обследованных лиц представлена в таблице 1.
Основные результаты исследования
Взятый нами возрастной диапазон позволил получить широкое варьирование прироста показателя ИМТ (Ме — 0,55, Q25-75 — 0,12–0,72, Min — -1,5, Max — 4,6 кг/м2) от 10 до 11 лет от отрицательных до положительных значений, что сопровождалось соответствующими изменениями ЖМТ в абсолютных (кг) и относительных единицах (%). У 50% девочек наблюдалась отрицательная динамика ЖМТ%, у 8% ЖМТ% не изменилась, у 42% наблюдался прирост ЖМТ%. Средний прирост относительной жировой массы тела составил (Ме) 0,0 % (Q25-75 — -2,9÷3,0). Показатель дельт ЖМТ% в представленной выборке варьировал от -18% (Min) до +17% (Max). Мы разделили выборку на три группы: 1 — девочки, отрицательный прирост ЖМТ% у которых был менее 25-го центиля (<-2,9%), 2 — девочки, у которых прирост ЖМТ% находился в диапазоне от 25-го до 75-го центиля (-2,9÷3,0%), 3 — девочки, у которых прирост ЖМТ% был выше 75-го центиля (>3,0%). Погодовая динамика ЖМТ у девочек трех групп представлена в таблице 2. К 12 годам у девочек первой и второй групп увеличивалась ЖМТ, у девочек третьей группы не менялась. Девочки первой группы характеризовались максимальными темпами (8,3±1,18 см/год) годового прироста ДТ от 10 до 11 лет по сравнению со второй (6,4±0,32 см/год) и третьей (6,3±0,93 см/год) группами. Отрицательная динамика ЖМТ у девочек первой группы, возможно, связана с более высокими темпами роста.
Половая формула и балл полового развития девочек представлена в таблицах 3, 4. Из таблицы 4 видно, что у девочек первой группы минимальный, у девочек третьей группы — максимальный БПР. У девочек третьей группы к возрасту 12 лет наблюдается максимальное увеличение БПР (табл. 4), хотя различия не являются значимыми между группами.
Спектральные показатели ВРС в изученной выборке представлены в таблице 5. От 10 до 12 лет снижается общая мощность спектра (TP, мс2) за счет падения абсолютной мощности низкочастотной (LF, мс2) и высокочастотной (HF, мс2) составляющих в ВРС.
По результатам спектрального анализа ВРС выявлены изменения частотных составляющих колебаний ритма сердца (РС). В первой группе обнаружено статистически значимое преобладание абсолютной спектральной мощности диапазона очень медленных волн VLF (мс2) в спектре РС. К возрасту 11 лет в первой группе статистически значимо повышалась, а к возрасту 12 лет снижалась абсолютная (мс2) и относительная (%) мощность колебаний очень низкочастотной составляющей VLF в ВРС (табл. 6). В третьей группе, напротив, к возрасту 11 лет статистически значимо снижалась, а к возрасту 12 лет не изменялась абсолютная (мс2) мощность колебаний очень низкочастотной составляющей VLF в ВРС, относительная (%) мощность волн VLF снижалась к возрасту 11 лет, а затем повышалась к возрасту 12 лет.
Определенный интерес представляет изучение мощности диапазона VLF в его соотношении с общими показателями обмена, а также сопоставление показателей обмена веществ и ЖМТ%. В нашем исследовании показатель VLF (мс2) связан положительной умеренной связью с величиной ОО в возрасте 10 лет (r=0,314, р=0,013). В свою очередь в этом же возрасте показатель ЖМТ% связан отрицательной связью средней силы с показателем ОО (r=–0,681, р<0,001).
Показатель ОО в возрасте 10 лет связан положительными связями как с показателем БПР, так и с отдельными параметрами полового созревания: телархе (Ма), аксилархе (Ах) (табл. 7). К возрасту 11 лет связи между ОО и БПР, Ма усиливаются, а между ОО и Ах — ослабевают. В возрасте 12 лет появляется положительная корреляционная связь между ОО и пубархе (Р). Показатель нормированного ОО (ОО/кг ТМТ) связан отрицательными связями с показателем БПР и с отдельными параметрами полового созревания: Ма, Ах. Иными словами, чем более высокие темпы полового созревания наблюдаются у девочек, тем ниже у них интенсивность обмена веществ. К возрасту 11 лет эти связи между НОО и БПР, Ма также усиливаются, а между НОО и Ах ослабевают. В возрасте 12 лет показатель ЖМТ% связан отрицательной связью с показателем пубархе.
Дополнительные результаты исследования
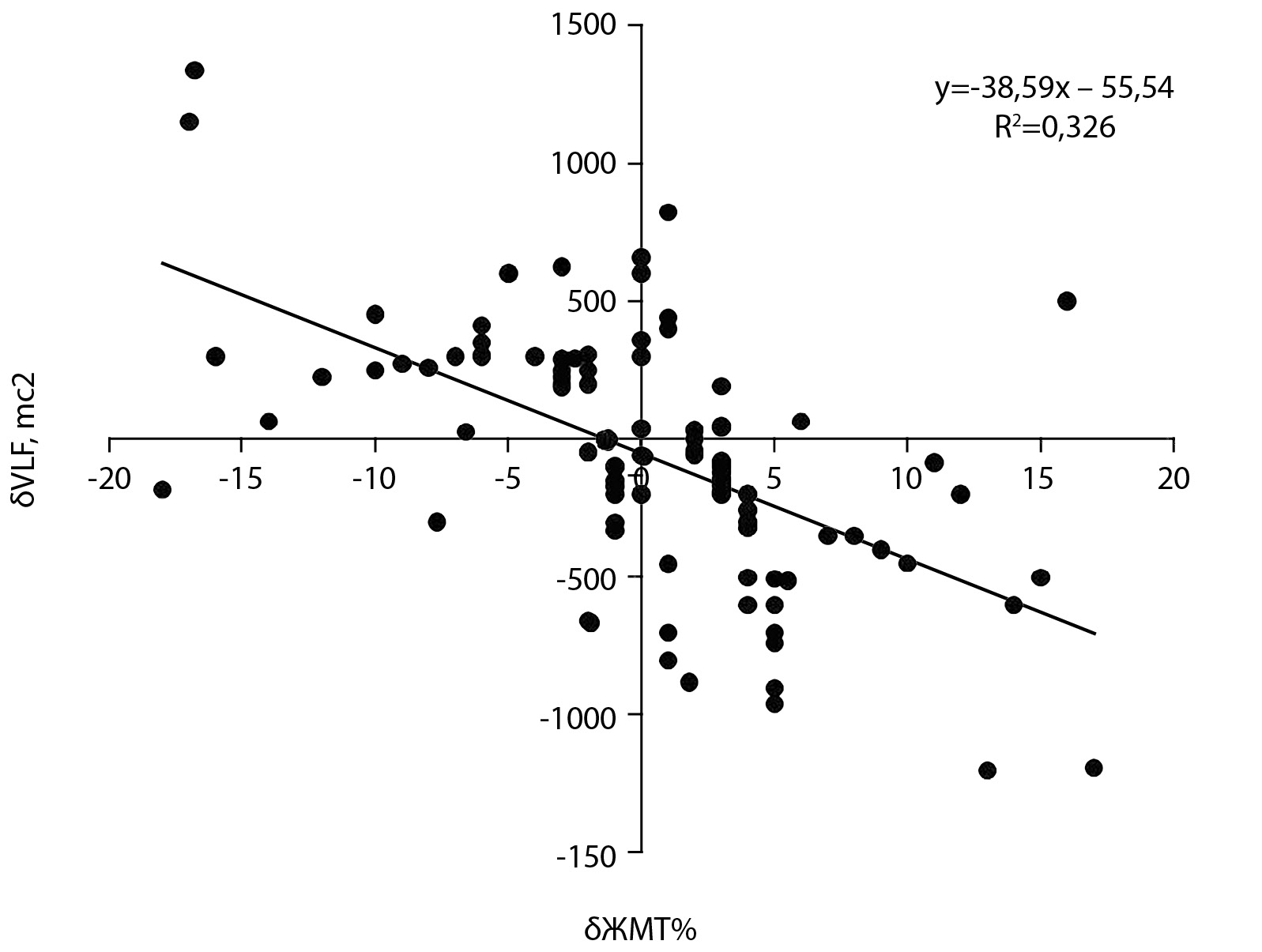
Прирост дельт абсолютной мощности волн VLF (мс2) с увеличением дельт ЖМТ% описывается уравнением:
y = -38,59х – 55,54
(при достоверности аппроксимации данных 33%) (рис. 1).
Изменение VLF (мс2) на 33% связано с изменением ЖМТ% (R2=0,326, р<0,01). Величина R2 указывает на умеренную силу связи между этими показателями. Из рис. 1 видно, что при увеличении дельт ЖМТ% снижается дельта абсолютной (VLF, мс2) мощности колебаний очень низкочастотной составляющей кардиоритма. Коэффициент корреляции (r=–0,571, р<0,001) также указывает на умеренную силу отрицательной связи между этими показателями. Прирост дельт относительной мощности волн VLF (%) с увеличением дельт ЖМТ% описывается уравнением: y = -0,761х + 2,432 (при достоверности аппроксимации данных 25%) (рис. 2).
Изменение VLF (%) на 25% связано с изменением ЖМТ% (R2=0,253, р<0,01). Из рис. 2 видно, что при увеличении дельт ЖМТ% снижается дельта относительной (VLF%) мощности колебаний очень низкочастотной составляющей кардиоритма. Коэффициент корреляции (r=–0,503, р<0,001) также указывает на умеренную силу отрицательной связи между этими показателями.
Таблица 1. Общая характеристика обследованных девочек
Table 1. General characteristics of the surveyed girls
Показатель | Возраст (лет) | ||
10 | 11 | 12 | |
Масса тела, кг | 33,3±0,82 | 38,2±1,09 | 43,6±1,30 |
Длина тела, см | 140,0±0,69 | 147,0±0,89 | 154,7±0,96 |
ИМТ, кг/см2 | 17,0±0,35 | 17,6±0,45 | 18,3±0,52 |
Таблица 2. Погодовая динамика прироста (дельты) жировой массы тела (%) у девочек в возрастном промежутке от 10 до 12 лет
Table 2. Age dynamics of growth (delta) of body fat mass (%) in girls in the age range from 10 to 12 years
Группы | № | Возрастной промежуток | Различия между возрастом 11 и 12 лет Р | |||||||||
от 10 до 11 лет | от 11 до 12 лет | |||||||||||
Ме | Q25-75 | Min | Max | P | Ме | Q25-75 | Min | Max | Р | |||
1 | 20 | -7,2 | -13,0–5,02 | -18,0 | -3,0 | Р1-2<0,001 Р1-3<0,001 Р2-3<0,001 | 6,0 | 5,0–14,0 | 3,0 | 19,0 | Р1-2<0,001 Р1-3=0,03 | 0,003 |
2 | 40 | 0,0 | -1,92–1,82 | -2,8 | 3,0 | 2,0 | -1,0–5,0 | -12,0 | 8,0 | 0,020 | ||
3 | 20 | 5,5 | 4,0–6,9 | 4,0 | 17,0 | 0,0 | -1,5–8,0 | -21,0 | 25,0 |
Таблица 3. Оценка уровня биологического развития девочек 10–12 лет
Table 3. Assessment of the level of biological development of girls aged 10–12 years
Степень развития вторичных половых признаков (половая формула) | Менструальная функция | ||||||
Возраст (лет) | Возраст (лет) | ||||||
10 | 11 | 12 | 10 | 11 | 12 | ||
1 | 15 | Ма0-2Р0-1Ах0-1 | Ма0-3Р0-2Ах0-2 | Ма2-3Р0-3Ах0-2 | Ме0-1 | Ме0-1 | Ме0-3 |
2 | 30 | Ма0-2Р0-2Ах0-3 | Ма0-3Р0-3Ах0-3 | Ма1-3Р0-3Ах0-3 | Ме0-2 | Ме0-2 | Ме0-3 |
3 | 15 | Ма0-1Р0-1Ах0-1 | Ма0-2Р0-2Ах0-2 | Ма0-3Р0-2Ах0-2 | Ме0-1 | Ме0-2 | Ме0-3 |
Таблица 4. Балл полового развития девочек 10–12 лет
Table 4. Sexual development score for girls 10–12 years old
Балл полового развития (Ме, Q25-75) | Δ 10-11 лет | Δ 11-12 лет | |||||||||
10 | 11 | 12 | |||||||||
Ме | Q25-75 | Ме | Q25-75 | Ме | Q25-75 | Ме | Q25-75 | Ме | Q25-75 | ||
1 | 15 | 0,0 | 0,0–1,9 | 1,9 | 1,2–3,1 | 3,8 | 3,1–6,7 | 1,2 | 0,1–1,9 | 1,8 | 0,3–3,53 |
2 | 30 | 1,0 | 0,0–1,5 | 1,9 | 1,2–2,4 | 3,7 | 2,4–5,5 | 1,2 | 0,3–1,5 | 1,9 | 1,2–2,35 |
3 | 15 | 1,2 | 0,0–1,2 | 2,3 | 1,2–2,7 | 4,3 | 2,8–8,8 | 1,2 | 0,0–1,5 | 3,1 | 1,8–6,4 |
Таблица 5. Спектральные показатели вариабельности СР у девочек 10–12-летнего возраста
Table 5. Spectral indicators of HR variability in girls 10–12 years of age
Показатели | Возраст (лет) | Различия между возрастом 10 и 11 лет р | Различия между возрастом 10 и 12 лет р | |||||
10 (N=60) | 11 (N=60) | 12 (N=60) | ||||||
Ме | Q25-75 | Ме | Q25-75 | Ме | Q25-75 | |||
VLF мс2 | 925,0 | 634,0–1594,0 | 954,0 | 684,0–2323,0 | 952,0 | 603,0–1680,8 | ||
VLF% | 28,1 | 19,5–35,6 | 32,5 | 25,3–45,6 | 34,5 | 24,2–44,2 | 0,006 | <0,001 |
LF, мс2 | 1253,0 | 719,0–2523 | 1238,0 | 716,0–2131,0 | 958,0 | 566,5–1528,0 | 0,039 | |
LF% | 32,8 | 26,6–43,3 | 32,6 | 21,3–42,9 | 27,4 | 22,0–42,4 | ||
HF, мс2 | 1336,0 | 733,7–2978 | 1185,0 | 699,5–1709,7 | 843,5 | 543,5–1753,0 | ||
HF% | 39,1 | 22,3–47,0 | 29,4 | 17,9–41,4 | 30,7 | 23,1–42,1 | 0,010 | |
TP, мс2 | 4452,5 | 2364–7598 | 3964 | 2213,0–7102,0 | 2992,0 | 1941,0–5134,0 |
Таблица 6. Спектральные показатели вариабельности СР у девочек 10–12-летнего возраста с различной направленностью изменения относительной жировой массы тела
Table 6. Spectral indicators of HR variability in girls 10-12 years of age with different directions of changes in the relative fat mass
Показатели | Группы | № | Возраст (лет) | Различия между возрастом 10 и 11 лет р | Различия между возрастом 11 и 12 лет р | ||||||||
10 | 11 | 12 | |||||||||||
Ме | Q25-75 | Р | Ме | Q25-75 | Р | Ме | Q25-75 | Р | |||||
VLF мс2 | 1 | 15 | 1024,5 | 774,3–1958,8 | Р1-2 = 0,045 Р1-3 = 0,050 | 1209,0 | 893,3–2199,0 | Р1-2 = 0,009 Р1-3 = 0,012 | 1112,3 | 720,0–2302,0 | Р1-2 = 0,009 Р1-3 = 0,018 | 0,019 | 0,010 |
2 | 30 | 896,5 | 553,5–1083,0 | 808,5 | 585,8–1524,3 | 952,7 | 540,0–2268,1 | ||||||
3 | 15 | 877,0 | 454,5–1824,5 | 812,5 | 620,0–872,3 | 816,0 | 429,5–962,3 | 0,020 | |||||
VLF% | 1 | 15 | 21,9 | 17,7–35,5 | 31,5 | 27,3–38,8 | 25,3 | 17,0–26,4 | 0,001 | 0,001 | |||
2 | 30 | 26,2 | 19,4–33,1 | 31,6 | 22,3–41,8 | 34,4 | 22,2–45,2 | 0,001 | 0,001 | ||||
3 | 15 | 29,8 | 20,58–47,58 | 27,2 | 18,7–41,8 | 35,9 | 26,5–44,5 | 0,001 | 0,001 | ||||
LF, мс2 | 1 | 15 | 1463,5 | 1011,8–2798,8 | 1309,5 | 1097,5–1964,0 | 1147,2 | 560,0–2891,8 | |||||
2 | 30 | 953,5 | 710,0–1968,8 | 1094,0 | 558,3–2158,5 | 1002,5 | 578,3–1937,0 | ||||||
3 | 15 | 734,5 | 448,3–2924,0 | 964,5 | 512,3–1881,3 | 797,2 | 235,2–1175,3 | ||||||
LF% | 1 | 15 | 35,6 | 21,8–44,82 | 35,7 | 25,6–43,9 | 35,4 | 18,2–48,4 | |||||
2 | 30 | 32,8 | 23,35–41,4 | 32,1 | 28,2–42,98 | 31,3 | 31,0–46,0 | ||||||
3 | 15 | 32,3 | 31,0–46,9 | 35,7 | 27,7–44,1 | 27,6 | 24,9–43,1 | ||||||
HF,мс2 | 1 | 15 | 1460,5 | 980,8–3055,3 | 1151,0 | 790,5–1469,8 | 1123,0 | 424,6–2680,0 | |||||
2 | 30 | 1034,5 | 669,8–2353,0 | 810,5 | 434,3–1379,0 | 880 | 552,0–2061,5 | ||||||
3 | 15 | 1004,0 | 173,5–1893,8 | 732,5 | 517,3–1537,8 | 689,5 | 442,8–914,5 | ||||||
HF% | 1 | 15 | 39,6 | 25,9–59,1 | 30,0 | 18,2–41,1 | 27,6 | 24,5–42,9 | 0,012 | ||||
2 | 30 | 39,8 | 26,8–48,9 | 31,7 | 17,4–42,1 | 37,3 | 28,0–52,0 | ||||||
3 | 15 | 31,5 | 22,5–43,7 | 31,5 | 22,5–43,7 | 31,5 | 22,5–43,7 | ||||||
TP, мс2 | 1 | 15 | 5550,0 | 3651,5–7786,0 | 4595,5 | 3048,5–5603,3 | 4834,2 | 2522,2–5416,7 | 0,050 | ||||
2 | 30 | 3813,0 | 2352,0–5645,3 | 2719,0 | 1945,0–4910,0 | 2314,3 | 1737,0–3696,0 | ||||||
3 | 15 | 2339,5 | 1436,5–6309,5 | 2849,0 | 1524,0–4498,5 | 2221,5 | 1089,0–3475,8 |
Таблица 7. Корреляционные связи между показателями обмена веществ, относительной жировой массой тела и баллом полового развития, отдельными показателями половой формулы
Table 7. Correlations between metabolic indicators, relative body fat mass and sexual development score, individual indicators of the sex formula
Показатели | Возраст | Ма | Р | Ах | БПР | ||||
r | p | r | p | r | p | r | p | ||
ОО | 10 | 0,396 | 0,002 | 0,463 | <0,001 | 0,444 | <0,001 | ||
11 | 0,660 | <0,001 | 0,273 | 0,038 | 0,621 | <0,001 | |||
12 | 0,450 | 0,001 | 0,289 | 0,044 | 0,371 | 0,009 | |||
НОО | 10 | -0,386 | 0,002 | -0,310 | 0,015 | -0,396 | 0,002 | ||
11 | -0,615 | <0,001 | -0,282 | 0,002 | -0,625 | <0,001 | |||
12 | -0,319 | 0,025 | |||||||
ЖМТ% | 10 | ||||||||
11 | |||||||||
12 | -0,345 | 0,014 | 0,325 | 0,021 |
Рисунок 1. Зависимость дельт абсолютной (VLF, мс2) мощности колебаний очень низкочастотной составляющей кардиоритма от дельт относительной жировой массы тела: на рисунке приведено уравнение зависимости.
Figure 1. Dependence of the deltas of the absolute (VLF, ms2) oscillation power of the very low-frequency component of the heart rate on the deltas of the relative body fat mass: the figure shows the equation of dependence.
Рисунок 2. Зависимость дельт относительной (VLF, %) мощности колебаний очень низкочастотной составляющей кардиоритма от дельт относительной жировой массы тела: на рисунке приведено уравнение зависимости.
Figure 2. Dependence of the deltas of the relative (VLF, %) oscillation power of the very low-frequency component of the heart rate on the deltas of the relative body fat mass: the figure shows the equation of dependence.
Обсуждение
Сопоставление с другими публикациями
Возраст позиционируется в качестве одной из потенциальных детерминант, значительно модифицирующих ВРС [16][17]. Полученные нами данные, касающиеся вариабельности РС в данном возрастном промежутке, воспроизводят ранее представленные результаты [18] — от 10 до 12 лет снижается общая мощность спектра (TP, мс2).
Полученные нами данные позволяют говорить о том, что лица с максимальной абсолютной спектральной мощностью диапазона очень медленных волн VLF (мс2) продемонстрировали большее снижение ЖМТ%. Абсолютная (мс2) и относительная (%) мощность колебаний очень низкочастотной составляющей VLF в ВРС демонстрируют увеличение в ответ на снижение ЖМТ% и, напротив, уменьшение в ответ на увеличение ЖМТ%. Хотя реакции VLF более выражены на уменьшение ЖМТ%, чем на ее увеличение. Полученные нами результаты согласуются с рядом исследований, посвященных изучению связи VLF-компоненты ВРС с метаболическими процессами в организме. J. Pumprla et al. обнаружили увеличение спектральной мощности очень низкой полосы частот VLF при бесконтактном радиочастотном воздействии на подкожный жир в брюшной полости, которое сопровождалось уменьшением окружности живота и снижением ЖМТ%. Пациенты с более высокой начальной мощностью VLF продемонстрировали значительно большее снижение окружности живота и ЖМТ% путем коррекции радиочастотным воздействием, чем те, которые имели более низкую начальную спектральную мощность VLF. Авторы объяснили полученные результаты тем, что более сильное снижение процентного содержания телесного жира после серии лечения наблюдалось у пациентов с более высоким начальным уровнем адипонектина, который коррелировал с мощностью VLF волн [19].
Возможно, более высокие значения VLF-компоненты спектра, отмеченные у девочек со снижением ЖМТ% к 11 годам, связаны с процессами образования и использования энергии, происходящими в организме в ходе пубертата. Действительно, по мнению ряда авторов, диапазон 20–30-секундных колебаний (VLF) отражает уровень основного обмена (что подтвердилось в нашем исследовании), терморегуляции, эрготропных функций [20]. Существует также мнение, что VLF является хорошим индикатором управления метаболическими процессами [21]. О тесной связи VLF-компоненты ВРС с метаболическими процессами в организме свидетельствуют исследования, в которых показано, что суточная динамика уровня концентрации в сыворотке крови гормона жировых клеток — лептина — полностью повторяет суточную динамику VLF-компоненты ВРС [21]. Известно, что в биологических системах существует тесная связь между информационными и энергетическими процессами как на уровне клетки, так и на системном уровне. Медленные колебания метаболических процессов в организме необходимы для передачи биохимической информации в виде концентрационных волн на макроскопические расстояния за время, которое на несколько порядков меньше, чем время диффузии. Такое быстрое прохождение биохимической информации — одно из необходимых условий функционирования организма [цит. по: 20]. Результаты исследования служат еще одним доказательством метаболического происхождения VLF-волн.
Ограничения исследования
Ограничением данного исследования является неравночисленность выборок лиц с различной погодовой динамикой ЖМТ. При увеличении объема выборки групп результаты исследования могут быть уточнены.
Направления дальнейших исследований
Планируется увеличение мощности исследования путем увеличения размера выборки.
Заключение
Взятый нами возрастной диапазон позволил получить широкое варьирование прироста показателя ЖМТ от отрицательных до положительных значений. Положительная динамика ЖМТ связана с относительно ускоренным половым созреванием, отрицательная — с более высокими темпами роста (вытягиванием в длину). Чем более высокие темпы полового созревания наблюдаются у девочек, тем ниже у них интенсивность обмена веществ. У девочек пубертатного возраста изменение композитного состава тела с уменьшением жировой массы связано с увеличением абсолютной (мс2) и относительной (%) мощности колебаний очень низкочастотной составляющей VLF в ВРС. Проведенные нами исследования подтверждают актуальность использования ВРС при оценке влияния изменения компонентного состава тела на деятельность сердечно-сосудистой системы.
Дополнительная информация
Источники финансирования. Работа выполнена по инициативе авторов без привлечения финансирования.
Конфликт интересов. Авторы декларируют отсутствие явных и потенциальных конфликтов интересов, связанных с содержанием настоящей статьи.
Участие авторов. Филатова О.В. — концепция и дизайн исследования, анализ и интерпретация данных, переработка первого варианта статьи на предмет важного интеллектуального содержания, окончательное утверждение рукописи; Шишкина Н.А. — получение, анализ и интерпретация данных, подготовка первого варианта статьи.
Все авторы одобрили финальную версию статьи перед публикацией, выразили согласие нести ответственность за все аспекты работы, подразумевающую надлежащее изучение и решение вопросов, связанных с точностью или добросовестностью любой части работы.
Благодарности. Авторы статьи выражают благодарность Ворониной Инне Юрьевне, доценту кафедры зоологии и физиологии АлтГУ за оказание технической помощи и помощи в переводе.
Список литературы
1. Баевский Р., Орлов О. Методы и приборы космической кардиологии на борту Международной космической станции. — Litres, 2022.
2. Берсенев Е.Ю., Суворов А.В., Семенов Ю.Н. и др. Новые приборы для анализа вариабельности сердечного ритма в космической медицине и перспективы их использования в клинической медицине и в прикладной физиологии // Материалы XXIII съезда физиологического общества им. И.П. Павлова с международным участием (18–22 сентября 2017 г., Воронеж). — М.: Изд-во Истоки, 2017. — С. 2424-2426.
3. Баевский Р.М., Иванов ГГ., Гаврилушкин А.П., Довгалевский П.Я., Кукушкин Ю.А., и др. Анализ вариабельности сердечного ритма при использовании различных электрокардиографических систем // Вестник аритмологии. — 2001. — №24. — С. 65–87.
4. Goldstein DS, Bentho О, Park MY, Sharabi Y.LF power of heart rate variability is not a measure of cardiac sympathetic tone but may be a measure of modulation of cardiac autonomic outflows by baroreflexes. Exp Physiol. 2011;(96):1255–1261. doi: https://doi.org/10.1113/expphysiol.2010.056259
5. Billman GE. The LF/HF ratio does not accurately measure cardiac sympatho-vagal balance. Front. Physiol. 2013;(4):26-32. doi: https://doi.org/10.3389/fphys.2013.00026
6. Курьянова Е.В. Вегетативная регуляция сердечного ритма: результаты и перспективы исследований. 2-е изд., испр. и доп. — Астрахань: Астраханский ун-т. — 2011.
7. Курьянова Е.В., Трясучев А.В., Ступин В.О., Жукова Ю.Д., Лычагина С.Н. Влияние стимуляции и блокады дофаминергической системы на вариабельность сердечного ритма нелинейных крыс // Естественные науки. — 2015. — Т. 53. — №4. — С. 63–72.
8. Ступин В.О., Курьянова Е.В., Трясучёв А.В. Особенности изменений вариабельности сердечного ритма нелинейных крыс при введении дофамина и стимуляции центральной дофаминергической системы // Естественные науки. — 2018. — №1. — С. 58-65.
9. Синицкая Е. Ю., Волокитина Т. В. Оценка функционального состояния вегетативной регуляции сердечного ритма у детей младшего школьного возраста // Экология человека. — 2012. — №7. — С. 29–37.
10. Томилова Е.А., Ларькина Н.Ю., Колпаков и др. Интегративная оценка вегетативного статуса у детей различных функциональных типов конституции // Медицинская наука и образование Урала. — 2017. — Т. 18. — №2. — С. 123-127.
11. Литовченко О.Г., Уханова А.А. Показатели функционального состояния сердечно-сосудистой системы детей 11-12 лет, проживающих в условиях северного региона // Медико-фармацевтический журнал «Пульс». — 2019. — Т. 21. — №3. — С. 27-31.
12. Филатова О.В., Богданова Т.А., Томилова И.Н. Особенности вариабельности ритма сердца, состава тела и параметров биоимпедансометрии у девочек в зависимости от темпов биологического созревания // Экология человека. — 2020. — №2. — С. 24-32. doi: doi:10.33396/1728-0869-2020-2-24-32
13. Тамбовцева Р.В. Зависимость энергетического метаболима физической работоспособности детей допубертатного периода от эндогенных факторов // Актуальные проблемы биохимии и биоэнергетики спорта XXI века. — 2016. — С. 25-30.
14. Руководство по детской эндокринологии / Под ред. Ч.Г.Д. Брука, Р.С. Браун. М.: ГЭОТАР-Медиа. 2009.
15. Тумилович Л.Г., Сальникова Г.П., Дзюба Г.И. Оценка степени полового развития девочек // Акушерство и гинекология. — 1975. — №3. — С. 54–56.
16. Kuo TBJ, Lin T, Yang CCH, Li C-L, Chen C-F, Chou P. Effect of aging on gender differences in neural control of heart rate. Am J Physiol Circ Physiol. 1999;277(6):H2233-H2239. doi: https://doi.org/10.1152/ajpheart.1999.277.6.H2233
17. Gąsior JS, Sacha J, Pawłowski M, et al. Normative Values for Heart Rate Variability Parameters in School-Aged Children: Simple Approach Considering Diferences in Average Heart Rate. Front Physiol. 2018;9(1):28-35. doi: https://doi.org/10.3389/fphys.2018.01495
18. Догадкина С.Б. Особенности вегетативной нервной регуляции сердечного ритма у школьников 11-13 лет // Новые исследования. — 2015. — №2(43). — С. 21-26.
19. Pahlavani N, Nattagh-Eshtivani E, Amanollahi A, et al. Effects of microwave technology on the subcutaneous abdominal fat and anthropometric indices of overweight adults: A clinical trial. J Cosmet Dermatol. 2022. doi: https://doi.org/10.1111/jocd.14245
20. Кудря О.Н. Влияние физических нагрузок разной направленности на вариабельность ритма сердца у спортсменов // Бюллетень сибирской медицины. — 2009. — Т. 8. — №1. — С. 36-42.
21. Takabatake N, Nakamura H, Minamihaba O, et al. A novel pathophysiologic phenomenon in cachexic patients with chronic obstructive pulmonary disease: The relationship between the circadian rhythm of circulating leptin and the very low-frequency component of heart rate variability. Am J Respir Crit Care Med. 2001. doi: https://doi.org/10.1164/ajrccm.163.6.2004175
Об авторах
О. В. ФилатоваАлтайский государственный университет
Россия
Филатова Ольга Викторовна - д.б.н., профессор кафедры зоологии и физиологии.
656049, Барнаул, пр. Ленина д. 61
Scopus Author ID 36785055000
Конфликт интересов:
Нет
Н. А. Шишкина
Россия
Шишкина Наталья Александровна – магистрант института биологии и биотехнологии.
656049, Барнаул, пр. Ленина д. 61
Конфликт интересов:
Нет
Дополнительные файлы
|
1. Рисунок 1. Зависимость дельт абсолютной (VLF, мс2) мощности колебаний очень низкочастотной составляющей кардиоритма от дельт относительной жировой массы тела: на рисунке приведено уравнение зависимости | |
Тема | ||
Тип | Исследовательские инструменты | |
Посмотреть
(129KB)
|
Метаданные ▾ |
|
2. Рисунок 2. Зависимость дельт относительной (VLF, %) мощности колебаний очень низкочастотной составляющей кардиоритма от дельт относительной жировой массы тела: на рисунке приведено уравнение зависимости | |
Тема | ||
Тип | Исследовательские инструменты | |
Посмотреть
(128KB)
|
Метаданные ▾ |
Рецензия
Для цитирования:
Филатова О.В., Шишкина Н.А. Двухгодичное исследование очень низкочастотного спектра вариабельности ритма сердца в связи с изменениями компонентного состава тела девочек от 10 до 12 лет. Ожирение и метаболизм. 2024;21(3):269-277. https://doi.org/10.14341/omet13082
For citation:
Filatova O.V., Shishkina N.A. Two-year study of the VLF spectrum of heart rate variability in connection with changes in the body composition of girls from 10 to 12 years old. Obesity and metabolism. 2024;21(3):269-277. (In Russ.) https://doi.org/10.14341/omet13082

Контент доступен под лицензией Creative Commons Attribution-NonCommercial-NoDerivatives 4.0 International License (CC BY-NC-ND 4.0).