Перейти к:
Диагностические возможности исследования кортизола слюны в ходе малой пробы с дексаметазоном
Аннотация
Обоснование. Комбинация исследований крови на кортизол в ходе малой пробы с дексаметазоном (МДП) и кортизола слюны в 23:00 широко используется для диагностики эндогенного гиперкортицизма (ЭГ). Исследование слюны на кортизол в ходе МДП в комбинации с исследованием свободного кортизола в слюне в 23:00 позволит сделать диагностику ЭГ полностью неинвазивной.
Цель. Оценить диагностическую значимость исследования кортизола слюны в ходе МДП, используя метод электрохемилюминесцентного анализа (ЭХЛА).
Материалы и методы. Было проведено когортное диагностическое исследование с участием 164 человек (132 женщины, 32 мужчины) от 18 до 77 лет; 110 из включенных лиц имели избыточную массу тела, как наиболее частый признак ЭГ, 54 человека включались как здоровые добровольцы. Всем включенным лицам была проведена комбинация лабораторных методов: анализ слюны в 23:00 на кортизол, после которого пациент сразу принимал 1 мг дексаметазона и сдавал анализ слюны и крови на кортизол в 08:00–09:00 следующего дня (МДП). Исследования крови и слюны были проведены на автоматическом анализаторе Cobas е 601 фирмы F. Hoffmann-La Roche Ltd, используя метод ЭХЛА. Окончательный диагноз был подтвержден после гистологического исследования послеоперационного материала или по результатам дальнейшего наблюдения у пациентов с ожирением, у которых ЭГ был исключен.
Результаты. У 54 пациентов был подтвержден диагноз ЭГ, у 56 больных установлено ожирение (ИМТ более 30 кг/м2). Референсный интервал кортизола в слюне утром после МДП, рассчитанный по данным 54 добровольцев, составил 0,5–12,7 нмоль/л. Максимальный зарегистрированный уровень кортизола слюны в рамках МДП у здоровых добровольцев – 29,6 ммоль/л. При сравнении площадей под кривой операционных характеристик (AUC) были получены следующие результаты: для кортизола слюны в ходе МДП – 0,838 (95% ДИ 0,772–0,905), для кортизола в крови в ходе МДП – 0,965 (95% ДИ 0,939–0,992) и кортизола слюны, собранной в 23:00, – 0,925 (95% ДИ 0,882–0,969). Были проанализированы оптимальные точки разделения (cut-off) для кортизола в слюне в ходе МДП. Исходя из наибольшей суммы чувствительности и специфичности для разных когорт: для когорты «ожирение+ЭГ» значение кортизола в слюне в ходе МДП составило 12,1 нмоль/л (чувствительность 60%, специфичность 92,9%), для когорты «Контроль+ЭГ» значение составило 12,6 нмоль/л (чувствительность 58,2%, специфичность 96,2%), для всех когорт точка разделения составила 12,2 нмоль/л (чувствительность 60,7%, специфичность 93,4%). Учитывая незначительную вариабельность значений точки разделения для разных когорт пациентов, для удобства было выбрано значение 12,0 нмоль/л. Также были определены границы «серой зоны», которые, по данным расчетов, составили 5,2–12,0 ммоль/л.
Заключение. Несмотря на то что исследование слюны на кортизол в ходе МДП несколько уступает исследованию крови в ходе МДП по диагностическим возможностям, данный метод может быть использован в скрининге ЭГ как малоинвазивный высокоспецифичный метод.
Ключевые слова
Для цитирования:
Белая Ж.Е., Малыгина А.А., Гребенникова Т.А., Ильин А.В., Рожинская Л.Я., Фадеев В.В., Мельниченко Г.А., Дедов И.И. Диагностические возможности исследования кортизола слюны в ходе малой пробы с дексаметазоном. Ожирение и метаболизм. 2020;17(1):13-21.
For citation:
Belaya Zh.E., Malygina A.A., Grebennikova T.A., Il'yin A.V., Rozhinskaya L.Ya., Fadeev V.V., Melnichenko G.A., Dedov I.I. Diagnostic value of salivary cortisol in 1-mg dexamethasone suppression test. Obesity and metabolism. 2020;17(1):13-21. (In Russ.)
ОБОСНОВАНИЕ
Эндогенный гиперкортицизм (ЭГ) – тяжелая эндокринная патология, причиной которой является гиперпродукция кортизола вследствие адренокортикотропин- (АКТГ), кортиколиберин- (КРГ) или кортизолсекретирующей опухоли различной локализации [1]. В большинстве случаев причиной ЭГ является АКТГ-секретирующая аденома гипофиза (80–85%) – болезнь Иценко–Кушинга, далее по распространенности следует кортикостерома надпочечников (10–20%) и АКТГ-эктопированный синдром (5–10%) [2]. ЭГ характеризуется комплексным влиянием на органы и системы, что приводит к быстрому развитию целого ряда осложнений, таких как сахарный диабет, остеопороз, нарушения системы гемостаза, артериальная гипертензия, нарушение репродуктивной функции и нарушение психического спектра вплоть до стероидного психоза [3]. Среди наиболее характерных изменений внешности можно отметить: перераспределение подкожножировой клетчатки с преимущественным ее отложением в области передней брюшной стенки, в зоне шейного отдела позвоночника (так называемый, «климактерический» горбик), лунообразное лицо, на коже можно обнаружить множественные петехии и экхимозы, на щеках – матронизм, до 50% пациентов могут иметь полосы растяжения на коже – стрии, обусловленные быстрой прибавкой массы тела на фоне истонченной кожи [4]. Тем не менее лица с ожирением, метаболическим синдромом нередко имеют сходные клинические проявления [5], а развитие ЭГ в сочетании с уже имеющимся ожирением или ЭГ, развившийся в старшей возрастной группе, может не сопровождаться значительными изменениями внешности [6]. Пятилетняя выживаемость при недиагностированном ЭГ составляет 50%, что подчеркивает важность точной своевременной диагностики [7]. В арсенале клинициста имеется три наиболее информативных теста, позволяющих зарегистрировать характерные для ЭГ биохимические изменения секреции кортизола: 1) нарушение циркадного ритма кортизола (анализ слюны на кортизол, собранной в 23:00); 2) избыточная суточная экскреция свободного кортизола (анализ суточной мочи на кортизол); 3) нарушение функции отрицательной обратной связи (малая проба с 1 мг дексаметазона) [8]. Согласно последним рекомендациям, результаты индивидуально подобранной комбинации из двух вышеуказанных тестов позволяют с высокой долей вероятности судить о наличии ЭГ [8]. Анализ суточной мочи на кортизол уже давно зарекомендовал себя в качестве чувствительного и неинвазивного метода диагностики ЭГ (чувствительность и специфичность 80%), тем не менее существуют специальные указания по сбору материала, несоблюдение которых (например, потеря 50–100 мл мочи) может привести к ошибочному результату. Также стоит отметить неудобство сбора материала для пациента [9]. Анализ слюны на кортизол вошел в клинические рекомендации сравнительно недавно и стал широко распространен благодаря простоте сбора материала, который может быть осуществлен в домашних условиях и не требует госпитализации пациента, высокой чувствительности метода 83–100% при специфичности 84–97% и возможности удаленной диагностики (отправление материала по почте, в связи со стабильностью материала при комнатной температуре в течение 7 дней) [10]. К тому же забор материала не сопряжен со стрессом за счет полной неинвазивности метода, а результат не зависит от уровня кортизол-связывающего глобулина и общего объема собранной слюны [11]. Ранее для определения кортизола в слюне, собранной в 23:00, был разработан референсный интервал – 0,5–9,4 ммоль/л [12]. Малая проба с дексаметазоном (МДП) является тестом первой линии диагностики ЭГ. Для оценки степени подавления кортизола в 23:00 пациент принимает 1 мг дексаметазона, на следующее утро в интервале 08:00–09:00 утра натощак сдает анализ крови на кортизол. Полученный уровень кортизола в крови менее 50 нмоль/л свидетельствует в пользу отсутствия ЭГ, в то время как более высокие значения кортизола в ходе МДП, напротив, расцениваются как наличие заболевания [13]. До настоящего времени не существует разработанной точки разделения для проведения МДП по слюне. Разработка подобной точки позволила бы сделать первый этап диагностики ЭГ полностью неинвазивным. Следует также учитывать, что существует вариабельность референсного интервала для различных методов определения кортизола как в крови, так и в слюне, особенно для масс-спектрометрии и иммуноферментного (ИФА) или электрохемилюминесцентного анализа (ЭХЛА), поэтому и точка разделения на фоне МДП, очевидно, должна различаться.
ЦЕЛЬ
Оценить диагностические возможности исследования кортизола слюны в ходе МДП, используя метод ЭХЛА.
МЕТОДЫ
Дизайн исследования
Диагностическое, проспективное, одновыборочное (single-gate) исследование.
Критерии соответствия
Критерии включения: пациенты, обратившиеся для амбулаторного или стационарного обследования в НМИЦ эндокринологии с направительным диагнозом ЭГ, а также пациенты с избыточной массой тела, у которых диагноз ЭГ исключался по решению врачей НМИЦ эндокринологии на основании комплекса лабораторных исследований. Здоровые добровольцы были осмотрены врачами НМИЦ эндокринологии и не имели клинических признаков ЭГ.
Критерии исключения: недостаточное количество достоверной информации, сомнительный диагноз ЭГ, состояние после двусторонней адреналэктомии, беременность, работа в ночное время, прием глюкокортикоидов, острые инфекционные заболевания, обострение хронических заболеваний, тяжелые соматические заболевания (почечная и печеночная недостаточность, терминальные состояния, острые периоды инсульта и инфаркта, ранее диагностированные злокачественные новообразования), тяжелые психические расстройства, злоупотребление алкоголем (установленный диагноз «хронический алкоголизм» или употребление крепких алкогольных напитков ежедневно), прием препаратов, влияющих на метаболизм кортизола, а также кровоточивость десен и курение.
Условия проведения
Исследование проводилось на базе ФГБУ НМИЦ эндокринологии МЗ РФ. В исследование включались как амбулаторные, так и стационарные пациенты, у которых проводилась диагностика ЭГ. Каких-либо специфических факторов (социальных, экономических, культурных), способных повлиять на внешнюю обобщаемость выводов исследования не наблюдалось.
Продолжительность исследования
Набор пациентов осуществлялся с 2017 г. по 2018 г., период участия пациентов и группы контроля ограничивался однократным амбулаторным посещением с последующим проведением необходимых лабораторных исследований. Далее пациенты с ЭГ и ожирением наблюдались у своих лечащих врачей, а результаты их дальнейшей диагностики и лечения отслеживались врачами-исследователями. В среднем период наблюдения в группе пациентов с ЭГ составил 6 мес.
Описание медицинского вмешательства
Всем пациентам был проведен анализ слюны на кортизол, собранной в 23:00, с последующим приемом 1 мг дексаметазона и анализом крови и слюны на кортизол в 08:00–09:00 следующего дня. Также всем пациентам проводились антропометрические исследования: измерение роста, веса, расчет ИМТ.
Основной исход исследования
Определяли точки разделения значений концентрации кортизола в слюне в ходе МДП, оценивали его диагностические возможности (расчет чувствительности, специфичности) в отношении эндогенного гиперкортицизма обособленно, а также в комбинации с определением концентрации кортизола в слюне в 23:00.
Анализ в подгруппах
Участники исследования были разделены на три когорты: пациенты с алиментарно-конституциональным ожирением, с ЭГ и группа контроля. В когорту исследуемых с алиментарно-конституциональным ожирением включали пациентов, у которых в ходе исследования были исключены иные причины ожирения, в группу ЭГ были включены пациенты с верифицированным ЭГ, в группу контроля включали здоровых добровольцев, сотрудников центра, проходивших регулярную диспансеризацию и не имеющих тяжелых хронических заболеваний и ожирения. Чувствительность и специфичность рассчитывались отдельно в комбинированных когортах: «ожирение + ЭГ», «контроль + ЭГ», «ожирение + контроль + ЭГ».
Методы регистрации исходов
Всем включенным лицам была проведена комбинация лабораторных методов: анализ слюны в 23:00 на кортизол, после которого пациент сразу принимал 1 мг дексаметазона и сдавал анализ слюны и крови на кортизол в 08:00–09:00 следующего дня (МДП). Исследования крови и слюны были проведены на автоматическом анализаторе Cobas е 601 фирмы F. Hoffmann-LaRocheLtd, (каталожный № 11875116 122), используя метод ЭХЛА. Окончательный диагноз был подтвержден после гистологического исследования послеоперационного материала или по результатам дальнейшего наблюдения у пациентов с ожирением, у которых ЭГ был исключен. Всем пациентам проводились измерения роста, веса, подсчет ИМТ. ИМТ более 30 кг/см2 расценивался как ожирение.
Этическая экспертиза
Проведение исследования было одобрено комитетом по этике ФГБУ «Эндокринологический научный центр» МЗ РФ (протокол №1 от 25.01.2017 г.) (протокол №1 от 25.01.2017 г.) в рамках темы «Постгеномные технологии и неинвазивные методы в диагностике эндогенного гиперкортицизма и его АКТГ-зависимых форм».
Статистический анализ
Принципы расчета размера выборки. Размер выборки предварительно не рассчитывался ввиду редкости заболевания, оценивался эмпирически исходя из ранее проведенных исследований по оценке диагностических возможностей тестов у пациентов с ЭГ.
Методы статистического анализа данных. Основные количественные характеристики пациентов представлены в виде медианы и интерквартильного размаха. Для представления качественных параметров использовались проценты и двухсторонний 95% доверительный интервал (95% ДИ). Для сравнения независимых количественных показателей использовался U-критерий Манна–Уитни.
Референсный интервал (свободный кортизол в слюне утром после МДП) рассчитан и представлен в виде 5–95 процентиля в качестве нижнего и верхнего пределов. Поиск точки разделения и расчет чувствительности и специфичности проводился на основании построения кривой операционных характеристик (ROC-анализ). В качестве оптимальной точки разделения использовался такой уровень показателя, которому соответствовала максимальная сумма чувствительности и специфичности метода, полученные в ходе ROC-анализа. Площади под кривыми операционных характеристик (AUC) были измерены для демонстрации возможностей диагностических тестов верно оценивать истинно положительные и истинно отрицательные результаты. Для сравнения качества диагностических тестов сравнивались площади под кривыми операционных характеристик. Статистически достоверным считался p<0,05. Все p рассчитывались как двухсторонние. Для анализа данных использовались статистические пакеты SPSS 23.0.
РЕЗУЛЬТАТЫ
Объекты (участники) исследования
В исследование были включены 164 человека (132 женщины и 32 мужчины), из них 54 с верифицированным диагнозом ЭГ, 56 с ожирением (ИМТ более 30 кг/м2) и 54 – здоровые добровольцы. Возрастная категория от 18 лет до 77 лет (средний возраст 38,83 года, возрастная медиана составила 34 года). Когорта здоровых добровольцев включала в себя 54 человека: 43 женщины (77,2%) и 11 мужчин (22,8%), возрастная медиана 25,00; медиана ИМТ 21,41 кг/м2. Характеристика пациентов с ЭГ и алиментарно-конституциональным ожирением сведена в таблице 1.
Таблица 1. Характеристика пациентов, включенных в исследование
|
Эндогенный гиперкортицизм, медиана (интерквартильный размах) |
Алиментарно-конституциональное ожирение, медиана (интерквартильный размах) |
P |
|
|
Количество человек |
54 |
56 |
|
|
Пол Ж:М, % |
44 (81,5%): 10 (18,5%) |
46 (82,1%): 10 (17,9%) |
0,929 |
|
Возраст, лет |
40,0 (26,5–53,0) |
45 (34–58) |
0,032 |
|
ИМТ, кг/м2 |
31,63 (27,40–35,40) |
37,2 (32,8–40,0) |
<0,01 |
Примечания. Ж – женщины; М – мужчины. Данные представлены в виде медианы и интерквартильного размаха. Для сравнения независимых количественных показателей использовался U-критерий Манна–Уитни. Различия между группа считались статистически значимыми при p<0,05.
Основные результаты исследования
Референсный интервал кортизола в слюне в ходе МДП, рассчитанный по данным 54 добровольцев, составил 0,5–12,7 нмоль/л (5–95 процентили). Минимальный уровень свободного кортизола в слюне, который удалось определить методом ЭХЛА, – 0,5 нмоль/л (лабораторная чувствительность метода). Максимальный уровень кортизола слюны в рамках МДП у здоровых добровольцев – 29,6 ммоль/л. Максимальный уровень вечернего кортизола в слюне у здоровых добровольцев – 20,4 нмоль/л.
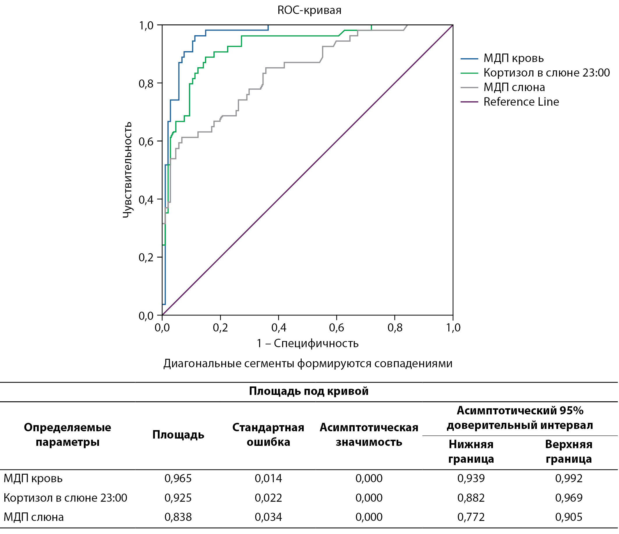
При оценке площадей под кривой операционных характеристик (AUC) с целью выявления ЭГ органической природы были получены следующие результаты: для кортизола слюны в ходе МДП – 0,838 (95% ДИ 0,772–0,905), для кортизола в крови в ходе МДП – 0,965 (95% ДИ 0,939–0,992) и кортизола слюны, собранной в 23:00, – 0,925 (95% ДИ 0,882–0,969). Были проанализированы оптимальные точки разделения (cut-off) для кортизола в слюне в ходе МДП. Исходя из наибольшей суммы чувствительности и специфичности для разных когорт: для когорты «ожирение+ЭГ» значение кортизола в слюне в ходе МДП составило 12,1 нмоль/л (чувствительность 60%, специфичность 92,9%), для когорты «Контроль+ЭГ» значение составило 12,6 нмоль/л (чувствительность 58,2%, специфичность 96,2%), для всех когорт точка разделения составила 12,2 нмоль/л (чувствительность 60,7%, специфичность 93,4%). Учитывая незначительную вариабельность значений точки разделения для разных когорт пациентов, для удобства было выбрано значение 12,0 нмоль/л. На рисунке 1 представлены кривые операционных характеристик для трех методов диагностики. Диагностические возможности анализа слюны на кортизол в ходе МДП при точке разделения 12,0 нмоль/л сведены в таблице 2.
Рисунок 1. Кривая операционных характеристик для анализа слюны на кортизол в ходе МДП, анализа крови на кортизол в ходе МДП и кортизола слюны в 23:00
Таблица 2. Диагностические возможности определения кортизола в слюне в ходе малой пробы с дексаметазоном методом электрохемилюминесцентного анализа
|
Выявление эндогенного гиперкортицизма среди пациентов с |
||
|
нормальным ИМТ |
ожирением |
|
|
Точка разделения (cut-off) |
12,0 нмоль/л |
|
|
Чувствительность (95% ДИ) |
61,1% (47,8–72,96%) |
|
|
Специфичность (95% ДИ) |
92,5% (82,4–97,08%) |
92,8% (83,02–97,19%) |
|
Прогностическая ценность положительного результата теста (95% ДИ) |
8,25 (3,14–21,69) |
8,56 (3,25–22,52) |
|
Прогностическая ценность отрицательного результата теста (95% ДИ) |
0,42 (0,29–0,592) |
0,42 (0,3–0,59) |
|
Отношение правдоподобия для положительного результата теста |
19,64 (6,18–62,41) |
20,43 (6,44–64,83) |
Также была проанализирована диагностическая возможность комбинации исследования кортизола слюны в 23:00 и кортизола слюны в ходе МДП, так как данная комбинация была бы максимально удобна пациенту в виду полной неинвазивности и возможности удаленной диагностики. Было выявлено, что в когорте пациентов с ЭГ (n=54) оба исследования были ложноотрицательными в 5 случаях, тогда как процент дискордантных результатов составил 33,3% (18 случаев). Ввиду более высокой специфичности, при анализе групп пациентов без ЭГ диагностическая сила данной комбинации была несколько выше. При анализе данных пациентов с алиментарно-конституциональным ожирением (n=56) было выявлено, что оба теста были ложноположительными в 4 случаях, при этом процент дискордантных результатов был равен 12,5% (7 случаев). В контрольной группе (n=54) оба теста показали ложноположительные результаты лишь в двух случаях, при этом процент дискордантных результатов был минимальным и составил 5,6% (3 случая). Диагностическая возможность комбинации вышеуказанных исследований приведена в таблице 3.
Таблица 3. Количество ложноотрицательных, ложноположительных результатов и процент дискордантных результатов при исследовании кортизола слюны вечером и кортизола слюны в рамках малой пробы с дексаметазоном (электрохемилюминесцентного анализа) для точки разделения кортизола слюны в ходе МДП 12,0 нмоль/л
|
Количество ложноположительных результатов (кортизол слюны в ходе МДП более 12,0 нмоль/л и кортизол слюны вечером более 9,4 у здоровых) |
Количество ложноотрицательных результатов (кортизол слюны в ходе МДП менее 12,0 нмоль/л и кортизол слюны вечером менее 9,4 у пациентов с истинным ЭГ) |
Абсолютное количество и процент дискордантных результатов |
|
|
ЭГ |
5 |
18 (33,3%) |
|
|
Алиментарно-конституциональное ожирение |
4 |
7 (12,5%) |
|
|
Здоровые добровольцы |
2 |
3 (5,6%) |
Также были определены границы «серой зоны» для данного теста, учитывая, что при выбранной нами точке разделения кортизола слюны в ходе МДП чувствительность была недостаточно высокой. При анализе наибольшей суммы чувствительность+специфичность, при которой чувствительность была максимальной, было определено, что при значении кортизола слюны 5,2 ммоль/л, чувствительность увеличивается до 85,2% (95% ДИ 73,4–92,3) при специфичности 57,3% (95% ДИ 47,9–66,1). Таким образом, диапазон с 5,2 ммоль/л до 12 ммоль/л можно считать «серой зоной», при которой диагноз ЭГ не может быть достоверно исключен, и для окончательной постановки диагноза следует воспользоваться дополнительными методами исследований. Диагностическая возможность анализа слюны в ходе МДП при точке разделения 5,2 отражена в таблице 4.
Таблица 4. Диагностические возможности определения кортизола в слюне в ходе малой пробы с дексаметазоном методом электрохемилюминесцентного анализа при точке разделения кортизола слюны 5,2 нмоль/л
|
Выявление ЭГ среди пациентов с |
||
|
нормальным ИМТ |
ожирением |
|
|
Точка разделения (cut-off) |
5,2 нмоль/л |
|
|
Чувствительность (95% ДИ) |
85,2% (73,4–92,3%) |
|
|
Специфичность (95% ДИ) |
59,3% (46,0–71,3%) |
55,4% (42,41–67,61%) |
|
Прогностическая ценность положительного результата теста (95% ДИ) |
2,1 (1,49–2,94) |
1,9 (1,40–2,60) |
|
Прогностическая ценность отрицательного результата теста (95% ДИ) |
0,25 (0,13–0,5) |
0,27 (0,14–0,53) |
|
Отношение правдоподобия для положительного результата теста |
8,36 (3,31–21,12) |
7,13 (2,85–17,84) |
При анализе комбинации исследования кортизола слюны в 23:00 и кортизола в ходе МДП при точке разделения 5,2 нмоль/л были получены результаты, свидетельствующие о более высокой чувствительности исследования. При этом количество ложноотрицательных результатов у пациентов с ЭГ уменьшилось до 3 случаев, процент дискордантных результатов уменьшился до 14,8% (8 случаев). Тем не менее соответственно увеличилось общее количество ложноположительных результатов (табл. 5).
Таблица 5. Количество ложноотрицательных, ложноположительных результатов и процент дискордантных результатов при исследовании кортизола слюны вечером и кортизола слюны в рамках малой пробы с дексаметазоном (электрохемилюминесцентного анализа) для точки разделения кортизола слюны в ходе МДП 5,2 нмоль/л
|
Количество ложноположительных результатов (кортизол слюны в ходе МДП более 5,2 нмоль/л и кортизол слюны вечером более 9,4 у здоровых) |
Количество ложноотрицательных результатов (кортизол слюны в ходе МДП менее 5,2 нмоль/л и кортизол слюны вечером менее 9,4 у пациентов с истинным ЭГ) |
Абсолютное количество и процент дискордантных результатов |
|
|
ЭГ |
3 |
8 (14,8%) |
|
|
Алиментарно-конституциональное ожирение |
8 |
20 (35,7%) |
|
|
Здоровые добровольцы |
5 |
17 (31,5%) |
Нежелательные явления
На протяжении всего исследования не было отмечено значимых нежелательных явлений.
ОБСУЖДЕНИЕ
Резюме основного результата исследования
На основании данных 54 здоровых добровольцев был рассчитан референсный интервал кортизола слюны в ходе МДП, который составил 0,5–12,7 нмоль/л. При сравнении площадей под кривой операционных характеристик (AUC) были получены следующие результаты: для кортизола слюны в ходе МДП – 0,838 (95% ДИ 0,772–0,905), для кортизола в крови в ходе МДП – 0,965 (95% ДИ 0,939–0,992) и кортизола слюны, собранной в 23:00, – 0,925 (95% ДИ 0,882–0,969). Были проанализированы оптимальные точки разделения (cut-off) для кортизола слюны в ходе МДП. Учитывая незначительную вариабельность значений точки разделения для разных когорт пациентов, для удобства было выбрано значение 12,0 нмоль/л. Также, дополнительно были определены границы «серой зоны» для значений кортизола слюны в ходе МДП, которые, по данным расчетов, составили 5,2–12,0 ммоль/л.
Обсуждение основного результата исследования
В настоящем исследовании впервые проведен анализ определения кортизола в слюне в утренние часы после приема 1 мг дексаметазона методом ЭХЛА на автоматизированном анализаторе. Комбинация определения кортизола в слюне в 23:00 и кортизола в слюне после МДП позволяет сделать диагностику ЭГ полностью неинвазивной и при необходимости дистанционной. Традиционное определение кортизола в крови после МДП обладает лучшей чувствительностью, но худшей специфичностью по сравнению со свободным кортизолом в слюне после МДП, для относительной компенсации этой проблемы была предложена так называемая «серая зона» для определения кортизола в слюне после МДП. При попадании результата исследования в интервал 5,2–12,0 ммоль/л оптимально проведение дополнительных тестов.
В нашем исследовании была выделена когорта пациентов с ожирением, так как у данных пациентов зачастую наблюдаются ложноположительные результаты диагностических исследований и проб вследствие функционального гиперкортицизма, тем не менее исключение ЭГ у данных пациентов является обязательным этапом диагностики причины ожирения. В ходе нашего исследования было выявлено, что исследование кортизола слюны в ходе МДП обладает более высокой специфичностью для пациентов с ожирением (92,8% (95% ДИ 83,02–97,19%). Таким образом, в процессе выбора лабораторных анализов для исключения ЭГ в группе пациентов с ожирением следует обратить внимание на данный метод исследования.
Зарубежными коллективами также были проведены и опубликованы исследования слюны в рамках МДП. Вместе с тем, в этих исследованиях использовались другие методы измерения кортизола слюны. Следует также учитывать, что референсный интервал и точки вмешательства для каждого метода должны определяться отдельно. В одной из работ были исследованы уровень кортизола слюны вечером, кортизола суточной мочи, а также кортизола слюны и крови утром в ходе МДП. Кортизол слюны был измерен при помощи жидкостной хроматографии и тандемной масс-спектрометрии. В исследовании участвовали 99 человек: 21 с ЭГ, 78 с эукортицизмом. Была определена точка разделения для кортизола слюны 0,85 нмоль/л [14]. Помимо другого метода исследования, в данной работе не было когорты пациентов с ожирением, тогда как известно, что у пациентов с ожирением зачастую наблюдаются ложноположительные результаты МДП вследствие функционального гиперкортицизма. В другом исследовании, проведенном во Франции, также были исследованы кортизол суточной мочи, кортизол в слюне и в крови в ходе МДП. В исследовании участвовало 27 человек с синдромом Кушинга и 64 человека в группе контроля. Исследование кортизола слюны проводилось при помощи радиоиммунологического анализа, была выработана точка разделения для кортизола слюны 1,9 нмоль/л, при этом чувствительность составила 100%, специфичность 94% [15]. Тем не менее и в данном исследовании не было когорты пациентов с ожирением. Также в 2003 г. было опубликовано исследование дозозависимого ответа кортизола слюны и крови в ходе пробы с дексаметазоном, в котором приняли участие 46 пациентов с ЭГ разного происхождения, где было выявлено более выраженное подавление кортизола слюны при увеличении дозы дексаметазона у пациентов с ЭГ [16], при этом кортизол крови и слюны были также исследованы при помощи радиоиммунного анализа. Существует ограничение самих методов исследования, а именно радиоиммунный анализ сопряжен с лучевой нагрузкой и, в настоящее время, редко используется, а метод масс-спектрометрии достаточно дорогостоящий. Оба метода предполагают предварительное накапливание биологических образцов для максимального использования диагностического набора. ЭХЛА проводится на автоматическом анализаторе и позволяет быстро получить результат у индивидуального пациента при определении кортизола, как в крови, так и в слюне.
Ограничения исследования
К ограничениям исследования можно отнести относительно небольшую выборку, связанную, в первую очередь, с редкостью основного заболевания. Так же, в исследование не включали пациентов, работающих в ночную смену и часто меняющих часовые пояса. Эти факторы не могут повлиять на результаты исследования слюны на кортизол в ходе МДП, но диагностику ЭГ по неинвазивному алгоритму (определение концентрации кортизола слюны в 23:00+определение концентрации кортизола слюны в ходе МДП) у данных пациентов проводить нельзя, так как результат измерения концентрации кортизола слюны в 23:00 будет не показательным.
ЗАКЛЮЧЕНИЕ
В ходе проведенного когортного исследования была определена точка разделения кортизола слюны в ходе МДП (12,0 ммоль/л), при этом показатель выше 12,0 ммоль/л с большой вероятностью свидетельствует о наличии ЭГ; интервал значений от 5,2 до 12,0 ммоль/л следует считать «серой зоной», при которой диагноз ЭГ не может быть достоверно исключен и следует дополнить диагностику другими методами исследований. Исследование кортизола слюны проводилось методом ЭХЛА. Таким образом, выработанная точка вмешательства может быть применена только для данного метода. В заключение можно сказать, что исследование слюны в ходе МДП может быть использовано как дополнительный неинвазивный способ диагностики ЭГ, что расширяет диагностические возможности практикующего врача, особенно в случае маломобильных пациентов и пациентов, живущих удаленно.
ДОПОЛНИТЕЛЬНАЯ ИНФОРМАЦИЯ
Источник финансирования. Исследование выполнено при финансовой поддержке гранта президента РФ МД-3204.2017.7.
Конфликт интересов. На основании результатов проведенного исследования был получен патент на изобретение № 2695798 «Способ неинвазивной диагностики эндогенного гиперкортицизма». Дата начала отсчета срока действия патента 06.06.2018 [17]. Авторы декларируют отсутствие иных явных и потенциальных конфликтов интересов, связанных с публикацией настоящей статьи.
Участие авторов. Все авторы внесли значимый вклад в проведение исследования и подготовку статьи, прочли и одобрили финальную версию статьи перед публикацией.
Список литературы
1. Дедов И.И. Клиническая нейроэндокринология. — М.: УП Принт, 2011. [Dedov II. Klinicheskaya neiroendokrinologiya. Moscow: UP Print; 2011. (In Russ.)]
2. Nieman LK, Biller BM, Findling JW, et al. The diagnosis of Cushing’s syndrome: an Endocrine Society Clinical Practice Guideline. J Clin Endocrinol Metab. 2008;93(5):1526-1540. DOI:10.1210/jc.2008-0125
3. Белая Ж.Е., Рожинская Л.Я., Драгунова Н.В., и др. Метаболические осложнения эндогенного гиперкортицизма. Выбор пациентов для скрининга. // Ожирение и метаболизм. — 2013. — Т. 10. — №1. — С. 26-31. [Belaya ZE, Rozhinskaya LY, Dragunova NV, et al. Metabolic complications of endogenous Cushing: patient selection for screening. Obesity and metabolism. 2013;10(1):29-34. (In Russ.)] DOI:10.14341/2071-8713-5068
4. Nieman LK. Cushing’s syndrome: update on signs, symptoms and biochemical screening. Eur J Endocrinol. 2015;173(4):M33-38. DOI:10.1530/EJE-15-0464
5. Дзеранова Л.К., Панкратова Ю.В., Белая Ж.Е., и др. Гиперкортицизм и метаболический синдром: сложности дифференциальной диагностики и лечения. // Ожирение и метаболизм. — 2012. — Т. 9. — №2. — С. 57-61. [Dzeranova LK, Pankratova YV, Belaya ZE, et al. Giperkortitsizm i metabolicheskiy sindrom: slozhnosti differentsial’noy diagnostiki i lecheniya. Obesity and metabolism. 2012;9(2):57-61. (In Russ.)] DOI:10.14341/omet2012257-61
6. Белая Ж.Е, Воронцов А.В., Ильин А.В., и др. Эндогенный гиперкортицизм среди пациентов с ожирением: причина или конкурирующее заболевание. // Ожирение и метаболизм. — 2016. — Т. 13. — №1. — С. 57-61. [Belaya ZE, Vorontsov AV, Il’in AV, et al. Endogenous hypercortisolism in the patient with obesity: the cause or a competing disorder. Obesity and metabolism. 2016;13(1):57-61. (In Russ.)]
7. Plotz CM, Knowlton AI, Ragan C. The natural history of cushing’s syndrome. Am J Med. 1952;13(5):597-614. DOI:10.1016/0002-9343(52)90027-2
8. Мельниченко Г.А., Дедов И.И, Белая Ж.Е, и др. Болезнь Иценко-Кушинга: клиника, диагностика, дифференциальная диагностика, методы лечения. // Проблемы Эндокринологии. — 2015. — Т. 61. — №2. — С. 55-77. [Melnichenko GA, Dedov II, Belaya ZE, et al. Cushing’s disease: the clinical features, diagnostics, differential diagnostics, and methods of treatment. Problems of endocrinology. 2015;61(2):55-77. (In Russ.)] DOI:10.14341/probl201561255-77
9. Ceccato F, Boscaro M. Cushing’s Syndrome: Screening and Diagnosis. High Blood Press Cardiovasc Prev. 2016;23(3):209-215. DOI:10.1007/s40292-016-0153-4
10. Белая Ж.Е., Ильин А.В., Мельниченко Г.А., и др. Автоматизированный электрохемилюминесцентный метод определения кортизола в слюне для диагностики эндогенного гиперкортицизма среди пациентов с ожирением. // Ожирение и метаболизм. — 2011. — Т. 8. — №2. — С. 56-63. [Belaya ZE, Il’in AV, Melnichenko GA, et al. Avtomatizirovannyy elektrokhemilyuminestsentnyy metod opredeleniya kortizola v slyune dlya diagnostiki endogennogo giperkortitsizma sredi patsientov s ozhireniem. Obesity and metabolism. 2011;27(2):56-63. (In Russ.)] DOI:10.14341/2071-8713-4954
11. Pecori Giraldi F, Ambrogio AG, De Martin M, et al. Specificity of first-line tests for the diagnosis of Cushing’s syndrome: assessment in a large series. J Clin Endocrinol Metab. 2007;92(11):4123-4129. DOI:10.1210/jc.2007-0596
12. Белая ЖЕ. Ранняя диагностика эндогенного гиперкортицизма. Канонический Wnt сигнальный путь и изменение костного метаболизма при глюкокортикоидном остеопорозе: Автореф. дис. … д-ра мед. наук. — М.; 2013. [Belaya ZE. Rannyaya diagnostika endogennogo giperkortitsizma. Kanonicheskii Wnt signal’nyi put’ i izmenenie kostnogo metabolizma pri glyukokortikoidnom osteoporoze. [dissertation] Moscow; 2013. (In Russ.)]
13. Lindholm J. Cushing’s disease, pseudo-Cushing states and the dexamethasone test: a historical and critical review. Pituitary. 2014;17(4):374-380. DOI:10.1007/s11102-013-0509-x
14. Ng CM, Lam TK, Au Yeung YC, et al. Clinical utility of late-night and post-overnight dexamethasone suppression salivary cortisone for the investigation of Cushing’s syndrome. Hong Kong Med J. 2017;23(6):570-578. DOI:10.12809/hkmj176240
15. Barrou Z, Guiban D, Maroufi A, et al. Overnight dexamethasone suppression test: comparison of plasma and salivary cortisol measurement for the screening of Cushing’s syndrome. Eur J Endocrinol. 1996;134(1):93-96. DOI:10.1530/eje.0.1340093
16. Castro M, Elias LL, Elias PC, Moreira AC. A dose-response study of salivary cortisol after dexamethasone suppression test in Cushing’s disease and its potential use in the differential diagnosis of Cushing’s syndrome. Clin Endocrinol (Oxf). 2003;59(6):800-805. DOI:10.1046/j.1365-2265.2003.01908.x
17. Патент РФ на изобретение №2695798 / 06.06.18. Белая Ж.Е, Малыгина А.А, Гребенникова Т.А, Ильин А.В, Рожинская Л.Я, Фадеев В.В, Мельниченко Г.А, Дедов И.И. Способ ранней диагностики вторичной плацентарной недостаточности. [Patent RUS №2695798 / 06.06.18. Belaya ZHE, Malygina AA, Grebennikova TA, Ilyin AV, Rozhinskaya LYA, Fadeev VV, Mel’nichenko GA, Dedov I.I. Sposob rannej diagnostiki vtorichnoj placentarnoj nedostatochnosti. (In Russ).] Доступно по: https://new.fips.ru/registers-doc-view/fips_servlet?DB=RUPAT&DocNumber=0002695798&TypeFile=html. Ссылка активна на 14.04.2020.
Об авторах
Жанна Евгеньевна БелаяРоссия
д.м.н., зав. отделения нейроэндокринологии и остеопатий,
профессор кафедры эндокринология, института высшего и дополнительного образования
Анастасия Андреевна Малыгина
Россия
научный сотрудник отделения нейроэндокринологии и остеопатий ФГБУ НМИЦ Эндокринологии МЗ РФ
Татьяна Алексеевна Гребенникова
Россия
кандидат медицинских наук, старший научный сотрудник отделения нейроэндокринологии и остеопатий
Александр Викторович Ильин
Россия
к.м.н.
Людмила Яковлевна Рожинская
Россия
доктор медицинских наук, профессор, главный научный сотрудник отделения нейроэндокринологии и остеопатий
Валентин Викторович Фадеев
Россия
д.м.н., профессор, член-корреспондент РАН
Галина Афанасьевна Мельниченко
Россия
д.м.н., профессор, академик РАН
Иван Иванович Дедов
Россия
д.м.н., профессор
Дополнительные файлы
|
|
1. Рисунок 1. Кривая операционных характеристик для анализа слюны на кортизол в ходе МДП, анализа крови на кортизол в ходе МДП и кортизола слюны в 23:00 | |
| Тема | ||
| Тип | Прочее | |
Посмотреть
(343KB)
|
Метаданные ▾ | |
Рецензия
Для цитирования:
Белая Ж.Е., Малыгина А.А., Гребенникова Т.А., Ильин А.В., Рожинская Л.Я., Фадеев В.В., Мельниченко Г.А., Дедов И.И. Диагностические возможности исследования кортизола слюны в ходе малой пробы с дексаметазоном. Ожирение и метаболизм. 2020;17(1):13-21.
For citation:
Belaya Zh.E., Malygina A.A., Grebennikova T.A., Il'yin A.V., Rozhinskaya L.Ya., Fadeev V.V., Melnichenko G.A., Dedov I.I. Diagnostic value of salivary cortisol in 1-mg dexamethasone suppression test. Obesity and metabolism. 2020;17(1):13-21. (In Russ.)




































