Перейти к:
Ответ на изокалорийную углеводную нагрузку по постпрандиальному уровню глюкозы у лиц с разными типами ожирения
https://doi.org/10.14341/omet13085
Аннотация
Обоснование. Углеводы оказывают наибольшее влияние на постпрандиальный уровень глюкозы в крови. Диетотерапия ожирения и сахарного диабета (СД), как правило, включает диетические ограничения по количеству, типу и распределению углеводов в питании, при этом время приема пищи и ее состав играют значимую роль. Однако в настоящее время недостаточно научно обоснованных данных, указывающих, как следует распределять потребление углеводов лицам с ожирением в течение дня.
Цель. Изучить постпрандиальный уровень глюкозы в ответ на изокалорийную углеводную нагрузку в основные приемы пищи (завтрак, обед, ужин) у мужчин с разными типами ожирения.
Материалы и методы. В исследовании приняли участие мужчины в возрасте от 25 до 65 лет. Общее число участников исследования составило 43 человека. Группу 1 (n=17) составили мужчины с ожирением и подкожным типом распределения жира (ПТРЖ), группу 2 (n=16) — мужчины с ожирением и абдоминальным типом распределения жира (АТРЖ). В группу 3 (сравнения) вошли 10 мужчин с нормальной массой тела (НМТ). Длительность непрерывного мониторинга глюкозы составляла 5–6 суток. Из этого периода наблюдения брали 3 дня, в которые режим физических нагрузок и трудовой деятельности не отличался от привычного. Гликемический ответ на стандартную изокалорическую углеводную нагрузку оценивали в разное время суток в разные дни. Первый и пятый дни исследования испытуемый питался как обычно, без каких-либо ограничений. Второй день исследования — углеводный завтрак, третий день — углеводный обед, четвертый день — углеводный ужин.
Результаты. Прием изокалорийной углеводной нагрузки в разные стандартные приемы пищи (завтрак, обед, ужин) показал, что у мужчин с НМТ наиболее интенсивная утилизация глюкозы происходит утром во время и после завтрака. У мужчин с АТРЖ толерантность к глюкозе существенно ниже во все приемы пищи относительно мужчин с НМТ и ПТРЖ. У мужчин с ПТРЖ толерантность к глюкозе ниже относительно мужчин с НМТ только во время приема углеводного завтрака. В обед и в ужин характер гликемической кривой у мужчин с ПТРЖ и НМТ практически не различается.
Заключение. Разделение обследуемых по фенотипам ожирения способствует выявлению особенностей регуляции углеводного обмена и, как следствие, выявляет разный уровень риска развития СД 2 типа и его осложнений. Сочетание непрерывного мониторинга глюкозы с мониторингом диеты может существенно повысить эффективность лечебных мероприятий при ожирении и предложить патогенетический подход к персонализированной диетотерапии
Ключевые слова
Для цитирования:
Пинхасов Б.Б., Сорокин М.Ю., Селятицкая В.Г. Ответ на изокалорийную углеводную нагрузку по постпрандиальному уровню глюкозы у лиц с разными типами ожирения. Ожирение и метаболизм. 2024;21(4):348-356. https://doi.org/10.14341/omet13085
For citation:
Pinkhasov B.B., Sorokin M.Yu., Selyatitskaya V.G. Postprandial glycemic response to isocaloric carbohydrate load in men with different types of obesity. Obesity and metabolism. 2024;21(4):348-356. (In Russ.) https://doi.org/10.14341/omet13085
ОБОСНОВАНИЕ
Диетотерапия является одним из основных элементов в схемах коррекции массы тела у больных ожирением и сахарным диабетом 2 типа (СД2), которые патогенетически связаны через инсулинорезистентность периферических тканей. Основным принципом лечебного питания для пациентов с ожирением является ограничение калорийности диеты, степень редукции которой определяется в зависимости от возраста пациентов, их физической активности, степени выраженности ожирения, наличия осложнений и сопутствующих заболеваний [1]. Поскольку в основе механизмов развития ожирения и СД2 лежит инсулинорезистентность, то при построении сбалансированных диетических рационов для таких пациентов особое внимание уделяют количеству потребляемых углеводов [2][3]. Однако известно, что даже количественно одинаковые приемы углеводной пищи приводят к различной выраженности гликемического ответа организма, что определяет необходимость персонализации диетотерапии [3]. При этом непременным условием в достижении высокой эффективности диетотерапии является учет суточных ритмов углеводного обмена. Ранее нами было показано, что у женщин с гиноидным и андроидным типами ожирения происходят нарушения суточных ритмов углеводного обмена, но опосредованы они разными механизмами. При гиноидном ожирении углеводная нагрузка провоцирует гиперинсулинемию и постпрандиальную гипогликемию, а при андроидном — инсулинорезистентность, гипергликемию и компенсаторную гиперинсулинемию, что определяет особенности патогенеза развития разных типов ожирения и нарушений углеводного обмена [4]. Показано, что не только соотношение основных нутриентов и калораж питания, но и время приема пищи и режим питания, помогают предотвратить развитие метаболических нарушений [5]. Все это указывает на ключевую роль циркадных ритмов в обмене веществ. Исследования на грызунах и людях подтверждают гипотезу о том, что потребление жиров и углеводов в определенные временные интервалы активной фазы может благотворно модулировать метаболический гомеостаз [6]. Употребление углеводов преимущественно во время ужина в рамках гипокалорийной диеты приводило к более выраженной потере веса, снижению чувства голода и улучшению метаболического статуса у людей с ожирением [7]. Улучшение гликемического контроля также наблюдалось, когда углеводы в основном употреблялись во время ужина, а белки — преимущественно в обед [8]. Кроме того, есть работы, показывающие благотворное влияние богатой углеводами диеты в начале дня: было показано, что увеличение потребления углеводов за счет жиров утром защищает от развития диабета [8] и метаболического синдрома [9].
Использование технологии непрерывного мониторинга глюкозы (НМГ) позволяет получать подробную информацию о колебаниях уровня глюкозы на протяжении нескольких суток с интервалом 5 минут. Благодаря этому диагностическому подходу пациент с ожирением и СД2 может определять и корригировать аномальные концентрации глюкозы, доводя их до целевого диапазона. Растет интерес к использованию технологии НМГ в клинических и исследовательских целях для расширения подходов к персонализации питания лиц с ожирением и СД2 во всех возрастных группах [10][11].
ЦЕЛЬ ИССЛЕДОВАНИЯ
Изучить постпрандиальный уровень глюкозы в ответ на изокалорийную углеводную нагрузку в основные приемы пищи (завтрак, обед, ужин) у мужчин с разными типами ожирения.
МАТЕРИАЛЫ И МЕТОДЫ
Место и время проведения исследования
Место проведения. Клиника Федерального исследовательского центра фундаментальной и трансляционной медицины (Новосибирск).
Время исследования. Набор материала продолжался с января 2022-го по май 2023 гг.
Изучаемые популяции (одна или несколько)
Популяция
В исследовании участвовали 2 группы мужчин в возрасте от 25 до 65 лет, группа 1 — мужчины с ожирением (n=33), возраст 38,0 [ 30,0; 51] лет, ИМТ — 32,0 [ 30,5; 36,5] кг/м2, группа 2 — мужчины без ожирения (n=10), возраст 37,0 [ 35,0; 50,0] лет, ИМТ — 23,7 [ 22,8; 24,3] кг/м2.
Критерии включения: 1) первичное ожирение алиментарно-конституциональной природы, 2) мужской пол, 3) возраст от 25 до 65 лет, 4) готовность воздерживаться от употребления алкоголя в период участия в исследовании, 5) для лиц без ожирения индекс массы тела (ИМТ) <25 кг/м2, для лиц с ожирением ИМТ ≥30 кг/м2.
Критерии исключения: 1) вторичное ожирение, 2) избыточная масса тела ИМТ ≥25 кг/м2 и <30 кг/м2, 3) наличие диагностированного ранее сахарного диабета (СД), 4) уровень гликированного гемоглобина A1c (HbA1c) менее 6% в течение 3 месяцев перед исследованием, 5) наличие сопутствующих эндокринологических заболеваний, 6) прием гормональных препаратов, сахароснижающих препаратов, 7) сменная работа.
Способ формирования выборки из изучаемой популяции (или нескольких выборок из нескольких изучаемых популяций)
Выборка здоровых мужчин формировалась произвольным образом из числа сотрудников ФИЦ ФМТ. Выборка мужчин с ожирением представлена пациентами, которые приходили на консультативный прием к эндокринологу с проблемой ожирения. Среди коморбидной патологии у 23 (69,7%) мужчин с ожирением в качестве основного заболевания отмечена гипертоническая болезнь, по поводу которой они получали гипотензивную терапию. У 21 (63,6%) мужчины была выявлена неалкогольная жировая болезнь печени, у 6 (18,1%) — хронические заболевания органов желудочно-кишечного тракта в стадии ремиссии.
Дизайн исследования
Одноцентровое интервенционное одномоментное (поперечное) исследование на одной популяции.
Описание медицинского вмешательства (для интервенционных исследований)
У всех участников исследования после подписания информированного согласия проводили сбор анамнеза, клинический осмотр эндокринолога, измерение антропометрических показателей. При соответствии критериям включения и отсутствии критериев исключения проводили 5–6-дневную процедуру НМГ.
Методы
Исследуемым мужчинам проводили антропометрическое обследование с измерением массы тела (кг), роста (м), окружности талии (см) и бедер (см). Рассчитывали ИМТ как отношение массы тела (кг) к росту (м2). По критериям ВОЗ, ожирению соответствует ИМТ≥30 кг/м2, нормальной массе тела (НМТ) — менее 25 кг/м2. Тип ожирения оценивали по соотношению окружности талии к окружности бедер (ОТ/ОБ). При ОТ/ОБ<0,95 у.е. мужчин (n=17) относили к группе с подкожным типом распределения жира (ПТРЖ), при ОТ/ОБ≥0,95 у.е. (n=16) — к группе с абдоминальным типом распределения жира (АТРЖ) [13]. В группу (сравнения) вошли 10 мужчин с НМТ.
НМГ проводили с помощью системы для мониторирования iPro2 и программного обеспечения CareLink® iPro (Medtronic, США). Длительность НМГ составляла 5–6 дней. Из этого периода наблюдения брали 3 дня, в которые режим физических нагрузок и трудовой деятельности не отличался от привычного. Гликемический ответ на стандартную изокалорическую углеводную нагрузку оценивался в разное время суток в разные дни. Первый и пятый дни исследования испытуемый питался как обычно, без каких-либо ограничений. Второй день исследования — углеводный завтрак, третий день — углеводный обед, четвертый день — углеводный ужин. Углеводный изокалорийный прием пищи представлен в таблице 1. Прием пищи, в частности углеводной нагрузки, проводился вне стационара. Всем пациентам исходно выдавалась карточка-раскладка, включающая количество ингредиентов и рецепт приготовления овсяной молочной каши, а также сведения о количестве хлеба и сахара. Все участники на протяжении исследования вели пищевой дневник, отражая в нем все количество потребляемой пищи. Приему пищи предшествовал период воздержания от приема еды не менее 4 часов.
Исследуемым предоставляли инструкции по правилам калибровки и другим аспектам процедуры мониторирования. Калибровка осуществлялась глюкометрами OneTouch® Verio®Pro+ и тест-полосками к этим глюкометрам.
Таблица 1. Нутриционная и энергетическая характеристика углеводной нагрузки
Table 1. Nutritional and energy characteristics of carbohydrate load
|
Продукт |
Вес, г |
Белки, г |
Жиры, г |
Углеводы, г |
Ккал |
|
Каша овсяная молочная |
250 |
8 |
0 |
35,5 |
174 |
|
Хлеб пшеничный |
50 |
3,8 |
0,4 |
24,3 |
116 |
|
Сахар |
15 |
0 |
0 |
15 |
60 |
|
Всего |
315 |
11,8 |
0,4 |
74,8 |
350 |
Статистический анализ
Статистический анализ проведен с использованием программы STATISTICA 10 (StatSoftInc, 2011, CША). Нормальность распределения проверяли с помощью критерия Колмогорова-Смирнова. С учетом небольшого объема выборки распределение большинства изученных признаков было отличным от нормального, в связи с чем применяли методы непараметрической статистики. Проверку гипотезы о равенстве генеральных средних в сравниваемых группах проводили с помощью непараметрического критерия Манна-Уитни, внутригрупповые различия оценивали с использованием критерия Вилкоксона. Минимальную вероятность справедливости нулевой гипотезы принимали при 5% уровне значимости (р<0,05). При описании количественных признаков в таблицах и рисунках использовали величины медианы, 25-го и 75-го процентилей.
Этическая экспертиза
Проведение исследования было одобрено локальным Комитетом по биомедицинской этике Федерального исследовательского центра фундаментальной и трансляционной медицины (заключение №23/1 от 09.12.2021). С пациентами проводили беседу, объясняющую цель и задачи исследования; от них было получено информированное согласие на участие в исследовании.
РЕЗУЛЬТАТЫ
Общее число участников исследования составило 43 мужчины, из них 10 мужчин с НМТ и 33 мужчины с ожирением. Анализ уровня глюкозы после приема пробного углеводного завтрака (табл. 2) показал, что у мужчин с НМТ уровень глюкозы в большинстве контролируемых временных точек был достоверно ниже относительно лиц с ожирением. Пик глюкозы в данной группе приходился на 40 минуту от начала приема пищи, и далее было отмечено плавное ее снижение. К 70 минуте средний уровень глюкозы в группе достигал исходных величин, и далее отмечалось его более плавное снижение с некоторой коррекцией в виде повышения на 100 минуте. К концу теста уровень глюкозы опускался ниже исходного (p<0,008). У мужчин с ожирением максимальный уровень глюкозы несколько запаздывал и приходился на 60 минуту от начала приема пищи, и в дальнейшем было отмечено плавное его снижение. При этом постпрандиальный уровень не достигал исходного к 120 минуте (p<0,048), и лишь к концу теста уровень глюкозы практически выходил на исходный уровень (p<0,967).
Таблица 2. Уровень постпрандиальной глюкозы после приема изокалорийной углеводной нагрузки в завтрак, обед и ужин у лиц с нормальной массой тела и ожирением
Table 2. Postprandial glucose levels after isocaloric carbohydrate load at breakfast, lunch and dinner in individuals with normal body weight and obesity
|
Мин |
Завтрак |
Обед |
Ужин |
||||||
|
НМТ |
Ожирение |
р |
НМТ |
Ожирение |
р |
НМТ |
Ожирение |
р |
|
|
0 |
4,9 [ 4,9;6,4] |
6,1 [ 5,4;6,5] |
0,042 |
5,8 [ 5,4;6,2] |
5,6 [ 5,2;6,2] |
0,376 |
5,7 [ 5,7;5,9] |
5,8 [ 5,2; 6,6] |
0,041 |
|
10 |
5,0 [ 4,8;6,7] |
6,2 [ 5,7;7,0] |
0,057 |
6,0 [ 5,8;6,2] |
5,7 [ 5,1;6,2] |
0,360 |
6,0 [ 5,9;6,5] |
5,8 [ 5,5;6,7] |
0,046 |
|
20 |
5,3 [ 4,7;7,3] |
6,2 [ 5,8;7,5] |
0,095 |
6,3 [ 6,2;6,3] |
5,7 [ 5,3;6,2] |
0,288 |
6,5 [ 6,1;7,2] |
6,0 [ 5,6;6,7] |
0,344 |
|
30 |
5,4 [ 4,9;7,9] |
6,6 [ 5,8;7,9] |
0,144 |
6,5 [ 6,1;6,5] |
5,8 [ 5,4;6,2] |
0,417 |
6,7 [ 6,7;7,2] |
6,2 [ 5,7;7,0] |
0,335 |
|
40 |
5,4 [ 5,0;7,7] |
6,9 [ 5,8;8,4] |
0,140 |
6,3 [ 5,9;6,3] |
5,7 [ 5,3;6,3] |
0,345 |
6,8 [ 6,7;7,4] |
6,4 [ 5,6;7,2] |
0,604 |
|
50 |
5,3 [ 4,9;6,9] |
7,1 [ 5,8;8,4] |
0,051 |
5,9 [ 5,8;5,9] |
5,7 [ 5,3;6,4] |
0,565 |
6,3 [ 6,2;7,8] |
6,7 [ 5,5;7,4] |
0,300 |
|
60 |
4,9 [ 4,6;6,6] |
7,6 [ 5,9;8,7] |
0,013 |
5,7 [ 5,6;5,8] |
5,7 [ 5,3;6,5] |
0,883 |
6,1 [ 6,1;7,4] |
6,9 [ 5,4;7,4] |
0,220 |
|
70 |
4,5 [ 4,5;6,5] |
7,3 [ 5,8;8,6] |
0,007 |
5,7 [ 5,4;5,9] |
5,7 [ 5,3;6,6] |
0,825 |
6,2 [ 6,2;6,6] |
7,0 [ 5,3;7,5] |
0,287 |
|
80 |
4,6 [ 4,6;6,3] |
7,0 [ 5,8;8,1] |
0,005 |
5,8 [ 5,4;6,1] |
5,7 [ 5,3;6,6] |
0,275 |
6,0 [ 5,9;6,0] |
6,7 [ 5,3;7,4] |
0,767 |
|
90 |
4,8 [ 4,8;6,3] |
6,8 [ 5,7;7,7] |
0,002 |
5,7 [ 5,5;6,2] |
5,6 [ 5,2;6,5] |
0,194 |
5,7 [ 5,6;5,7] |
6,5 [ 5,2;7,3] |
0,689 |
|
100 |
5,0 [ 5,0;6,1] |
6,5 [ 5,6;7,8] |
0,008 |
5,6 [ 5,5;6,2] |
5,5 [ 5,1;6,7] |
0,174 |
5,6 [ 5,6;5,8] |
6,4 [ 5,3;7,0] |
0,543 |
|
110 |
5,0 [ 4,8;5,8] |
6,4 [ 5,5;7,7] |
0,007 |
5,6 [ 5,4;6,0] |
5,5 [ 5,1;6,7] |
0,184 |
5,8 [ 5,5;5,8] |
6,2 [ 5,2;6,8] |
0,299 |
|
120 |
4,8 [ 4,6;5,7] |
6,5 [ 5,5;7,4] |
0,004 |
5,6 [ 5,4;5,8] |
5,6 [ 5,1;6,6] |
0,189 |
5,7 [ 5,5;6,0] |
5,9 [ 5,4;6,8] |
0,322 |
|
130 |
4,6 [ 4,5;5,7] |
6,3 [ 5,7;7,5] |
0,002 |
5,6 [ 5,4;5,7] |
5,6 [ 4,9;6,3] |
0,098 |
5,6 [ 5,6;6,1] |
5,8 [ 5,3;6,8] |
0,117 |
|
140 |
4,4 [ 4,3;5,8] |
6,4 [ 5,5;7,7] |
0,001 |
5,6 [ 5,4;5,7] |
5,7 [ 4,8;6,2] |
0,057 |
5,6 [ 5,3;6,0] |
5,8 [ 5,3;6,7] |
0,117 |
|
150 |
4,3 [ 4,3;5,8] |
6,5 [ 5,5;7,4] |
0,002 |
5,6 [ 5,3;5,7] |
5,6 [ 4,8;6,2] |
0,046 |
5,6 [ 5,3;5,9] |
5,8 [ 5,2;6,9] |
0,034 |
|
160 |
4,4 [ 4,4;5,8] |
6,3 [ 5,5;7,1] |
0,002 |
5,6 [ 5,3;5,8] |
5,7 [ 4,8;6,5] |
0,029 |
5,6 [ 5,4;6,0] |
5,8 [ 5,2;6,7] |
0,047 |
|
170 |
4,6 [ 4,4;5,7] |
6,1 [ 5,4;7,1] |
0,003 |
5,6 [ 5,3;5,8] |
5,7 [ 4,8;6,4] |
0,019 |
5,6 [ 5,6;6,2] |
5,7 [ 5,2;6,5] |
0,029 |
|
180 |
4,8 [ 4,6;5,7] |
5,9 [ 5,5;7,0] |
0,004 |
5,5 [ 5,3;5,8] |
5,7 [ 5,0;6,3] |
0,019 |
5,6 [ 5,6;6,3] |
5,7 [ 5,1;6,4] |
0,007 |
После приема углеводной нагрузки в обед (табл. 2) у мужчин с НМТ уровень глюкозы статистически значимо не отличался относительно лиц с ожирением. И только начиная со 140 минуты теста, уровень глюкозы у мужчин с НМТ становился статистически значимо ниже относительно мужчин с ожирением. При этом максимальный уровень глюкозы у мужчин с НМТ также выявлялся раньше и приходился на 50 минуту от начала теста. В максимальной точке уровень гликемии у мужчин с НМТ соответствовал уровню гликемии у мужчин с ожирением. После этого уровень глюкозы у мужчин с НМТ начинал снижаться, достигая исходного лишь к 130 минуте, а c 160 по 180 минуты теста опустился ниже исходного (p<0,05 и p<0,05) соответственно.
У мужчин с ожирением гликемическая кривая в обед практически не отличалась от утренней, за исключением того, что пик уровня глюкозы приходился на 70 минуту от начала приема пищи. К концу 120 (p<0,0003) и 180 (p<0,01) минут уровень гликемии у мужчин с ожирением не достигал исходного уровня.
После приема углеводной нагрузки в ужин (табл. 2) у мужчин с НМТ уровень глюкозы исходно и на 10 минуте был достоверно ниже относительно мужчин с ожирением. Далее, несмотря на то что у мужчин с ожирением уровень глюкозы был несколько выше, статистически значимые различия в показателях уровня глюкозы между группами отсутствовали. И лишь в конце теста, начиная со 140 по 180 минуты, разница в показателях уровня глюкозы также достигла достоверных величин. Максимальный уровень глюкозы у мужчин с НМТ, как и в обед, приходился на 50 минуту. После этого уровень глюкозы начинал более плавно снижаться относительно утреннего и обеденного приемов углеводной пищи, достигая исходного уровня лишь к 170 минуте теста, а к 180 он снизился достоверно относительно исходного уровня (p<0,05). У мужчин с ожирением в целом уровни глюкозы не отличалась от утренней и обеденной нагрузок, с пиком уровня глюкозы на 60 минуте от начала приема пищи, как и в завтрак. К концу 120 и 180 минутам уровень гликемии также не опустился до исходного уровня (p<0,0005 и p<0,05 соответственно).
Учитывая особенности утилизации глюкозы у мужчин, имеющих разные типы распределения жировой ткани, был проведен сравнительный анализ гликемических кривых у мужчин с подкожным (ПТРЖ), ИМТ — 32,7 [ 31,5; 33,7] кг/м2 и абдоминальным типами распределения жира (АТРЖ) ИМТ — 35,4 [ 30,6; 36,1] кг/м2 (p=0,179).
Исходно в группах натощак определяли уровень инсулина, его уровень статистически значимо (p<0,05) увеличивался от группы мужчин с НМТ, к группе с ПТРЖ и АРТЖ и составил: 2,7 [ 1,1; 2,6] мкЕд/мл, 7,4 [ 2,0; 8,7] мкЕд/мл, 11,3 [ 5,5; 35,5] мкЕд/мл соответственно в исследуемых группах, что было охарактеризовано как компенсаторная гиперинсулинемия, направленная на поддержание нормального уровня глюкозы. Уровень инсулина отразился и на индексе НОМА, который также статистически значимо (p<0,05) различался и составил в группах мужчин с НМТ, ПТРЖ и АТРЖ: 0,6 [ 0,6; 16], 1,5 [ 1,2; 2,5] и 2,7 [ 2,1; 4,8] соответственно. Повышенный уровень индекса НОМА в группе мужчин с АТРЖ свидетельствовал о формировании у них инсулинорезистентности.
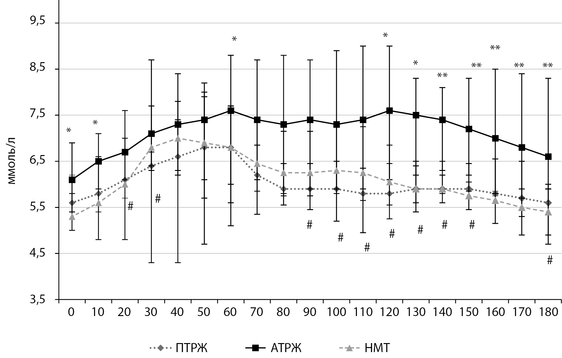
Анализ гликемической кривой после приема пробного углеводного завтрака (рис. 1), показал, что у мужчин с ПТРЖ, начиная с 60 минуты, уровень глюкозы был несколько ниже относительно мужчин с АТРЖ, но достоверной разницы выявлено не было. Обращает внимание, что пик глюкозы у мужчин с ПТРЖ, как и у мужчин с НМТ, приходился на 40 минуту от начала приема пищи, в то время как у мужчин с АТРЖ — на 70 минуту. У мужчин ПТРЖ к 130 минуте уровень глюкозы практически достиг исходного, а у мужчин с АТРЖ к 160 минуте еще достоверно превышал исходные значения (p<0,05), и только к 180 минуте уровень глюкозы достоверно не отличался от исходного. Начиная с 60 минуты уровень гликемии у мужчин с ПТРЖ и АТРЖ был достоверно выше относительно мужчин с НМТ.

Рисунок 1. Постпрандиальный уровень глюкозы у лиц с разными типами распределения жировой ткани после приема пробного углеводного завтрака.
Примечание: * — p<0,05; ** — p<0,01 статистическая значимость различий между группами НМТ и АТРЖ; # — p<0,05; ## — p<0,01 статистическая значимость различий между группами НМТ и ПТРЖ.
Figure 1. Postprandial glucose levels in individuals with different types of fat distribution after a carbohydrate-rich breakfast.
Note: * — p<0.05; ** — p<0.01 statistical significance of differences between the NBW and AFD groups; # — p<0.05; ## — p<0.01 statistical significance of differences between the NBW and SFD groups.
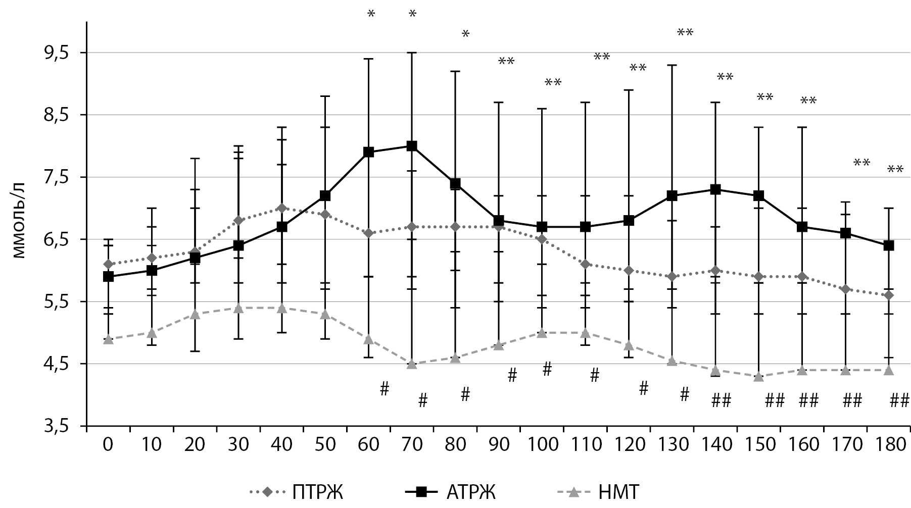
Анализ гликемической кривой после приема пробного углеводного обеда (рис. 2) показал, что у мужчин с ПТРЖ уровень глюкозы был несколько ниже относительно мужчин с АТРЖ, но достоверной разницы на протяжении 3 часов выявлено не было. Пик глюкозы у мужчин с ПТРЖ приходился на 50 минуту, а у мужчин с АТРЖ, как и в завтрак, на 70 минуту. После данного приема пищи у мужчин с ПТРЖ уровень глюкозы достигал исходного к 160 минуте, а у мужчин с АТРЖ — только к 180 минуте. Начиная с 130 минуты уровень гликемии у мужчин с АТРЖ был достоверно выше относительно мужчин с НМТ, существенной разницы по уровню глюкозы между мужчинами с ПТРЖ и НМТ после обеденного приема углеводной пищи выявлено не было.

Рисунок 2. Постпрандиальный уровень глюкозы у лиц с разными типами распределения жировой ткани после приема пробного углеводного обеда.
Примечание: * — p<0,05; статистическая значимость различий между группами НМТ и АТРЖ.
Figure 2. Postprandial glucose levels in individuals with different types of fat distribution after a carbohydrate-rich lunch.
Note: * — p<0.05; statistical significance of differences between the NBW and AFD groups.
Анализ гликемической кривой после приема пробного углеводного ужина (рис. 3) выявил практически одинаковые кривые у мужчин с ПТРЖ и НМТ. Гликемическая кривая у мужчин с АТРЖ была достоверно выше относительно мужчин с ПТРЖ. Пик глюкозы у мужчин с ПТРЖ приходился на 60 минуту и практически совпадал с максимумом у мужчин с АТРЖ. После данного приема пищи у мужчин с ПТРЖ уровень глюкозы достиг исходного к 160 минуте, а у мужчин с АТРЖ к 180 минуте еще достоверно превышал исходные значения (p<0,05). Начиная со 130 минуты, уровень гликемии у мужчин с АТРЖ был достоверно выше относительно мужчин с НМТ, существенной разницы по уровню глюкозы между мужчинами с ПТРЖ и НМТ после обеденного приема углеводной пищи выявлено не было.

Рисунок 3. Постпрандиальный уровень глюкозы у лиц с разными типами распределения жировой ткани после приема пробного углеводного ужина.
Примечание: * — p<0,05; ** — p<0,01 статистическая значимость различий между группами НМТ и АТРЖ; # — p<0,05; статистическая значимость различий между группами ПТРЖ и АТРЖ.
Figure 3. Postprandial glucose levels in individuals with different types of fat distribution after a carbohydrate-rich dinner.
Note: * — p<0.05; ** — p<0.01 statistical significance of differences between the NBW and AFD groups; # — p<0.05; statistical significance of differences between the SFD and AFD groups.
ОБСУЖДЕНИЕ
Сопоставление с другими публикациями
Известно, что углеводы являются макронутриентами, оказывающими наибольшее влияние на постпрандиальный уровень глюкозы в крови. Диетотерапия ожирения и сахарного диабета, как правило, включает преимущественно диетические ограничения по количеству, типу и распределению углеводов в питании [11]. Однако в настоящее время получено недостаточное количество научно обоснованных сведений о том, как следует распределять потребление углеводов лицам с ожирением в течение дня. В проведенных исследованиях показано, что распределение потребления углеводов в течение дня на несколько приемов пищи и перекусов может быть полезным для контроля уровня глюкозы в крови после приема пищи [12]. Пациенты с СД2, которые потребляли завтрак с высоким содержанием энергии и углеводов, и ужин с низким потреблением энергии и углеводов, показали положительный ответ в виде отсутствия высоких значений постпрандиального уровня глюкозы крови в сочетании с увеличением уровня глюкагоноподобного пептида-1 и инсулина в сравнении, если завтрак был низкокалорийный и содержал небольшое количество углеводов [13]. С другой стороны, эти результаты противоречат данным исследователей, показавших, что женщинам с гестационным СД следует потреблять на завтрак небольшое количество углеводов, так как у них выявляют выраженное постпрандиальное повышение уровня глюкозы по утрам, ассоциированное с повышенной резистентностью к инсулину в это время суток [14].
Постпрандиальная гипергликемия ассоциирована с целым рядом патологических состояний, проявляющихся микро- и макрососудистыми повреждениями, усилением гликирования белков и поддержанием системного воспаления, прогрессированием эндотелиальной дисфункции и др. [15]. Постпрандиальная гипергликемия в большей степени по сравнению с гликированным гемоглобином и уровнем глюкозы натощак ассоциирована с увеличением риска сердечно-сосудистой смертности, инфаркта миокарда, инсульта или с госпитализацией по поводу сердечной недостаточности у пациентов с ишемической болезнью сердца без СД2 в анамнезе [16]. Таким образом, это крайне важный параметр, предопределяющий диетическую стратегию, как у пациентов с СД2, так и у большой группы лиц с ожирением и метаболическим синдромом. Анализ подходов к питанию, как у здоровых, так и у пациентов с ожирением и СД2, показал, что эффективным на данный момент считается питание с использованием цельнозерновых продуктов, фруктов, овощей, орехов, бобовых, молочных продуктов [17].
В проведенном исследовании прием изокалорийной углеводной нагрузки в разные стандартные приемы пищи (завтрак, обед, ужин) показал, что у мужчин с НМТ наиболее интенсивная утилизация глюкозы происходит утром во время завтрака. Максимальный уровень глюкозы небольшой, пик наблюдается довольно рано, на 40 минуте от начала приема пищи, достигая к 60 минуте исходного уровня. Во второй половине дня (обед и ужин) толерантность снижается, а исходный уровень достигается лишь к 130 и 170 минутам соответственно. Снижение толерантности к углеводам у лиц без ожирения в вечернее время подтверждается в ряде исследований [4]. Последние исследования показывают, что у лиц с нормогликемией повышение чувствительности к инсулину в утренние часы связано с часовым репрессором Rev-Erbα/β, который экспрессируется в мозге, печени, сердце, легких, жировой ткани, скелетных мышцах. Rev-Erbα/β признан в качестве основного регулятора метаболизма, митохондриального биогенеза, воспалительного ответа и фиброза [18]. Нарушение на молекулярном уровне в центральных циркадных часах, в частности в регуляторной функции Rev-Erbα/β, связано с синдромом «утренней зари», который возникает у большинства пациентов с ожирением и СД2, и заключается в повышении уровня гликемии в ранние утренние часы [19]. Кроме того, на постпрандиальный уровень глюкозы во многом влияет гликемический индекс продуктов. Потребление богатой энергией еды вечером приводило к значительно более высокой реакции глюкозы и инсулина по сравнению с ее потреблением утром. Примечательно, что этот эффект был наиболее выражен вечером на диете с высоким ГИ. Это подтверждает, что качество углеводов в определенное время дня резко влияет на гликемический контроль в течение дня [20].
У пациентов с ожирением во все приемы пищи уровень постпрандиальной гликемии был выше относительно мужчин с НМТ, но, как оказалось, это в большей степени касалось лишь пациентов с АТРЖ. Пациенты с ПТРЖ отличались от здорового контроля лишь во время завтрака. Полученные данные во многом схожи с результатами, полученными при проведении глюкозотолерантного теста у женщин с разными типами ожирения [4]. Показано, что у пациентов с ожирением, особенно с АТРЖ, прием углеводов на ужин приводит к большему подъему гликемии, чем то же количество углеводов, съеденное на завтрак и обед. Инсулинорезистентность в вечернее время может быть связана с суточными колебаниями уровня свободных жирных кислот и их влиянием на утилизацию глюкозы мышцами. Повышенный уровень СЖК плазмы в вечернее время может способствовать снижению чувствительности к инсулину мышцами. Считается, что вечером идет переключение энергообмена на жировой тип и СЖК становятся преимущественным субстратом окисления.
На постпрандиальный уровень глюкозы могут оказывать влияние разные факторы, например ген, определяющий активность амилазы слюны, непереносимость лактозы и/или других олиго-, ди-, моносахаридов, физические нагрузки, выполняемые накануне исследования, прием алкоголя, состав и особенность микробиоты кишечника, частота пережевывания пищи и др. [21].
Интересным оказалось и то, что максимальные пики уровня глюкозы у мужчин с НМТ приходились утром на 40 минуту теста, а в обед и ужин — на 50 минуту, в то время как у мужчин с ожирением, особенно с АТРЖ, пики запаздывали, приходясь утром и в обед на 70, а в ужин на 60 минуты.
Клиническая значимость результатов
Полученные данные следует учитывать в клинической практике как при проведении теста толерантности к глюкозе, так и при оценке гликемической кривой на стандартный завтрак. Кроме того, исходя из полученных результатов, лицам с нормальной массой тела не рекомендуется на завтрак принимать пищу, состоящую преимущественно из углеводов, так как высокая усвояемость углеводов в данное время суток может приводить к развитию постпрандиальной гипогликемии. Лицам с ожирением, особенно имеющим абдоминальный тип распределения жировой ткани, прием пищи, включающей быстроусвояемые углеводы, пусть даже в изокалорическом эквиваленте, должен быть ограничен во все приемы пищи.
Ограничения исследования
Ограничением исследования является малый объем выборки, включение в исследование только лиц мужского пола, а также то, что углеводная нагрузка была недостаточно стандартизированной и проводилась участниками в домашних условиях, т.е. без контроля со стороны исследователей.
Направления дальнейших исследований
С учетом полученных результатов дальнейшие исследования планируются в направлении оценки постпрандиального уровня глюкозы на белковые и смешанные пищевые нагрузки, для определения патогенетических подходов к индивидуализированной диетотерапии с учетом гетерогенности распределения жировой ткани в организме.
ЗАКЛЮЧЕНИЕ
Выделение фенотипов ожирения с абдоминальным или подкожным типами распределения жировой ткани способствуют выявлению особенностей регуляции углеводного обмена и, как следствие, определяет разный уровень риска развития СД2 и его осложнений. В этой связи сочетание НМГ с мониторингом диеты может существенно повысить эффективность лечебных мероприятий при ожирении и определить патогенетический подход к персонализированной диетотерапии.
ДОПОЛНИТЕЛЬНАЯ ИНФОРМАЦИЯ
Источник финансирования. Исследование проведено в рамках выполнения государственного задания учреждения.
Конфликт интересов. Авторы декларируют отсутствие явных и потенциальных конфликтов интересов, связанных с публикацией настоящей статьи.
Участие авторов. Пинхасов Б.Б. — разработка дизайна исследования, анализ полученных данных, написание текста; Сорокин М.Ю. — сбор материала, обработка материала; Селятицкая В.Г. — разработка концепции исследования, критическая интерпретация результатов, написание текста, одобрение финальной версии рукописи. Все авторы внесли значимый вклад в проведение исследования и подготовку статьи, прочли и одобрили финальную версию статьи перед публикацией, выразили согласие нести ответственность за все аспекты работы, подразумевающую надлежащее изучение и решение вопросов, связанных с точностью и добросовестностью любой части работы.
Список литературы
1. Шарафетдинов Х.Х., Плотникова О.А. Ожирение как глобальный вызов XXI века: лечебное питание, профилактика и терапия. Вопросы питания. 2020;89(4):161-171.
2. Елиашевич С.О., Драпкина О.М. Возможности питания в коррекции массы тела при сахарном диабете 2 типа. Кардиоваскулярная терапия и профилактика. 2023;22(6):69-77. https://doi.org/10.15829/1728-8800-2023-3607
3. Misnikova IV, Zoloeva DE, Glazkov AA. Effect of meal time on postprandial glycemia in patients with type 2 diabetes mellitus and obesity not receiving insulin. Diabetes Mellitus. 2023;26(5):455-463. doi: https://doi.org/10.14341/DM13023
4. Pinkhasov BB, Selyatinskaya VG, Astrakhantseva EL, et al. Circadian rhythms of carbohydrate metabolism in women with different types of obesity. Bull Exp Biol Med. 2016;161(3):323-326. doi: 10.1007/s10517-016-3406-2
5. Manoogian ENC, Chow LS, Taub PR, et al. Time-restricted eating for the prevention and management of metabolic diseases. Endocr Rev. 2022;43(2):405-436. doi: 10.1210/endrev/bnab027.
6. McGinnis GR, Young ME. Circadian regulation of metabolic homeostasis: causes and consequences. Nat Sci Sleep. 2016 May 27:8:163-180. doi: 10.2147/NSS.S78946
7. Sofer S, Eliraz A, Kaplan S, et al. Greater weight loss and hormonal changes after 6 months diet with carbohydrates eaten mostly at dinner. Obesity (Silver Spring). 2011;19(10):2006-2014. doi: 10.1038/oby.2011.48
8. Alves RDM, de Oliveira FCE. Eating carbohydrate mostly at lunch and protein mostly at dinner within a covert hypocaloric diet influences morning glucose homeostasis in overweight/obese men. Eur J Nutr. 2014;53(1):49-60. doi: 10.1007/s00394-013-0497-7
9. Almoosawi S, Prynne CJ, Hardy R, et al. Time-of-day and nutrient composition of eating occasions: prospective association with the metabolic syndrome in the 1946 British birth cohort. Int J Obes (Lond). 2013;37(5):725-731. doi: 10.1038/ijo.2012.103
10. Hegedus E, Salvy SJ, Wee CP, et al. Use of continuous glucose monitoring in obesity research: a scoping review. Obes Res Clin Pract. 2021;15(5):431-438. doi: 10.1016/j.orcp.2021.08.006.
11. Rasmussen L, Christensen ML, Poulsen CW, et al. Effect of high versus low carbohydrate intake in the morning on glycemic variability and glycemic control measured by continuous blood glucose monitoring in women with gestational diabetes mellitus—a randomized crossover study. Nutrients. 2020;12(2):475. doi: 10.3390/nu12020475
12. Moreno-Castilla C, Mauricio D, Hernandez M. Role of medical nutrition therapy in the management of gestational diabetes mellitus. Curr Diab Rep. 2016;16(4):22. doi: 10.1007/s11892-016-0717-7
13. Jakubowicz D, Wainstein J, Ahren B, et al. High-energy breakfast with low-energy dinner decreases overall daily hyperglycaemia in type 2 diabetic patients: A randomised clinical trial. Diabetologia. 2015;58(5):912-919. doi: 10.1007/s00125-015-3524-9
14. Tamas G, Kerenyi Z. Gestational diabetes: Current aspects on pathogenesis and treatment. Exp Clin Endocrinol Diabetes. 2001;109 Suppl 2:S400-411. doi: 10.1055/s-2001-18598
15. Meessen EC, Warmbrunn MV, Nieuwdorp M, et al. Human postprandial nutrient metabolism and low-grade inflammation: A narrative review. Nutrients. 2019;11(12):3000. doi: https://doi.org/10.3390/nu11123000
16. Shahim B, De Bacquer D, De Backer G, et al. The prognostic value of fasting plasma glucose, two-hour postload glucose, and HbA1c in patients with coronary artery disease: A report from EUROASPIRE IV. Diabetes Care. 2017;40(9):1233-1240. doi: https://doi.org/10.2337/dc17-0245
17. Dehghan M, Mente A, Rangarajan S, et al. Association of dairy intake with cardiovascular disease and mortality in 21 countries from five continents (PURE): a prospective cohort study. Lancet. 2018;392(10161):2288-2297. doi: 10.1016/S0140-6736(18)31812-9
18. Raza GS, Sodum N, Kaya Y, et al. Role of circadian transcription factor rev-erb in metabolism and tissue fibrosis. Int J Mol Sci. 2022;23(21):12954. doi: https://doi.org/10.3390/ijms232112954
19. Matenchuk BA, Mandhane PJ, Kozyrskyj AL. Sleep, circadian rhythm, and gut microbiota. Sleep Med Rev. 2020;53(6):101340. doi: https://doi.org/10.1016/j.smrv.2020.101340
20. Morgan LM, Shi JW, Hampton SM, et al. Effect of meal timing and glycaemic index on glucose control and insulin secretion in healthy volunteers. Br J Nutr. 2012;108(7):1286-1291. doi: 10.1017/S0007114511006507
21. Gibbs M, Harrington D, Starkey S, et al. Diurnal postprandial responses to low and high glycaemic index mixed meals. Clin nutr. 2014;33(5):889-894. doi: 10.1016/j.clnu.2013.09.018
22. Walther B, Lett AM, Bordoni A, et al. GutSelf: Interindividual variability in the processing of dietary compounds by the human gastrointestinal tract. Mol Nutr Food Res. 2019;63(21). doi: https://doi.org/10.1002/mnfr.201900677
Об авторах
Б. Б. ПинхасовРоссия
Пинхасов Борис Борисович, д.м.н.
630117, Новосибирск, ул. Тимакова, д. 2
Конфликт интересов:
Конфликт интересов отсутствует
М. Ю. Сорокин
Россия
Сорокин Максим Юрьевич, аспирант
630117, Новосибирск, ул. Тимакова, д. 2
Конфликт интересов:
Конфликт интересов отсутствует
В. Г. Селятицкая
Россия
Селятицкая Вера Георгиевна, д.б.н., профессор
630117, Новосибирск, ул. Тимакова, д. 2
Конфликт интересов:
Конфликт интересов отсутствует
Дополнительные файлы
|
|
1. Рисунок 1. Постпрандиальный уровень глюкозы у лиц с разными типами распределения жировой ткани после приема пробного углеводного завтрака. | |
| Тема | ||
| Тип | Исследовательские инструменты | |
Посмотреть
(328KB)
|
Метаданные ▾ | |
|
|
2. Рисунок 2. Постпрандиальный уровень глюкозы у лиц с разными типами распределения жировой ткани после приема пробного углеводного обеда. | |
| Тема | ||
| Тип | Исследовательские инструменты | |
Посмотреть
(309KB)
|
Метаданные ▾ | |
|
|
3. Рисунок 3. Постпрандиальный уровень глюкозы у лиц с разными типами распределения жировой ткани после приема пробного углеводного ужина. | |
| Тема | ||
| Тип | Исследовательские инструменты | |
Посмотреть
(338KB)
|
Метаданные ▾ | |
Рецензия
Для цитирования:
Пинхасов Б.Б., Сорокин М.Ю., Селятицкая В.Г. Ответ на изокалорийную углеводную нагрузку по постпрандиальному уровню глюкозы у лиц с разными типами ожирения. Ожирение и метаболизм. 2024;21(4):348-356. https://doi.org/10.14341/omet13085
For citation:
Pinkhasov B.B., Sorokin M.Yu., Selyatitskaya V.G. Postprandial glycemic response to isocaloric carbohydrate load in men with different types of obesity. Obesity and metabolism. 2024;21(4):348-356. (In Russ.) https://doi.org/10.14341/omet13085
Контент доступен под лицензией Creative Commons Attribution-NonCommercial-NoDerivatives 4.0 International License (CC BY-NC-ND 4.0).




































