Перейти к:
Ожирение. Причины, типы и перспективы
https://doi.org/10.14341/omet13055
Аннотация
Стремительные изменения морфологических характеристик населения, начавшиеся в середине прошлого столетия, обусловлены изменением среды обитания. «Жирогенная» среда, которая формируется в урбанизированных пространствах, способствует гиподинамии и гиперкалорийному рациону, а процессы глобализации способствуют ожирению населения во всех странах мира. От эпидемии ожирения, провозглашенной ВОЗ в 1988г., человечество перешло к пандемии ожирения. В представленном обзоре проведен анализ мировых и российских трендов в развитии ожирения. Представлены данные о распространенности скрытого ожирения и критерии диагностики данного состояния. Проведен анализ данных о динамике ИМТ в мире и на территории РФ. Рассмотрены различные варианты топографии жироотложения и их связь с коморбидными заболеваниями. Обсуждается строение подкожного жирового депо в абдоминальной области и влияние наружного (superficial subcutaneous abdominal adipose tissue, SSAT) и глубокого (deep subcutaneous abdominal adipose tissue, DSAT) слоев подкожной жировой клетчатки в области живота на риски развития заболеваний. Представлены результаты оценки диагностической ценности Т/А замены в гене FTO (rs9939609) для прогноза доли жировой массы и абдоминального характера жироотложения у взрослых.
Для цитирования:
Бондарева Э.А., Трошина Е.А. Ожирение. Причины, типы и перспективы. Ожирение и метаболизм. 2024;21(2):174-187. https://doi.org/10.14341/omet13055
For citation:
Bondareva E.A., Troshina E.A. Obesity. Reasons, features and prospects. Obesity and metabolism. 2024;21(2):174-187. (In Russ.) https://doi.org/10.14341/omet13055
ВВЕДЕНИЕ
В современном мире от последствий избыточного веса и ожирения умирает больше людей, чем от последствий дефицита массы тела (официальный сайт Всемирной организации здравоохранения) [1]. Глобальная эпидемия ожирения продолжает набирать обороты, затрагивая на сегодняшний день более двух миллиардов человек — около четверти населения планеты. В 2017 г. группа по изучению глобального бремени болезней (The Global Burden of Disease Group) заявила: «С 1980 г. число людей с ожирением удвоилось в более 70 странах и непрерывно увеличивается во всех остальных государствах» [2]. ЮНИСЕФ в 2017 г. сообщило, что за последние 15 лет прогресс в снижении количества детей и подростков с избыточной массой тела и ожирением отсутствует [3]. По мнению ведущих специалистов в данной области, если тренд 2000-х сохранится, то вероятность достичь цели по снижению в два раза к 2025 г. общего числа людей с ожирением близка к нулю [4]. Можно с уверенностью заявить, что на текущий момент человечество проигрывает войну ожирению.
Для поиска статей были использованы российские и международные базы данных: РИНЦ, PubMed, ScienceDirect, Scopus and Google Scholar. Поиск проводили по ключевым словам: obesity, globesity, normal-weight obesity, BMI, ожирение, эпидемия ожирения, скрытое ожирение, ИМТ. В анализ были включены оригинальные исследования и обзорные статьи, опубликованные с 2018 по 2023 гг. на английском или русском языках. Были использованы только полнотекстовые версии статей.
Материалы, которые были использованы авторами для создания иллюстративного материала к данному обзору, были собраны в рамках проектов РФФИ №20-49-040004 (рук. Е.В. Попова), 20-09-00276 (рук. Э.А. Бондарева) и РНФ №22-75-10122 (рук. Н.А. Кулемин). Данные, использованные в таблице 1, а также для создания рисунков 1–5, получены авторами в рамках проведения комплексных антропогенетических обследований взрослого населения (230 мужчин и 234 женщины в возрасте от 18 до 75 лет) г. Москвы. 2D-скан подкожной жировой клетчатки в абдоминальной области (рис. 4) получен авторами в ходе комплексного антропогенетического обследования при помощи УЗИ-сканера BodyMetrix (IntelaMetrix, США), визуализация и цифровая обработка сигнала были проведены в программном обеспечении BodyViewProFit (IntelaMetrix, США) [5]. Программа обследования и антропометрические характеристики для выборок взрослых жителей г. Москвы, которые были использованы для создания рисунков 1–5, подробно описаны в публикациях [5–11].
Таблица 1. Значения AUC и уровни значимости
для некоторых антропометрических признаков и индексов
в подгруппах мужчин и женщин
Table 1. AUC values and significance levels for anthropometric traits and indices
in subgroups of men and women
|
Признак |
Мужчины |
Женщины |
||
|
AUC |
pBH |
AUC |
pBH |
|
|
Окружность груди (см) |
0,44 [ 0,33; 0,55] |
0,38 |
0,41 [ 0,31; 0,52] |
0,10 |
|
Окружность талии (см) |
0,41 [ 0,29; 0,52] |
0,38 |
0,40 [ 0,29; 0,51] |
0,07 |
|
КЖС живота (мм) |
0,56 [ 0,44; 0,69] |
0,38 |
0,38 [ 0,28; 0,48] |
0,06 |
|
ЖМ (кг) |
0,44 [ 0,33; 0,55] |
0,38 |
0,39 [ 0,29; 0,50] |
0,06 |
|
ИМТ (кг/м²) |
0,44 [ 0,31; 0,56] |
0,38 |
0,39 [ 0,28; 0,49] |
0,06 |
|
ИТР |
0,45 [ 0,32; 0,57] |
0,42 |
0,38 [ 0,27; 0,48] |
0,06 |
Примечание: AUC (area under the curve) — площадь под кривой; pBH — уровень статистической значимости с поправкой Беньямини-Хохберга; КЖС — кожно-жировая складка; ЖМ — жировая масса; ИТР — индекс «талия/рост».
Note: AUC (area under the curve) — area under the curve; pBH — level of statistical significance with Benjamini-Hochberg correction; SF — skinfold thickness; FM — fat mass; WHtR — waist-to-height ratio.
КОГДА НАЧАЛАСЬ ЭПИДЕМИЯ ОЖИРЕНИЯ?
В 1988 г. ВОЗ в своем докладе сообщила о проблеме ожирения как о глобальном феномене, тогда же впервые прозвучал вывод об эпидемии ожирения в мире [3]. С тех пор термин «эпидемия или пандемия ожирения» прочно вошел в научный оборот, доклады официальных органов и СМИ. Однако неясно, определяет ли слово «эпидемия» то, что мы наблюдаем в современной популяции человека. Эпидемия начинается со вспышки заболевания, проходит пик, затем наступает спад, и в конце концов она завершается, так как все восприимчивые индивидуумы либо выздоравливают, либо умирают. Вместо резкой вспышки «заболевания» ожирением мы наблюдаем постоянный и неуклонный рост доли людей с высоким индексом массы тела (ИМТ).
Исторические свидетельства эпидемиологических исследований позволяют заключить, что увеличение ИМТ в популяции человека происходит последние 300 лет. Американский экономист Роберт Фогель исследовал взаимосвязь между размером тела и производительностью труда с начала XVIII века [12]. Используя данные о длине и массе тела жителей наиболее экономически развитых государств (Скандинавские страны, Франция, Великобритания) начиная с 1705 и до 1975 гг., Фогель показал, что в 1705 г. средний ИМТ в этих популяциях составлял 19 кг/м², что ниже рекомендованного ВОЗ идеального значения ИМТ в 22 кг/м². Следующие три столетия ИМТ постепенно увеличивался, отражая увеличение среднепопуляционных значений длины и массы тела, и к 1975 г. составил 25 кг/м². После достижения верхней границы нормальных значений ИМТ во многих развитых странах продолжил увеличиваться и к 2014 г. в США составил 27,8 кг/м². Высказывается мнение, что наблюдаемое увеличение ИМТ является не эпидемией, а закономерным итогом биологических процессов по увеличению размеров тела с целью защиты от голода и повышения эффективности в различных столкновениях, в том числе военных. Одновременно с продолжающимся набором массы фиксируется замедление или полная остановка прибавки в длине тела у современного человека. Это может свидетельствовать о том, что большинство популяций реализовало генетический потенциал в линейном росте. На протяжении практически всей истории человеку приходилось бороться с голодом. Эта борьба вышла на новый уровень после создания Продовольственной и сельскохозяйственной организации Объединенных Наций (ФАО) (Food and Agriculture Organization, FAO) после Второй мировой войны. Руководством ФАО были предприняты значительные усилия по увеличению подушевой калорийности и доступности пищи в бедных странах [13]. Постепенно эти инициативы трансформировались в современную индустрию производства продуктов питания для массового потребления и борьбу за «долю в желудке» потребителей между производителями и поставщиками продуктов питания. От голода по-прежнему страдает население во многих частях света, однако, по мнению большинства экспертов, это связано с неравенством в доступе к пище, а не с ее недостаточным производством в глобальном масштабе.
СИТУАЦИЯ В РОССИИ
Исследования распространенности общего ожирения проводятся и в России [14–18]. Распространенность ожирения оценивается Федеральной службой государственной статистики (Росстат) только по данным обращаемости населения за медицинской помощью. В связи с низкой обращаемостью населения с проблемой избыточного веса и ожирения данные официальной статистики не отражают реальной распространенности данного заболевания. В 2018 г. было проведено выборочное обследование рациона питания взрослого населения, при этом распространенность ожирения оценивалась на основании объективных измерений массы тела и роста членов домохозяйств. Результаты указали на то, что ожирение имеют 17,8% мужчин и 24,5% женщин, а избыточная масса тела зафиксирована у 46,9% мужчин и 34,7% женщин.
По результатам эпидемиологического исследования NATION, проведенного под эгидой ГНЦ ФГБУ «НМИЦ эндокринологии» Минздрава России [16], распространенность ожирения среди населения РФ составила 31%, а избыточной массы тела — 35%. Однако, по официальной статистике Росстата, численность лиц с ожирением составляет 1 981 730 человек (1,38% населения). По сравнению с 2020 г. отмечается прирост на 72 029 человек. Таким образом, число официально зарегистрированных взрослых пациентов с ожирением в РФ в 13–22 раза меньше реального их количества.
В педиатрической популяции, по данным статистических отчетов (форма №12) на 01.01.2022 г., в РФ за 2021 г. ожирение выявлено у 532 136 детей, что составляет 1,6% от детского населения. Наименьшая распространенность ожирения среди детей и подростков (менее 1000 человек на 100 тысяч детского населения) за 2022 г., по данным формы №12, отмечается в Чеченской республике, Ингушетии, Карачаево-Черкесии, Республике Калмыкия, Сахалинской области, Ульяновской области, Республике Карелия, Вологде, Ленинградской и Псковской областях, Ставропольском крае, Республике Дагестан, Республике Тыве, наибольшие показатели (выше 3100 человек на 100 тыс. детского населения) — в Амурской и Свердловской областях, Алтайском крае, Брянской и Оренбургской областях, Камчатском крае, Республике Бурятия. В среднем по РФ — 3338,0 на 100 тыс. детского населения. Однако при проведении эпидемиологических исследований на территории РФ (Свердловская, Самарская области, Республика Башкортостан, г. Москва) с оценкой ИМТ (ключевой показатель оценки наличия ожирения) процент ожирения среди детей составляет 6–13%, а избыток массы тела — 21–25% согласно нормативам Всемирной организации здравоохранения (ВОЗ), то есть истинная распространенность ожирения превышает официальную в 4–6 раз. Таким образом, данные официальной статистики не в полной мере отражают распространенность ожирения у детей.
В отечественных работах суммированы данные о распространенности общего ожирения среди мужчин и женщин в различных городах и регионах России [15][17]. Данные для Горно-Алтайска (2020–2021 гг.) и Кызыла получены авторами [6], для г. Москвы (2019–2022 гг.) [5][7–11]. Выборки представлены обследованными мужчинами и женщинами в возрасте 18–35 лет из Республики Алтай.
В целом для территории России характерны общемировые тренды: среднепопуляционное значение ИМТ составляет 27,6 кг/м², ожирение чаще встречается у женщин, доля людей с ожирением увеличивается с возрастом, также увеличивается доля людей с абдоминальным ожирением [17].
В ходе выборочного исследования рациона населения в 2018 г. были проанализированы основные причины набора массы тела пациентов. У населения РФ сохраняется недостаточное потребление свежих фруктов и овощей. Так, только 60,3% респондентов указали, что едят свежие фрукты ежедневно или несколько раз в неделю, 75,6% населения включают в свое меню овощи (за исключением картофеля) в свежем, отварном или тушеном виде. Лишь 69,9% детей в возрасте 3–13 лет употребляют овощи. Сохраняется высокая доля лиц, ежедневно употребляющих сладкие газированные напитки (8,6% среди взрослого населения, 13,9% среди детского), а также лиц, часто потребляющих колбасные изделия (43,7% взрослого населения).
В отчете Министерства спорта РФ о ходе реализации государственной программы «Развитие физической культуры и спорта» за 2022 г. [18] приводятся данные о доле населения, занимающейся спортом в соответствующих сооружениях (на стадионах, залах, бассейнах и др.) — 52,95%, 13,6% лиц занимается в клубах, в том числе по месту жительства. Таким образом, несбалансированное питание и недостаточная физическая активность вносят вклад в распространение избыточной массы тела и ожирения.
В течение последних 5 лет ситуацию с ростом числа лиц с ожирением усугубила пандемия COVID-19. Период самоизоляции способствовал гиподинамии и перееданию, что было обусловлено увеличением числа работников, находящихся на дистанционном режиме работы [19].
ОЖИРЕНИЕ КАК НЕОТЪЕМЛЕМАЯ ЧЕРТА АНТРОПОЦЕНА
Неформальным термином «антропоцен» принято обозначать текущий момент эволюции человека, в котором человеческая деятельность является мощнейшим фактором, влияющим на планетарные процессы. Некоторые компоненты человеческой деятельности затрагивают диету современного человека, что непосредственно влияет на глобальный прирост массы тела. Разрастание городов и увеличение их количества приводит к тому, что все больше населения Земли проживает в городах, где формируется «жирогенная» среда. «Жирогенная» среда (obesogenic environment) — это среда обитания, для которой характерны гиперкалорийное питание и гиподинамия. Высоко урбанизованная среда обитания, которая способствует накоплению избыточной жировой массы за счет гиподинамии и легко доступной энергетически плотной пищи [20]. По прогнозам, к 2035 г. более двух миллиардов человек будут жить в городах [21]. Факторы, формирующие «жирогенное» окружение, находятся под пристальным вниманием научного сообщества, в свете тесной связи с глобальной эпидемией ожирения современного общества («globesity» — global obesity). Например, было показано, что ИМТ жителей городов отрицательно коррелирует с расстоянием до ближайшего ресторана с фастфудом, что привело к появлению термина retail food environment [22]. С другой стороны, наличие тротуаров и доступных рекреационных зон увеличивают расход энергии на 10%. Городские жители, которые пользуются общественным транспортом, делают на 30% больше шагов, чем владельцы автомобилей. В свете постоянного воздействия факторов «жирогенной» среды задача по снижению и удержанию сниженной массы тела, которая рекомендована в связи с развитием коморбидных заболеваний, для многих людей становится действительно крайне сложной задачей [22]. В целом главной проблемой городских жителей является гиподинамия, которая, в зависимости от индивидуальных особенностей, приводит к развитию общего, скрытого или висцерального ожирения, тогда как улучшение физических кондиций (увеличение физической силы и выносливости) приводят к заметному улучшению метаболических показателей, снижению запасов жира в висцеральном депо независимо от снижения массы тела. Глобализация способствует распространению вестернизированного образа жизни, который формирует «жирогенную» среду. «Жирогенное» окружение, в свою очередь, требует изменения адаптационных механизмов, которые сформировались ранее в совершенно иных условиях среды. Таким образом, современный человек как биологический вид находится в совершенно новых условиях: избыток высококалорийной пищи, гиподинамия, термонейтральная среда, которые изменяют адаптивные в прошлом механизмы на дезадаптивные. Физическая активность (ФА), несомненно, является мощным фактором, влияющим на риск развития сердечно-сосудистых заболеваний. Роттердамское исследование показало, что люди с избыточной массой тела и ожирением, поддерживающие высокий уровень ФА, и люди с нормальным ИМТ имеют равный риск развития заболеваний [23]. Таким образом, в современных популяциях присутствуют метаболически здоровые (концентрация глюкозы натощак, индекс HOMA-IR, концентрация инсулина) люди с избыточной массой тела и ожирением. По некоторым оценкам, 10–16% среди людей с ожирением в западных обществах [24]. Таким образом, можно констатировать низкую эффективность использования ИМТ в диагностике риска развития коморбидных заболеваний. Предлагается ряд альтернативных подходов по оценке ожирения, которые не предполагают учета ИМТ, например, комплексный подход к оценке рисков, сочетающий оценку доли жировой массы тела пациента, клинических проявлений и других этиологических факторов [24]. Указанные подходы могут стать эффективным инструментом для оценки риска коморбидных заболеваний на индивидуальном уровне, но могут оказаться неэффективными на уровне популяции.
Пристального внимания заслуживает рост случаев ожирения (в том числе абдоминального) среди коренного населения. Этот тренд отмечается зарубежными [25] и отечественными [26] исследователями в популяциях коренных народов, независимо от их этно-расовой принадлежности и климатических условий проживания, т.е. носит глобальных характер.
ИМТ И БОЛЕЗНИ
В масштабном скрининговом исследовании, проведенном в России, было показано, что процент взрослого населения с избыточной массой тела устойчиво увеличивается с возрастом до 55–60 лет, достигая 80–85% у женщин и 75–80% у мужчин. Высокая распространенность избыточной массы тела и ожирения в когорте пожилых людей способствует развитию и усугублению течения коморбидных заболеваний (гипертоническая болезнь, сахарный диабет 2 типа, заболевания опорно‐двигательного аппарата и другие) [27]. Развитие коморбидных ожирению заболеваний снижает качество и продолжительность жизни взрослого населения, а также приводит к увеличению расходов на здравоохранение. Говоря о пандемии ожирения, имеют в виду всех, чей ИМТ выше рекомендованной ВОЗ границы в 24,9 кг/м². Однако более 60% всех заболеваний и смертей, связанных с ожирением, происходят в зоне, где ИМТ превышает 30 кг/м². Доля людей с ИМТ≥30 кг/м² в популяции всего около 10% [2]. Предрасположенность к различным заболеваниям людей с ИМТ 25–29,9 кг/м² в настоящий момент является предметом дискуссий и активного изучения. Ряд исследований свидетельствуют, что смертность в этом диапазоне не отличается от уровня в нормальном. Результаты этих и ряда других исследований позволили высказать идею о том, что значение ИМТ в точке минимальной смертности постепенно увеличивается, и, возможно, традиционные рамки нормальных значений ИМТ 18,5–24,9 кг/м² должны быть пересмотрены [28]. Исследование «парадокса ожирения» выходит за рамки данного обзора. Скажем лишь, что существует множество свидетельств, что текущие рамки «здоровых» значений ИМТ остаются актуальными [29]. Противоречивые результаты относительно опасных и безопасных значений ИМТ порождают необоснованные рекомендации для людей с ИМТ 25–29,9 кг/м², которые призывают «стараться не набрать еще больше, нежели снижать вес» [30]. В США такие рекомендации от официальных органов здравоохранения привели к уменьшению числа людей, старающихся снизить вес [31].
Действительно, корреляционные связи между ИМТ и метаболическими нарушениями, такими как инсулинорезистентность, очень низкие. Систематический обзор по результатам исследований 1994–2015 гг. выявил, что ИМТ описывает лишь 16% изменчивости инсулинорезистентности [32]. Результаты других исследований показали, что инсулинорезистентность является гораздо более надежным предиктором развития заболеваний, нежели ИМТ. Проспективное исследование, длившееся 5,5 года, показало, что у людей с ожирением и нормальной чувствительностью к инсулину на 40% реже диагностировали диабет, чем у людей с ожирением и инсулинорезистентностью. Верно и обратное: люди с нормальной массой тела и инсулинорезистентностью имеют на 80% выше риск развития диабета, нежели те, кто имеет нормальную массу тела и нормальную чувствительность к инсулину [33]. Конкретные механизмы и причины, которые приводят к развитию патологических состояний (инсулинорезистентность, дислипидемия, гипертония и т.д.), активно исследуются. Особое внимание уделяется процессам метилирования. Авторы предположили, что жироотложение приводит к изменению метилирования ДНК, что в свою очередь влияет на метаболизм липопротеинов и процессы воспаления. Исследовав статус метилирования у более 5000 человек, авторы ранжировали их по ИМТ и уровню метилирования. Анализ результатов показал, что уровень метилирования положительно коррелирует с риском развития диабета 2 типа независимо от ИМТ [34].
ОТ ОЖИРЕНИЯ К ОЖИРЕНИЯМ
Среди различных подтипов ожирения морбидное (ИМТ≥40 кг/м²) распространяется в популяции современного человека быстрее всего. Заболеваемость и смертность у людей с морбидным ожирением самая высокая, что создает новые вызовы для системы здравоохранения и методов медицинской коррекции для таких пациентов. В США число взрослых людей с ИМТ 40 кг/м² за период с 1986 по 2010 гг. увеличилось в четыре раза. Для ИМТ≥50 кг/кв.м. отмечен более чем десятикратный рост. Для сравнения, число людей с ИМТ от 30 до 40 кг/м² удвоилось. Морбидное ожирение ассоциировано с определенными этническими группами и на 50% чаще встречается среди женщин, чем среди мужчин [35].
ВОЗ определяет ожирение следующим образом: аномальное или избыточное накопление жира, которое приводит к ухудшению здоровья [36]. Этот же документ признает, что ИМТ является крайне грубым индикатором доли жира в организме. Люди с нормальным ИМТ могут иметь долю ЖМ≥30% — состояние, которое называется скрытым ожирением, или ожирением при нормальном весе [37]. В таком случае нормальный ИМТ поддерживается за счет заметного снижения тощей массы тела, преимущественно за счет скелетных мышц.
По различным оценкам, распространенность скрытого ожирения варьирует от 13 до 38% [37]. Несмотря на общий консенсус о существовании феномена скрытого ожирения, на сегодняшний день отсутствуют его единые диагностические критерии (табл. 2). De Lorenzo и соавт. предложили фиксированный порог: ≥30% жировой массы тела у женщин и ≥25% у мужчин [38]. Также были предложены дифференцированные половозрастные пороги: для женщин — в диапазоне от 30 до 37% ЖМ [39]. Другой подход предполагает использование перцентильных оценок %ЖМ, 66-й и 95-й перцентили предлагаются в качестве пороговых значений [40]. Madeira и соавт. предложили использование 90-го перцентиля суммы толщины кожно-жировых складок над трицепсом и под лопаткой в качестве порога для определения скрытого ожирения [41].
Таблица 2. Критерии ожирения при нормальном весе
Table 2. Normal weight obesity criteria
|
Страна |
Возраст, лет |
%Ж |
Оценка %ЖМ |
Критерии ожирения при нормальном весе |
||
|
ИМТ |
%ЖМ М |
%ЖМ Ж |
||||
|
Китай |
20+ |
59 |
БИА |
8,5–23,9 |
≥24 |
≥33 |
|
18–24 |
46 |
БИА |
18,5–24,9, |
≥20 |
>30 |
|
|
18–85 |
44 |
БИА |
<25 |
≥25 |
≥30 |
|
|
18–24 |
46 |
БИА |
18,5–24,9 |
≥20 |
>30 |
|
|
18–80 |
66 |
DXA |
18,5–23,9 |
>20 |
>30 |
|
|
Индия |
18–35 |
68 |
БИА |
18,5–24,9 |
≥23,1 |
≥33,3 |
|
30–60 |
46 |
БИА |
18,5–24,9 |
≥20,6 |
≥33,4 |
|
|
Тайвань |
18+ |
60 |
БИА |
<23 |
>23 |
>27 |
|
Таиланд |
20+ |
35 |
БИА |
М<27 Ж<25 |
≥25 |
≥35 |
|
Корея |
30–49 |
62 |
DXA |
18,5–22,9 |
≥20,6 |
≥33,4 |
|
40–65 |
45 |
БИА |
18,5–24,9 |
≥25,4 |
≥31,4 |
|
|
20–79 |
56 |
БИА |
18,5–24,9 |
≥23,5 |
≥29,2 |
|
|
19–82 |
0 |
DXA |
<25 |
>25 |
- |
|
|
Иран |
35–65 |
61 |
БИА |
<25 |
≥25 |
≥30 |
|
Швеция |
25–74 |
53 |
БИА |
<25 |
≥25 |
≥35 |
|
Швейцария |
35–75 |
100 |
БИА |
<25 |
- |
>38 |
|
Италия |
20–35 |
100 |
DXA |
18,5–23,9 |
- |
> 30 |
|
Польша |
20–40 |
100 |
DXA |
18,5–24,9 |
>30 |
|
|
20+ |
40 |
DXA |
18,5-24,9 |
20÷39 лет >19 40÷59 лет >21 60÷79 лет >24 |
20÷39 лет >32 40÷59 лет >33 60÷79 лет >35 |
|
|
США |
30–65 |
65 |
DXA |
18,5–24,9 |
>23 |
>30 |
|
18–24 |
46 |
ВЗП |
<25 |
>23 |
>30 |
|
|
20–84 |
36 |
DXA |
18,5–24,9 |
%ЖМ выше медианного значения |
||
|
60+ |
50 |
БИА |
18,5–24,9 |
>25,0 |
>35,0 |
|
|
Колумбия |
18–30 |
83 |
БИА |
18,5–24,9 |
>25,5 |
>38,9 |
|
Бразилия |
23–25 |
55 |
Калиперометрия |
18,5–24,9 |
≥23,1 |
≥33,3 |
Примечание: БИА — биоимпедансометрия; ВЗП — воздушнозаместительная плетизмография; DXA — двухэнергетическая рентгеновская абсорбциометрия; %ЖМ — доля жировой массы тела; ИМТ — индекс массы тела; М — мужчины; Ж — женщины.
Note: BIA — bioimpedance analysis; ADP — air displacement plethysmography;DXA — dual-energy X-ray absorptiometry; %FM — percent of body fat; BMI — body mass index; M — men; F — women.
По нашим данным, распространенность избыточной массы тела и ожирения, диагностированных по ИМТ, в группе женщин, проживающих в г. Москве, составляет 18 и 10% соответственно. Тогда как оценка ожирения по %ЖМ, определенному в ходе определения состава тела, с порогом ≥30% выявляет 47% случаев ожирения в данной группе (рис. 1). Доля женщин со скрытым ожирением составляет 35% от числа обследованных с нормальными значениями ИМТ, т.е. каждая третья москвичка с ИМТ от 18,5 до 24,9 кг/м² имеет скрытое ожирение. В группе обследованных мужчин (120 человек в возрасте от 18 до 73 лет) случаев скрытого ожирения выявлено не было (рис. 1).

Рисунок 1. Распространенность нутритивных статусов в группе из 202 женщин 18–67 лет, проживающих в г. Москве. А — нутритивный статус диагностирован по значению ИМТ. Красный — недостаток массы тела, зеленый — нормальная масса тела, фиолетовый — избыточная масса тела, голубой — ожирение. Б — ожирение диагностировано по доле жировой массы тела, определенной в ходе биоимпедансометрии. Красный — нет ожирения %ЖМ<30, голубой — ожирение %ЖМ≥30.
Figure 1. Prevalence of nutritional status in a group of 202 women aged 18–67 years living in Moscow. A — nutritional status is diagnosed based on BMI value. Red — underweight, green — normal body weight, purple — overweight, blue — obesity. B — obesity was diagnosed by the proportion of body fat mass determined during bioimpedance measurement. Red — no obesity %FM<30, blue — obesity %FM≥30.
Помимо количественных характеристик — абсолютного и относительного количества жировой массы тела — важное значение имеет паттерн распределения жирового депо. Топография жироотложения является независимым фактором, влияющим на риски развития коморбидных заболеваний и на общую смертность. Центральное (трункальное) жироотложение, когда жировая масса расположена главным образом на корпусе, является наиболее опасным типом. Часто выраженность центрального жироотложения оценивают по окружности талии. Окружность талии ≥80 см у женщин и ≥95 см у мужчин является признаком избыточного жироотложения в области живота, а значения ≥88 и ≥102 см являются критериями центрального ожирения [42]. Окружность талии в известной степени позволяет выделить подгруппу людей с высоким риском, связанным с висцеральным жироотложением. Следует отметить, что окружность талии в 102 см у человека с ИМТ 24,5 кг/м² и 33 кг/м² соответствует разному %ЖМ. В первом случае можно говорить о центральном ожирении, тогда как во втором — об общем. Очевидно также, что выраженность жироотложения в области живота у женщин с окружностью талии 88 см, но длиной тела в 160 и 180 см будет совершенно разной. Распространенность висцерального ожирения в общемировой популяции оценивается по 20%. Это неравномерное распределение, на которое влияет этническая принадлежность, пол, возраст и особенности образа жизни [43].
Возможным решением является разработка диапазона нормальных и повышенных значений окружности талии для конкретных значений ИМТ, так как увеличение окружности талии в любой категории ИМТ ассоциировано с повышенной смертностью [44]. Были разработаны различные антропометрические индексы, призванные объективизировать оценку топографии жироотложения. Самым известным является индекс «талия/бедра» — ИТБ (WHR, waist to hip ratio) с пороговыми значениями в 0,85 и 0,95 для женщин и мужчин соответственно. Индекс «талия/рост» (WHtR, waist to height ratio), который широко распространен на Западе, имеет пороговое значение 0,5÷0,6 и ≥0,6 — для повышенного жироотложения животе и центрального ожирения соответственно. Все больше данных свидетельствует о том, что ИТР наилучшим образом позволяет диагностировать центральное ожирение, и его значения имеют практически линейную зависимость с риском развития кардиометаболических заболеваний и количественными характеристиками висцерального жироотложения [45].
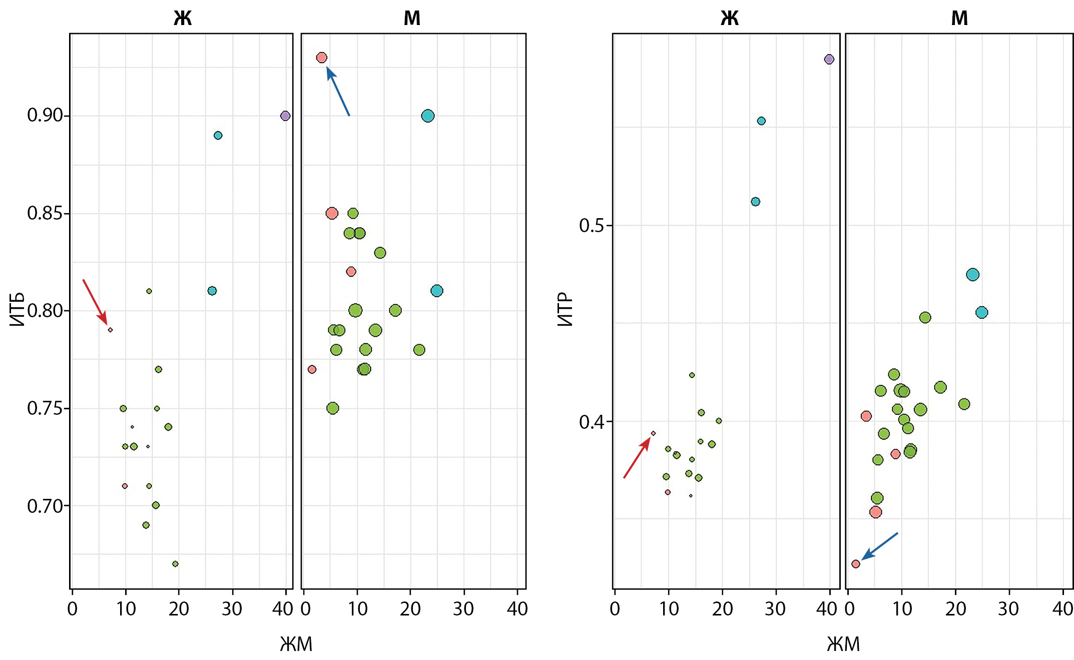
Половой диморфизм топографии жироотложения, а также индивидуальные особенности конституции могут вносить ошибки в оценку выраженности абдоминального жироотложения при использовании ИТБ (рис. 2). Люди астенического телосложения с крайне низким уровнем жироотложения характеризуются очень близкими значениями окружности талии и бедер, что приводит к высоким значениям ИТБ, т.е. ложноположительным результатам диагностики центрального ожирения (на рисунке указаны стрелками). При использовании ИТР наблюдается практически линейная зависимость индекса от абсолютного значения жировой массы.

Рисунок 2. Взаимосвязь ИТБ и ИТР с абсолютным значением жировой массы, определенной методом биоимпедансометрии (интегральная схема, АВС-02 Медасс, «Медасс», РФ) в группе юношей и девушек в возрасте от 18 до 20 лет. Красным, зеленым, голубым и фиолетовым цветом обозначены соответственно недостаточная, нормальная, избыточная масса тела и ожирение. Нутритивный статус диагностирован по значению ИМТ.
Figure 2. The relationship between WHR and WHtR with the absolute value of fat mass determined by bioimpedancemetry (integrated circuit, ABC-02 Medas, Medas, Russia) in a group of boys and girls aged 18 to 20 years. Red, green, blue and purple colors indicate underweight, normal, overweight and obesity, respectively. Nutritional status was diagnosed by BMI value.
Между ИТР и ИМТ сохраняется линейная зависимость, что свидетельствует о развитии абдоминального ожирения у москвичей с высокими значениями ИМТ. Также видно, что для ИМТ половой диморфизм отсутствует (рис. 3).

Рисунок 3. Распределение А — ИТБ; Б — ИТР от ИМТ (BMI) в группе взрослых мужчин и женщин, проживающих в г. Москве. Красным обозначены обследованные с превышением рекомендованных пороговых значений для данных индексов.
Figure 3. Distribution A — WHR; B — WHtR from BMI in a group of adult men and women living in Moscow. Those examined with exceeding the recommended threshold values for these indices are indicated in red.
Как уже было сказано выше, окружность талии, как и основанные на ней индексы, представляют суррогатную оценку абдоминального жироотложения, т.к. они не способны разделить подкожное и висцеральное депо жира в области живота [46]. Было показано, что подкожная жировая ткань в области живота и висцеральный жир различны по своим секреторным профилям, влиянию на патологическое изменение метаболизма и связанным с ними рискам развития коморбидных заболеваний [47]. Дифференциальная оценка подкожного и висцерального жироотложения необходима для изучения влияния этих тканей на патологические изменения метаболизма и рисков, связанных с накоплением жира в одной из этих областей, индивидуальной оценке риска и выбора оптимальной стратегии лечения. Ряд исследований направлен на поиск селективного медикаментозного воздействия на висцеральные запасы жира как наиболее опасного депо в организме человека [48].
Не вызывает сомнения негативное влияние висцерального и эктопического жира на здоровье человека. Известно, что от локализации белой жировой ткани в абдоминальной области изменяются ее свойства [49]. Избыточное подкожное жироотложение в области живота представляется более щадящим по своему воздействию на здоровье. С другой стороны, различные методы диагностики (УЗИ, МРТ, DEXA) позволяют детализировать данную область и выделить наружный (superficial subcutaneous abdominal adipose tissue, SSAT) и глубокий (deep subcutaneous abdominal adipose tissue, DSAT) слои подкожного жира на животе, разделенные поверхностной фасцией (fascia superficialis, фасция Scarpa) (рис. 4). Глубокий слой подкожного жира связан с воспалительными процессами, повышением кровяного давления и рядом других негативных последствий [50], в целом DSAT представляется как переходный тип белой жировой ткани между висцеральным и SSAT [51]. Зафиксирован половой диморфизм в распределении подкожного жира между указанными слоями [51].

Рисунок 4. Изображение поверхностного и глубокого слоев подкожной жировой клетчатки в области талии, полученное в режиме сканирования с применением ультразвукового сканера BodyMetrixTM BX2000. Женщина 35 лет (г. Москва), скрытое ожирение. A — наружный слой подкожной жировой клетчатки; B — глубокий слой подкожной жировой клетчатки; C — прямая мышца живота; D — полость тела. Красная линия между A и B — фасция Скарпа; красная линия между B и C — граница между подкожной жировой клетчаткой и прямой мышцей живота. Белая стрелка указывает направление движения сканера от пупка к тазовому гребню.
Figure 4. Image of the superficial and deep layers of subcutaneous fat in the waist area, obtained in scanning mode using the BodyMetrixTM ultrasound scanner (IntelaMetrix, USA). Woman, 35 years old, hidden obesity. A — outer layer of subcutaneous fat; B — deep layer of subcutaneous fat; C — rectus abdominis muscle; D — body cavity. The red line between A and B is Scarpa’s fascia; the red line between B and C is the border between the subcutaneous fatty tissue and the rectus abdominis muscle. The white arrow indicates the direction of movement of the scanner from the navel to the pelvic crest.
Топография жироотложения является неотъемлемой частью физической конституции и оказывает существенное влияние на последствия, которые вызывает избыточное жироотложение, тем не менее о механизмах, определяющих паттерн распределения белой жировой ткани, известно немного. В одном из недавних исследований были выявлены 250 вариантов генов, ассоциированных с висцеральной, подкожной абдоминальной или глютео-феморальной топографией [52]. Наиболее негативный сценарий связан с развитием висцерального ожирения. Таким образом, прогноз рисков на индивидуальном уровне, связанных с избыточным накоплением белого жира, по всей видимости, должен учитывать абсолютное и относительное количество жировой массы, ее распределение, пол, возраст и этническую принадлежность человека.
ГЕНЕТИЧЕСКИЕ ФАКТОРЫ ОЖИРЕНИЯ
Несомненно, количество жира и его топография во многом генетически детерминированы [53]. Гипотеза о «бережливых» генотипах (thrifty genotype) предполагает, что варианты генов, которые способствовали более эффективному запасанию жира и увеличению ИМТ, подхватывались естественным отбором у предков современного человека и человекообразных обезьян, так как повышали шансы на выживание в периоды недостаточного и питания или полного его отсутствия [54]. Отбором были закреплены разнообразные мутации, направленные на более полное использование простых углеводов, эффективное всасывание и запасание жира, повышение эффективности отдельных этапов энергетического метаболизма [55]. Современные изменения окружающей среды — гиподинамия и гиперкалорийный рацион — изменили действие «бережливых» генотипов на дезадаптивное. Развитие технологий высокопроизводительного секвенирования позволило проводить полногеномные исследования в области ожирения. Были реализованы масштабные проекты, например, Human Obesity Map [56]. В ассоциативных исследованиях были выявлены сотни вариантов генов, связанные с полигенным риском ожирения. Однако по мере накопления этих данных и попытках воспроизвести полученные результаты на независимых выборках стало очевидно, что выявленные маркеры объясняют не более 5% индивидуальной изменчивости ИМТ [57]. Таким образом, за исключением моногенных форм ожирения, которые поражают 1–6% населения, использование данных о многочисленных однонуклеотидных заменах для индивидуального прогноза риска развития ожирения не имеет прогностической ценности.
На рис. 5 представлены распределения %ЖМ, определенного методом биоимпедансометрии, у мужчин (n=230) и женщин (n=234), придерживающихся различных диет, с альтернативными генотипами в гене FTO. Видно, что различия в %ЖМ между подгруппами обусловлены половым диморфизмом и модификацией диеты, а носители альтернативных генотипов не отличаются друг от друга. OR (odds ratio) и RR (risk ratio) для модели AA+AT vs TT составили 1,57 [0,89–2,56] и 1,72 [0,87–3,24], а для модели AA vs TT+AT 1,29 [0,74–2,30] и 1,24 [0,78–2,07] соответственно. 95% ДИ для этих значений накрывает безразличное значение, следовательно, доля ЖМ≥25% не зависит от генотипа FTO.

Рисунок 5. Распределение значений доли жировой массы тела (%ЖМ) в зависимости от значения ИМТ в подгруппах мужчин и женщин, придерживающихся вегетарианской и традиционной (контроль) диеты и имеющих различные генотипы FTO.
Figure 5. Distribution of percent of body fat (PBF) values depending on the BMI value in subgroups of men (M) and women (F) following a vegetarian and traditional diet, and having different FTO genotypes.
Результаты ROC-анализа, проведенного для модели AA+AT vs TT в подгруппах мужчин и женщин, представлены в табл. 2.
Представленные данные свидетельствуют, что носители «рисковой» А-аллели (генотипы FTO*AT и FTO*AA) не имеют значимых морфологических отличий от носителей двух «протективных» Т-аллелей. Также 95% ДИ для AUC накрывают безразличное значение 0,5, что является свидетельством бесполезности данной замены (FTO rs9939609) для диагностики индивидуального риска развития ожирения.
МОЖНО ЛИ ОБРАТИТЬ ВСПЯТЬ ЭПИДЕМИЮ ОЖИРЕНИЯ?
Конечной целью борьбы с любой эпидемией является ее полное прекращение, т.е. возвращение популяции к исходному состоянию, в котором никто или практически никто из индивидуумов не является носителем заболевания. В контексте эпидемии ожирения это значит, что средний ИМТ должен вернуться к предэпидемическому «нормальному» распределению. Медианное значение ИМТ в пределах рекомендованных «здоровых» значений — от 18,5 до 24,9 кг/м² составляет 22 кг/м². Например, для США и России возвращение к доэпидемическому значению означает смещение медианного значения ИМТ с 27,8 и 27,6, соответственно до 22 кг/м² [17]. Даже с учетом того, что 5–10% популяции в норме будут иметь повышенный ИМТ, этот разрыв представляется весьма существенным. Является ли эта цель достижимой? Сложно ответить на этот вопрос без соответствующих экспериментальных данных, однако истории известен квазиэксперимент по популяционному снижению ИМТ в отдельно взятом государстве. Последствия событий особого периода в Кубинской истории позволяют прийти к ряду выводов.
«Кубинский эксперимент»
Куба — государство с населением около 10 млн человек, с централизованной системой здравоохранения и государственным распределением социальных благ и гарантий. С распадом СССР в 1990 г. Куба потеряла возможность получать субсидии Советского Союза, выгодные цены на нефть, что нанесло сокрушительный удар по ее экономике и спровоцировало падение уровня жизни и доходов населения в масштабе целой страны. В результате с 1990 до 1995 гг. сокращение количества продуктов питания затронуло буквально все население Кубы, что привело к существенному снижению поступления калорий с пищей [58]. Одновременно с уменьшением калорийности питания страну постиг топливный кризис в связи с резким сокращением количества доступной нефти, что вынудило широкие слои населения пересесть на велосипеды. Таким образом, уменьшению калорий сопутствовало значительное увеличение уровня физической активности за счет использования велосипедов и передвижения пешком [59]. Неизбежным результатом стал отрицательный энергетический баланс и снижение массы тела населения в стране. Уникальность данной ситуации заключается в том, что в целом здоровая популяция сначала характеризовалась наличием проблемы повышенного ИМТ, а затем была подвергнута мерам по решению данной проблемы. В результате долгосрочного принудительного воздействия «программы по снижению веса» медианное значение популяционного ИМТ сдвинулось влево, а распространенность ожирения снизилась вдвое. Однако по истечении четырех лет медианное значение ИМТ снизилось лишь на 1,5 единицы [59]. Данные результаты представляются крайне интересными в контексте современных вызовов: для населения США и России сдвиг влево означает снижение ИМТ на 5,7 единицы. Более того, после 1995 г., когда экономика Кубы стала восстанавливаться, медианное значение популяционного ИМТ сначала достигло докризисного уровня, а затем перешагнуло его [59]. Вероятнее всего, для ближайших поколений повышенное значение ИМТ будет скорее нормой, нежели исключением. По аналогии с кубинским сценарием, значительные и долгосрочные усилия приведут к незначительному снижению ИМТ на 1,5–2 единицы, что эквивалентно изменению нутритивного статуса с «ожирение» на «избыточная масса тела», т.е. ИМТ большинства индивидуумов в популяции будет в пределах 25–29,9 кг/м². Если принять этот сценарий, то особую актуальность приобретает понимание возможных рисков развития коморбидных заболеваний и оценка нагрузки для системы здравоохранения для указанной категории лиц.
ПЕРСПЕКТИВЫ БОРЬБЫ С ЭПИДЕМИЕЙ ОЖИРЕНИЯ
По оценкам Ward с соавт., к 2030 г. каждый второй взрослый человек будет иметь ожирение, а каждый четвертый — морбидное ожирение [60]. Согласно гипотезе, представленной Silventoinen и Konttinen, ожирение является нейро-поведенческим заболеванием с большим влиянием индивидуального генетического фона, детерминирующего пищевое поведение и чувствительное к факторам окружающей среды [61]. На сегодняшний день 57% населения проживает в городах, по оценкам ООН, к 2050 г. около 70% населения планеты будет жить в городах [62]. Урбанизация приводит к формированию «жирогенной» среды обитания для все большего числа людей, что в перспективе создаст почву для увеличения доли детей, подростков и взрослых с ожирением по всему миру. За исключением генетических, большая часть факторов, провоцирующих ожирение, — контролируемые, т.е. возможно изменить и/или прекратить их действие. Эти факторы и являются мишенями в стратегиях по предотвращению ожирения, т.е. глобальная цель — возвращение среды к «лептогенному» паттерну [63]. ВОЗ призывает правительства всех стран к внедрению механизмов продвижения употребления здоровой пищи, повышения физической активности, внимательного отношения к образу жизни во время беременности и раннего детства, отдельно выделена необходимость контроля на государственном уровне питания детей в школах и увеличения времени физической активности [64]. Одним из ключевых элементов борьбы с ожирением является необходимость принятия глобальных решений, касающихся производства пищи, урбанизации, экономического неравенства на национальном и общемировом уровнях. Тем не менее одним из значимых направлений, которые необходимо задействовать сейчас, является борьба с детским и подростковым ожирением. Перцентильные таблицы и кривые роста, по которым оценивается нутритивный статус человека от 0 до 20 лет, основаны на устаревших данных и нуждаются в пересмотре [65][66]. В детском и подростковом возрасте ожирение опасно само по себе. Избыточная масса тела в течение первых 10 лет жизни увеличивает риск ожирения во взрослом возрасте сильнее, чем наличие одного или обоих родителей с ожирением [67]. Ожирение в подростковом возрасте увеличивает риск инвалидизации и смерти в долгосрочной перспективе. Таким образом, фокусировка на детском и подростковом ожирении может стать одним из стратегических пунктов в борьбе человечества с ожирением. Для взрослых важно разработать и внедрить в повседневную практику новые подходы индивидуальной диагностики без опоры на ИМТ [68]. Говоря об эпидемии ожирения, следует иметь в виду, что она затрагивает все государства мира, однако усилия мирового научного сообщества распределены неравномерно между развитыми и развивающимися странами. Так, в докладе ВОЗ, где были проанализированы более 260 инициатив по предотвращению или снижению бремени ожирения, только 13 были реализованы в развивающихся странах [69].
ЗАКЛЮЧЕНИЕ
Глубокое и всестороннее изучение факторов и их взаимодействий, повышающих риск развития ожирения или защищающих от него, позволят перейти от оценки популяционного риска к алгоритму индивидуальной оценки. Этот алгоритм должен учитывать комплекс эндогенных (половозрастные, этногенетические, топография жироотложения) и экзогенных факторов (региональные, социально-экономические, микро- и макроуровни «жирогенной» среды). Рассмотрение этих аспектов в контексте эволюционной и социальной антропологии позволит прогнозировать возникающие при смене образа жизни популяции риски и разрабатывать стратегии снижения потерь. Полученные данные позволят проверить гипотезы о формировании единого адаптационного паттерна в условиях урбанизованного окружения; о дезадаптивном действии некоторых генетических факторов (в частности, бережливые генотипы) в условиях «жирогенной» среды; о наличии устойчивого комплекса эндогенных и экзогенных факторов, обусловливающих формирование фенотипа, устойчивого к ожирению. Создание прогностических моделей, учитывающих взаимодействие перечисленных предикторов, позволит индивидуализировать профилактические меры, направленные на предотвращение случаев ожирения, а также подбирать персональные траектории терапии и дальнейшего мониторинга для пациентов с ожирением.
Результаты масштабных исследований ожирения, проведенные на территории России [4][6–11][15–17][70], позволяют заключить, что ситуация в нашей стране в целом соответствует глобальным трендам. Поэтому, на наш взгляд, целесообразно оценить наиболее опасные западные тренды в российской популяции. К ним относится взрывной рост людей с морбидным ожирением, развитие абдоминального ожирения при нормальном весе и снижение числа людей, которые прилагают усилия к снижению массы тела. Пристального внимания, на наш взгляд, заслуживают детская и подростковая популяции РФ, диагностика и профилактика скрытого ожирения в когорте женщин 25–45 лет, а также оценка рисков коморбидных заболеваний, связанных с абдоминальным ожирением. Внимания на государственном уровне заслуживает проблема ожирения в популяциях коренных народов РФ.
ДОПОЛНИТЕЛЬНАЯ ИНФОРМАЦИЯ
Источники финансирования. Исследование выполнено при финансовой поддержке гранта РНФ №22-75-10122 «Оценка влияния эндогенных и экзогенных факторов на развитие различных типов ожирения» (для Э.А. Бондаревой) — проведение комплексных антропогенетических обследований взрослых мужчин и женщин (спортсмены, вегетарианцы, неспортсмены), проживающих в г. Москве, анализ полученных данных, анализ данных источников литературы, подготовка и написание текста статьи. Работа проведена в рамках выполнения государственного задания Минздрава России №122012100180-0: «Механизмы дезадаптации двухуровневой системы регуляции аппетита при экзогенно-конституциональном ожирении с множественными осложнениями и способы ее коррекции».
Конфликт интересов. Трошина Е.А. — член редакционной коллегии журнала «Ожирение и метаболизм».
Участие авторов. Бондарева Э.А. — концепция работы, анализ научных источников, написание основного текста статьи, создание иллюстраций; Трошина Е.А. — анализ научных источников, внесение в рукопись существенной правки с целью повышения научной ценности статьи.
Все авторы одобрили финальную версию статьи перед публикацией, выразили согласие нести ответственность за все аспекты работы, подразумевающую надлежащее изучение и решение вопросов, связанных с точностью или добросовестностью любой части работы.
Список литературы
1. ([Электронный ресурс]. 2020. URL: https://www.who.int/ru/news-room/fact-sheets/detail/obesity-and-overweight (дата обращения: 25.08.2020).)
2. Development Initiatives. Global Nutrition Report: Shining a Light to Spur Action on Nutrition. Bristol: Development Initiatives Poverty Research Ltd; 2018. https://globalnutritionreport.org/
3. UNICEF, WHO, The World Bank Group. Joint child malnutrition estimates —levels and trends (2017 edition). [Internet] [cited 2017 Dec 16]. Available from: http://www.who.int/nutgrowthdb/estimates2016/en/
4. World Health Organization. Obesity — preventing and managing the global epidemic. Report of the WHO Consultation of Obesity. Geneva, Switzerland: WHO; 1998
5. Bondareva EA, Parfenteva OI, Troshina EA, et al. Agreement between bioimpedance analysis and ultrasound scanning in body composition assessment. Am J Hum Biol. 2023. doi: https://doi.org/10.1002/ajhb.24001
6. Парфентьева О.И., Праведникова А.Э., Айыжы Е.В., и др. Центральное ожирение у современного молодого городского населения Республики Алтай и Республики Тувы // Вестник археологии, антропологии и этнографии (электронный журнал). — 2023. — №1 (60). — С. 130–138. doi: https://doi.org/10.20874/2071-0437-2023-60-1-11
7. Бондарева Э.А., Парфентьева О.И., Васильева А.А., и др. Согласованность оценок доли жировой массы тела, полученных с применением непрямых (косвенных) методов исследования состава тела // Ожирение и метаболизм. — 2023. — Т. 20. — №1. — С. 13-21. doi: https://doi.org/10.14341/omet12992
8. Бондарева Э.А., Парфентьева О.И. Анализ согласованности показателей состава тела, полученных с использованием методов биоимпедансометрии и ультразвукового сканирования // Экология человека. 2021. — Т. 28. — №10. — С. 57-64. doi: https://doi.org/10.33396/1728-0869-2021-10-57-64
9. Bondareva EA, Popova EV, Ketlerova ES, et al. Physical activity Attenuates the effect of the FTO T/A polymorphism on obesity-related phenotypes in adult Russian males. Human. Sport. Medicine. 2019;19(3):119-124. doi: https://doi.org/10.14529/hsm190315
10. Бондарева Э.А., Задорожная Л.В., Хомякова И.А. А-аллель гена FTO ассоциирован с повышенным накоплением жира у вегетарианцев // Экология человека. 2019. — Т. 26. — №8. С. 25-31. doi: https://doi.org/10.33396/1728-0862-8-25-31
11. Бондарева Э.А., Задорожная Л.В., Хомякова И.А. Т/А-полиморфизм гена FTO и образ жизни ассоциированы с накоплением жира в разных возрастных группах мужчин. Ожирение и метаболизм. 2019. — Т. 16. — №2. — С. 49-53. doi: https://doi.org/10.14341/omet9798
12. Fogel RW, Grotte N. Major findings from the changing body: health, nutrition, and human development in the Western world since 1700. J Econ Asymmetries. 2011;8(2):1–9. doi: https://doi.org/10.1016/j.jeca.2011.02.002
13. Boyd-Orr J. The food problem. Scientific American. 1950;183:5:11-15
14. https://rosstat.gov.ru/storage/mediabank/zdrav17.pdf
15. Баланова Ю.А., Шальнова С.А., Деев А.Д. и др. от имени участников исследования ЭССЕ-РФ. Ожирение в Российской популяции — распространенность и ассоциации с факторами риска хронических неинфекционных заболеваний // Российский кардиологический журнал. — 2018. —№23(6). — С. 123–130 doi: https://doi.org/10.15829/1560-4071-2018-6-123-130
16. Dedov II, Shestakova MV, Galstyan GR. The prevalence of type 2 diabetes mellitus in the adult population of Russia (NATION study). Diabetes mellitus. 2016;19(2):104-112. (In Russ.) doi: https://doi.org/10.14341/DM2004116-17
17. Алферова В.И., С.В. Мустафина С.В. Распространенность ожирения во взрослой популяции Российской Федерации (Обзор литературы) // Ожирение и метаболизм. — 2022. — Т. 19. — №1. — С. 96-105 doi: https://doi.org/10.14341/omet12809
18. https://docs.edu.gov.ru/document/5cecda37dfe9eec4ea4a82b6b291f8d3/download/5873/
19. Муканеева Д.К., Концевая А.В., Анциферова А.А., и др. Ассоциация ограничительных мер, обусловленных пандемией COVID-19, c изменением физической активности взрослого населения России // Кардиоваскулярная терапия и профилактика. — 2021. — Т. 20. — №7. — С. 2938. doi: https://doi.org/10.15829/1728-8800-2021-2938
20. Mujahid MS, Maddali SR, Gao X, et al. The Impact of Neighborhoods on Diabetes Risk and Outcomes: Centering Health Equity. Diabetes Care. 2023;46(9):1609-1618. doi: https://doi.org/10.2337/dci23-0003
21. UN Habitat. Available from: https://unhabitat.org/habitat-iii/
22. Algur Y, Rummo PE, McAlexander TP, et al. Assessing the association between food environment and dietary inflammation by community type: a cross-sectional REGARDS study. Int J Health Geogr. 2023;22(1):24. doi: https://doi.org/10.1186/s12942-023-00345-4
23. Shi J, Liang Z, Zhang X, et al. Association of physical activity and dietary inflammatory index with overweight/obesity in US adults: NHANES 2007-2018. Environ Health Prev Med. 2023;28:40. doi: https://doi.org/10.1265/ehpm
24. Hebebrand J, Holm JC, Woodward E, et al. A proposal of the European Association for the Study of Obesity to improve the ICD-11 diagnostic criteria for obesity based on the three dimensions etiology, degree of adiposity and health risk. Obes Facts. 2017;10(4):284–307. doi: https://doi.org/10.1159/000479208
25. Wallace S, Scarcella M, Sealy L, et al. Aboriginal and Torres Strait Islander children with obesity: A review of programmes for children and young people aged 5-17 years. Journal of paediatrics and child health. 2022;58(12):2150–2155. doi: https://doi.org/10.1111/jpc.16267
26. Kozlov AI, Vershubskaya GG. Overweight and obesity among rural schoolchildren of the Russian Arctic and North in 1994–2019. Human Ecology. 2022;29(5):357-366. doi: https://doi.org/10.17816/humeco105293
27. Dedov II, Shestakova MV, Vikulova OK, et al. Diabetes mellitus in the Russian Federation: dynamics of epidemiological indicators according to the Federal Register of Diabetes Mellitus for the period 2010–2022. Diabetes mellitus. 2023;26(2):104-123. doi: https://doi.org/10.14341/DM13035
28. Sorjonen K, Nilsonne G, Falkstedt D, et al. A comparison of models with weight, height, and BMI as predictors of mortality. Obes Sci Pract. 2020;7(2):168-175. doi: https://doi.org/10.1002/osp4.473
29. Wiebe N, Lloyd A, Crumley ET, Tonelli M. Associations between body mass index and all-cause mortality: A systematic review and meta-analysis. Obes Rev. 2023;24(10):e13588. doi: https://doi.org/10.1111/obr.13588
30. NIH-NHLBI. Available from: https://www.nhlbi.nih.gov/health/educational/lose_wt/risk.htm.
31. Poulimeneas D, Anastasiou CA, Kokkinos A, et al. Motives for weight loss and weight loss maintenance: results from the MedWeight study. J Hum Nutr Diet. 2021;34(3):504-510. doi: https://doi.org/10.1111/jhn.12856
32. Suren Garg S, Kushwaha K, Dubey R, Gupta J. Association between obesity, inflammation and insulin resistance: Insights into signaling pathways and therapeutic interventions. Diabetes Res Clin Pract. 2023;200:110691. doi: https://doi.org/10.1016/j.diabres.2023.110691
33. Liao C, Gao W, Cao W, Lv J, Yu C, et al. Associations of Metabolic/Obesity Phenotypes with Insulin Resistance and C-Reactive Protein: Results from the CNTR Study. Diabetes Metab Syndr Obes. 2021;14:1141-1151. doi: https://doi.org/10.2147/DMSO.S298499
34. Bouchard C. Genetics of Obesity: What We Have Learned Over Decades of Research. Obesity (Silver Spring). 2021;29(5):802-820. doi: https://doi.org/10.1002/oby.23116
35. Keaver L, Xu B, Jaccard A, Webber L. Morbid obesity in the UK: A modelling projection study to 2035. Scand J Public Health. 2020;48(4):422-427. doi: https://doi.org/10.1177/1403494818794814
36. www.wpro.who.int/mediacentre/factsheets/obesity/en/
37. Oliveros E, Somers VK, Sochor O, Goel K, Lopez-Jimenez F. The concept of normal weight obesity. Prog Cardiovasc Dis. 2014;56(4):426-33. doi: https://doi.org/10.1016/j.pcad.2013
38. De Lorenzo A, Del Gobbo V, Premrov MG, et al. Normal-weight obese syndrome: early inflammation? Am J Clin Nutr. 2007 Jan;85(1):40-45. doi: https://doi.org/10.1093/ajcn/85.1.40
39. Liu X, Zhao Y, Li Q, Dang S, Yan H. Equation-derived body fat percentage indicates metabolic abnormalities among normal-weight adults in a rural Chinese population. Am J Hum Biol Off J Hum Biol Counc. 2017;29(4):e22964. doi: https://doi.org/10.1002/ajhb.22964
40. Alvarez JA, Ziegler TR, Millson EC, Stecenko AA. Body composition and lung function in cystic fibrosis and their association with adiposity and normal-weight obesity. Nutr Burbank Los Angel Cty Calif. 2016;32(4):447-452. doi: https://doi.org/10.1016/j.nut.2015.10.012
41. Mohammadian Khonsari N, Khashayar P, Shahrestanaki E, et al. Normal Weight Obesity and Cardiometabolic Risk Factors: A Systematic Review and Meta-Analysis. Front Endocrinol (Lausanne). 2022;13:857930. doi: https://doi.org/10.3389/fendo.2022.857930
42. Arnett DK, Blumenthal RS, Albert MA, et al. 2019 ACC/AHA Guideline on the Primary Prevention of Cardiovascular Disease: A Report of the American College of Cardiology/American Heart Association Task Force on Clinical Practice Guidelines. Circulation. 2019;140(11). doi: https://doi.org/10.1161/CIR.0000000000000678
43. Zhang X, Sun Y, Li Y, et al. Association between visceral adiposity index and heart failure: A cross-sectional study. Clin Cardiol. 2023;46(3):310-319. doi: https://doi.org/10.1002/clc.23976
44. Ross R, Neeland IJ, Yamashita S, et al. Waist circumference as a vital sign in clinical practice: a consensus statement from the IAS and ICCR Working Group on Visceral Obesity. Nat Rev Endocrinol. 2020;16:177–189. doi: https://doi.org/10.1038/s41574-019-0310-7
45. Moltrer M, Pala L, Cosentino C, et al. Body mass index (BMI), waist circumference (WC), waist-to-height ratio (WHtR) e waist body mass index (wBMI): Which is better? Endocrine. 2022;76(3):578-583. doi: https://doi.org/10.1007/s12020-022-03030-x
46. Fang H, Berg E, Cheng X, Shen W. How to best assess abdominal obesity. Curr Opin Clin Nutr Metab Care. 2018;21(5):360-365. doi: https://doi.org/10.1097/MCO.0000000000000485
47. Koenen M, Hill MA, Cohen P, Sowers JR. Obesity, Adipose Tissue and Vascular Dysfunction. Circ Res. 2021;2;128(7):951-968. doi: https://doi.org/10.1161/CIRCRESAHA.121.318093
48. Neeland IJ, Marso SP, Ayers CR, et al. Effects of liraglutide on visceral and ectopic fat in adults with overweight and obesity at high cardiovascular risk: a randomised, double-blind, placebo-controlled, clinical trial. Lancet Diabetes Endocrinol. 2021;9(9):595-605. doi: https://doi.org/10.1016/S2213-8587(21)00179-0
49. Trinh L, Stenkula KG, Olsson LE, et al. Favorable fatty acid composition in adipose tissue in healthy Iraqi- compared to Swedish-born men - a pilot study using MRI assessment. Adipocyte. 2022;11(1):153-163. doi: https://doi.org/10.1080/21623945.2022.2042963
50. Brand T, van den Munckhof ICL, van der Graaf M, et al. Superficial vs Deep Subcutaneous Adipose Tissue: Sex-Specific Associations With Hepatic Steatosis and Metabolic Traits. J Clin Endocrinol Metab. 2021;27.106(10):e3881-e3889. doi: https://doi.org/10.1210/clinem/dgab426
51. Jung C-H, Rhee E-J, Kwon H, Chang Y, Ryu S, Lee W-Y. Visceral-to-Subcutaneous Abdominal Fat Ratio Is Associated with Nonalcoholic Fatty Liver Disease and Liver Fibrosis. Endocrinol Metab. 2020;35(1):165. doi: https://doi.org/10.3803/EnM.2020.35.1.165
52. Agrawal S, Wang M, Klarqvist MDR, et al. Inherited basis of visceral, abdominal subcutaneous and gluteofemoral fat depots. Nat Commun. 2022;30;13(1):3771. doi: https://doi.org/10.1038/s41467-022-30931-2
53. Voruganti VS. Precision Nutrition: Recent Advances in Obesity. Physiology. 2023;38(1):42-50. doi: https://doi.org/10.1152/physiol.00014.2022
54. Neel JV. The «thrifty genotype» in 1998. Nutrition reviews. 1999;57(5Pt2):S2–S9. doi: https://doi.org/10.1111/j.1753-4887.1999.tb01782.x
55. Garduño-Espinosa J, Ávila-Montiel D, Quezada-García AG, et al. Obesity and thrifty genotype. Biological and social determinism versus free will. Bol Med Hosp Infant Mex. 2019;76(3):106-112. doi: https://doi.org/10.24875/BMHIM.19000159
56. Rankinen T, Zuberi A, Chagnon YC, et al. The human obesity gene map: the 2005 update. Obesity (Silver Spring). 2006;14(4):529-644. doi: https://doi.org/10.1038/oby.2006.71
57. Tirthani E, Said M.S, Rehman A. Genetics and Obesity. In StatPearls. 2023
58. Hedges TR 3rd, Hirano M, Tucker K, Caballero B. Epidemic optic and peripheral neuropathy in Cuba: a unique geopolitical public health problem. Surv Ophthalmol. 1997;41(4):341–53. doi: https://doi.org/10.1016/s0039-6257(96)00008-2
59. Armas Rojas NB, Lacey B, Soni M, et al. Body-mass index, blood pressure, diabetes and cardiovascular mortality in Cuba: prospective study of 146,556 participants. BMC Public Health. 2021;21(1):963. doi: https://doi.org/10.1186/s12889-021-10911-9
60. Ward ZJ, Bleich SN, Cradock AL, et al. Projected U.S. State-Level Prevalence of Adult Obesity and Severe Obesity. N Engl J Med. 2019;381(25):2440-2450. doi: https://doi.org/10.1056/NEJMsa1909301
61. Silventoinen K, Konttinen H. Obesity and eating behavior from the perspective of twin and genetic research. Neurosci Biobehav Rev. 2020;109:150-165. doi: https://doi.org/10.1016/j.neubiorev.2019.12.012
62. https://www.un.org/development/desa/pd/content/urbanization-0
63. de Albuquerque FM, Pessoa MC, Filgueiras MS, et al. Neighborhood obesogenic environment and cardiometabolic risk in Brazilian children: The mediation role of the mother’s body mass index. Am J Hum Biol. 2022;17:e23835. doi: https://doi.org/10.1002/ajhb.23835
64. World Health Organization. Ending Childhood Obesity. World Health Organization. 2016
65. World Health Organization. WHO Child Growth Standards. Geneva (Switzerland): World Health Organization; 2006
66. Centers for Disease Control. CDC Growth Charts for the United States. 2000. [cited 2018 Jul 29]. Available from: https://www.cdc.gov/growthcharts/cdc_charts.htm
67. Thomas-Eapen N. Childhood Obesity. Primary care. 2021;48(3):505–515. doi: https://doi.org/10.1016/j.pop.2021.04.002
68. Caballero B. Humans against Obesity: Who Will Win? Adv Nutr. 2019;1.10(suppl_1):S4-S9. doi: https://doi.org/10.1093/advances/nmy055
69. World Health Organization. Interventions on diet and physical activity: what works. Geneva:WHO. 2009:42
70. Баланова Ю.А., Драпкина О.М., Куценко В.А., и др. Ожирение в российской популяции в период пандемии COVID-19 и факторы, с ним ассоциированные. Данные исследования ЭССЕ-РФ3 // Кардиоваскулярная терапия и профилактика. — 2023. — Т. 22(8S). — С. 3793. doi: https://doi.org/10.15829/1728-8800-2023-3793
Об авторах
Э. А. БондареваРоссия
Бондарева Эльвира Александровна, к.б.н.
119435, г. Москва, ул. Малая Пироговская д. 1а
Е. А. Трошина
Россия
Трошина Екатерина Анатольевна, д.м.н., профессор
г. Москва
Дополнительные файлы
|
|
1. Рисунок 1. Распространенность нутритивных статусов в группе из 202 женщин 18–67 лет, проживающих в г. Москве. А — нутритивный статус диагностирован по значению ИМТ. Красный — недостаток массы тела, зеленый — нормальная масса тела, фиолетовый — избыточная масса тела, голубой — ожирение. Б — ожирение диагностировано по доле жировой массы тела, определенной в ходе биоимпедансометрии. Красный — нет ожирения %ЖМ<30, голубой — ожирение %ЖМ≥30. | |
| Тема | ||
| Тип | Исследовательские инструменты | |
Посмотреть
(469KB)
|
Метаданные ▾ | |
|
|
2. Рисунок 2. Взаимосвязь ИТБ и ИТР с абсолютным значением жировой массы, определенной методом биоимпедансометрии (интегральная схема, АВС-02 Медасс, «Медасс», РФ) в группе юношей и девушек в возрасте от 18 до 20 лет. Красным, зеленым, голубым и фиолетовым цветом обозначены соответственно недостаточная, нормальная, избыточная масса тела и ожирение. Нутритивный статус диагностирован по значению ИМТ. | |
| Тема | ||
| Тип | Исследовательские инструменты | |
Посмотреть
(254KB)
|
Метаданные ▾ | |
|
|
3. Рисунок 3. Распределение А — ИТБ; Б — ИТР от ИМТ (BMI) в группе взрослых мужчин и женщин, проживающих в г. Москве. Красным обозначены обследованные с превышением рекомендованных пороговых значений для данных индексов. | |
| Тема | ||
| Тип | Исследовательские инструменты | |
Посмотреть
(172KB)
|
Метаданные ▾ | |
|
|
4. Рисунок 4. Изображение поверхностного и глубокого слоев подкожной жировой клетчатки в области талии, полученное в режиме сканирования с применением ультразвукового сканера BodyMetrixTM BX2000. Женщина 35 лет (г. Москва), скрытое ожирение. A — наружный слой подкожной жировой клетчатки; B — глубокий слой подкожной жировой клетчатки; C — прямая мышца живота; D — полость тела. Красная линия между A и B — фасция Скарпа; красная линия между B и C — граница между подкожной жировой клетчаткой и прямой мышцей живота. Белая стрелка указывает направление движения сканера от пупка к тазовому гребню. | |
| Тема | ||
| Тип | Исследовательские инструменты | |
Посмотреть
(502KB)
|
Метаданные ▾ | |
|
|
5. Рисунок 5. Распределение значений доли жировой массы тела (%ЖМ) в зависимости от значения ИМТ в подгруппах мужчин и женщин, придерживающихся вегетарианской и традиционной (контроль) диеты и имеющих различные генотипы FTO. | |
| Тема | ||
| Тип | Исследовательские инструменты | |
Посмотреть
(253KB)
|
Метаданные ▾ | |
Рецензия
Для цитирования:
Бондарева Э.А., Трошина Е.А. Ожирение. Причины, типы и перспективы. Ожирение и метаболизм. 2024;21(2):174-187. https://doi.org/10.14341/omet13055
For citation:
Bondareva E.A., Troshina E.A. Obesity. Reasons, features and prospects. Obesity and metabolism. 2024;21(2):174-187. (In Russ.) https://doi.org/10.14341/omet13055
Контент доступен под лицензией Creative Commons Attribution-NonCommercial-NoDerivatives 4.0 International License (CC BY-NC-ND 4.0).




































