Influence of novel GPR119 agonist in combination with metformin and sitagliptin on glycemia, body weight and food intake in rats fed a high-fat diet
https://doi.org/10.14341/omet9422
Abstract
BACKGROUND: Metabolic syndrome and obesity are often precursors of type 2 diabetes mellitus (DM), and current recommendations indicate the advisability of early initiation of drug therapy at the stage of prediabetes. Drugs with incretin activity are one of the priority groups for monotherapy of type 2 diabetes in the onset of the disease, and certain drugs are used to treat obesity. GPR119 agonists increase the secretion of endogenous incretins, and their effectiveness in the treatment of type 2 diabetes and obesity in mono- and combination therapy is currently being actively studied.
AIM. To evaluate of the effect of administration of a GPR119 receptor agonist, its combination with metformin or sitagliptin on body weight, food intake and glycemia in rats under a high-calorie diet.
MATERIALS AND METHODS: The study was conducted on 56 outbred female rats aged 7–8 months and an initial weight of 305–320 g. Compound ZB-16 is a highly active GPR119 receptor agonist (EC50 = 7 nM). For 12 weeks, the animals were kept on a high-fat and carbohydrate diet and at the same time received the compound ZB-16, metformin and sitagliptin, or its combination (ZB-16 + metformin and ZB-16 + sitagliptin). During the experiment, the weight of the animals, the mass of feed eaten, as well as the level of glycemia after 6 hours of fasting and with an oral glucose load were assessed.
RESULTS: In animals of the control group that were on a high-calorie and fatty diet for 12 weeks, an increase in body weight, glycemia and a decrease in the rate of glucose utilization were observed. The introduction of the GPR119 agonist (ZB-16) for 12 weeks led to a significant reduction in the amount of food consumed, limited weight gain and prevented the development of carbohydrate metabolism disorders. The addition of sitagliptin and especially metformin to therapy with the GPR119 agonist significantly increased the effectiveness of therapy compared to the control group, which was expressed in the normalization of animal body weight and glycemia (p <0.05).
CONCLUSIONS: The introduction of a combination of the GPR119 agonist (compound ZB-16) with metformin and sitagliptin is more effective than monotherapy in terms of weight gain, food intake, and also prevents the development of carbohydrate metabolism disorders in animals when kept on a high-fat and carbohydrate diet.
About the Authors
Ivan N. TyurenkovRussian Federation
MD, PhD, Professor
Denis V. Kurkin
Russian Federation
PhD
Dmitry A. Bakulin
Russian Federation
MD
Elena V. Volotova
Russian Federation
MD, PhD
Ekaterina O. Logvinova
Russian Federation
graduate student. Department for Pharmacology and Biopharmacy of Volgograd State Medical University
Kseniia A. Avdienko
Russian Federation
student
Mihail A. Shafeev
Russian Federation
PhD in chemistry
References
1. Дедов И.И., Шестакова М.В., Галстян Г.Р. Распространенность сахарного диабета 2 типа у взрослого населения России (исследование NATION) // Сахарный диабет. – 2016. – Т.19. – №2. - С.١٠٤-١١٢. [Dedov II, Shestakova MV, Galstyan GR. The prevalence of type 2 diabetes mellitus in the adult population of Russia (NATION study). Diabetes mellitus. 2016;19(2):104-112. (In Russ).] DOI:10.14341/DM2004116-17
2. Дедов И.И., Шестакова М.В., Майоров А.Ю., и др. Алгоритмы специализированной медицинской помощи больным сахарным диабетом / Под редакцией И.И. Дедова, М.В. Шестаковой, А.Ю. Майорова. – 8-й выпуск // Сахарный диабет. - 2017. - Т. 20. - №1S. - C. 1-121. [Dedov II, Shestakova MV, Mayorov AY, et al. Standards of specialized diabetes care. Edited by Dedov II, Shestakova MV, Mayorov AY. 8th edition. Diabetes mellitus. 2017;(20):1S:1-121. (In Russ).] DOI:10.14341/DM20171S8
3. Ткачук В.А., Воротников А.В. Молекулярные механизмы развития резистентности к инсулину // Сахарный диабет. - 2014. - Т. 17. - №2. - C. 29-40. [Tkachuk VA, Vorotnikov AV. Molecular Mechanisms of Insulin Resistance Development. Diabetes mellitus. 2014;17(2):29-40. (In Russ).] DOI:10.14341/DM2014229-40
4. Seifarth C, Schehler B, Schneider H. Effectiveness of Metformin on Weight Loss in Non-Diabetic Individuals with Obesity. Exp Clin Endocrinol Diabetes. 2012;121(01):27-31. DOI:10.1055/s-0032-1327734
5. Dong Z, Xu L, Liu H, et al. Comparative efficacy of five long-term weight loss drugs: quantitative information for medication guidelines. Obes Rev. 2017;18(12):1377-1385. DOI:10.1111/obr.12606
6. Тюренков И.Н., Бакулин Д.А., Куркин Д.В., Волотова Е.В. Кардиоваскулярные эффекты инкретиномиметиков и их терапевтический потенциал // Вестник Российской академии медицинских наук. – 2017. – Т. 72. – № 1. – С. 66-75. [Tiurenkov IN, Kurkin DV, Bakulin DA, Volotova EV. Cardiovascular effects of incretin-based therapies and their therapeutic potential. Annals of the Russian academy of medical sciences. 2017;72(1):66-75 (In Russ).] doi: 10.15690/vramn732
7. Bahne E, Hansen M, Brønden A, et al. Involvement of glucagon-like peptide-1 in the glucose-lowering effect of metformin. Diabetes, Obes Metab. 2016;18(10):955-961. DOI:10.1111/dom.12697
8. Ritter K, Buning C, Halland N, et al. G Protein-Coupled Receptor 119 (GPR119) Agonists for the Treatment of Diabetes: Recent Progress and Prevailing Challenges. J Med Chem. 2016;59(8):3579-3592. DOI:10.1021/acs.jmedchem.5b01198
9. Al-Barazanji K, McNulty J, Binz J, et al. Synergistic Effects of a GPR119 Agonist with Metformin on Weight Loss in Diet-Induced Obese Mice. J Pharmacol Exp Ther. 2015;353(3):496-504. DOI:10.1124/jpet.115.222828
10. Park YH, Choi HH, Lee DH, et al. YH18421, a novel GPR119 agonist exerts sustained glucose lowering and weight loss in diabetic mouse model. Arch Pharm Res. 2017;40(6):772-782. DOI:10.1007/s12272-017-0925-y
11. Патент РФ на изобретение №2576037/ 28.11.2014. Бюл. №6. Иващенко А.В., Иващенко А.А., Кравченко Д.В., и др. Замещенные 4-{[4-(3,3-диоксидо-1,3-бензоксатиол-6-ил)арилокси]метил} пиперидины как агонисты рецепторов GPR119, фармацевтическая композиция, способы их получения и применения. [Patent RUS №2576037/ 28.11.2014. Byul. №6. Ivashchenko AV, Ivashchenko AA, Kravchenko DV., et al. Substituted 4-{[4-(3,3-dioxido-1,3-benzoxathiol-6-yl)aryloxy]methyl}piperidines as GPR119 receptor agonists, pharmaceutical composition, methods for producing and using them. (In Russ).] Доступно по: http://www.findpatent.ru/patent/257/2576037.html. Ссылка активна на 20.11.2019
12. Тюренков И.Н., Куркин Д.В., Бакулин Д.А., и др. Сравнение гипогликемической активности нового агониста GPR119 и ингибитора ДПП-4 ситаглиптина // Проблемы Эндокринологии. - 2016. - Т. 62. - №1. - C. 38-43. [Tyurenkov IN, Kurkin DV, Bakulin DA, et al. Comparing hypoglycemic activity of novel GPR119 agonist and DPP-4 inhibitor sitagliptin. Problems of Endocrinology. 2016;62(1):38-43. (In Russ).] DOI:10.14341/probl201662138-43
13. Тюренков И.Н., Куркин Д.В., Бакулин Д.А. и др. Влияние агониста рецептора GPR119 на уровень глюкозы, массу тела и потребление пищи у животных с ожирением, обусловленным высокожировой и углеводной диетой // Проблемы эндокринологии. – 2016. – Т. 62. – №1. – С. 44-49. [Tiurenkov IN, Kurkin DV, Bakulin DA, et al. The influence of novel GPR119 agonist on body weight, food intake and glucose metabolism in obesity rats provoked high-fat and -carbohydrate diet. Problems of Endocrinology. 2016;62(1):44-49. (In Russ).] DOI:10.14341/probl201662144-49
14. Решетняк М.В., Хирмаков В.Н., Зыбина Н.Н., и др. Модель метаболического синдрома, вызванного кормлением фруктозой: патологические взаимосвязи обменных нарушений. // Медицинский академический журнал. – 2011. – Т.11. – №3. – С. 23–27. [Reshetnyak MV, Khirmanov VN, Zybina NN, et al. Fructose-fed model of the metabolic syndrome: pathogenetic relationships between metabolic disorders. Meditsinskiĭ akademicheskiĭ zhurnal. 2011;11(3):23–27. (In Russ).]
15. Ismail TA, Soliman MM, Nassan MA. Molecular and immunohistochemical effects of metformin in a rat model of type 2 diabetes mellitus. Exp Ther Med. 2015;9(5):1921-1930. DOI:10.3892/etm.2015.2354
16. Poucher SM, Cheetham S, Francis J, et al. Effects of saxagliptin and sitagliptin on glycaemic control and pancreatic β-cell mass in a streptozotocin-induced mouse model of type 2 diabetes. Diabetes, Obes Metab. 2012;14(10):918-926. DOI:10.1111/j.1463-1326.2012.01619.x
17. Shah U, Edmondson S, Szewczyk JW. Chapter 7. Recent Advances in the Discovery of GPR119 Agonists. In: Jones RM, ed. New Therapeutic Strategies for Type 2 Diabetes. Cambridge: Royal Society of Chemistry; 2012. p.:177-214. DOI:10.1039/9781849735322-00177
18. Cabou C, Burcelin R. GLP-1, the Gut-Brain, and Brain-Periphery Axes. Rev Diabet Stud. 2011;8(3):418-431. DOI:10.1900/RDS.2011.8.418
19. Flock G, Holland D, Seino Y, Drucker DJ. GPR119 Regulates Murine Glucose Homeostasis Through Incretin Receptor-Dependent and Independent Mechanisms. Endocrinology. 2011;152(2):374-383. DOI:10.1210/en.2010-1047
20. Tyurenkov IN, Kurkin D V., Bakulin DA, et al. ZB-16, a Novel GPR119 Agonist, Relieves the Severity of Streptozotocin–Nicotinamide-Induced Diabetes in Rats. Front Endocrinol (Lausanne). 2017;8(2):374-383. DOI:10.3389/fendo.2017.00152
Supplementary files
|
|
1. Figure 1. The chemical structure of ZB-16. | |
| Subject | ||
| Type | Other | |
View
(51KB)
|
Indexing metadata ▾ | |
|
|
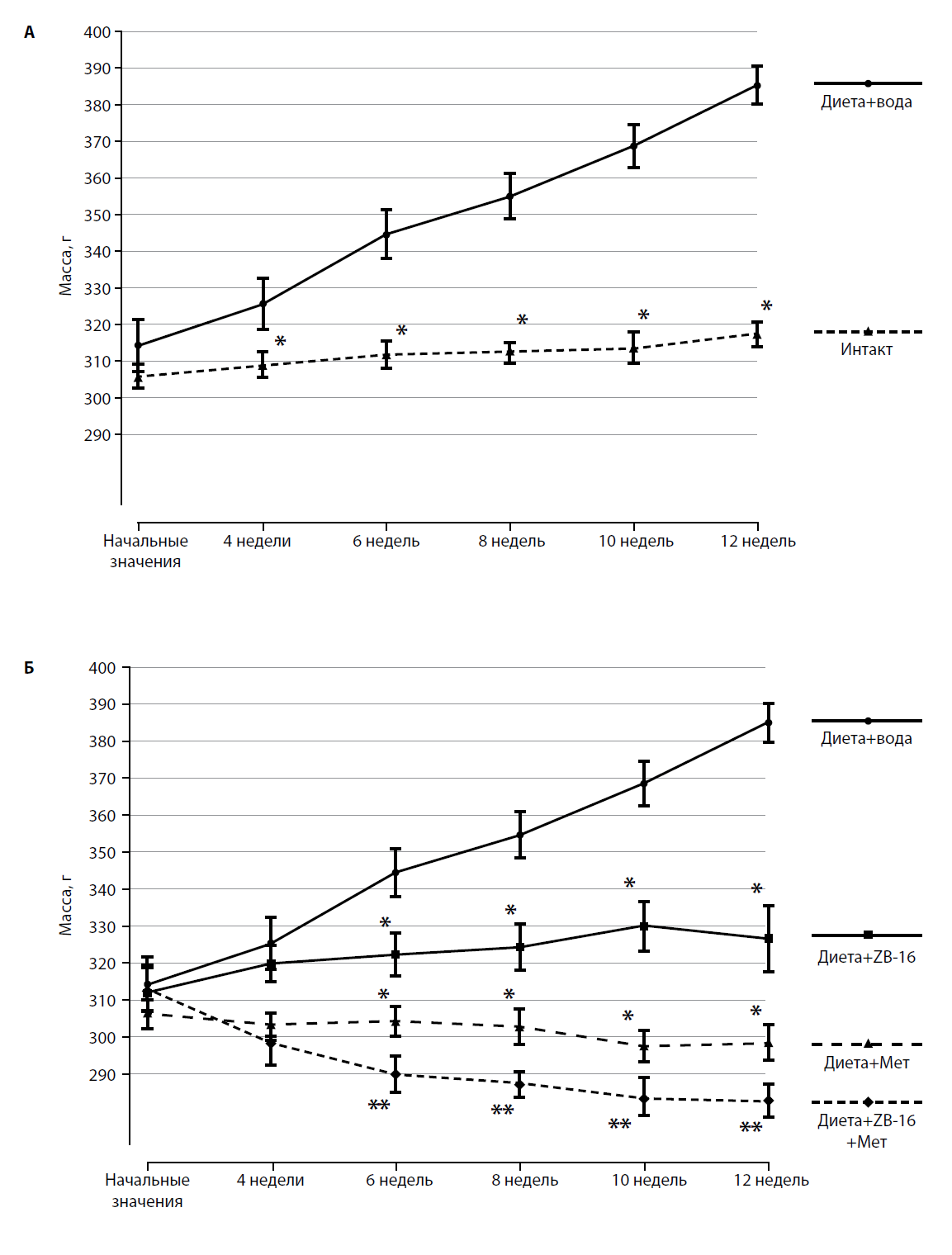
2. Figure 2. The mass of animals kept for 12 weeks in a high-calorie and fat diet and treated with drinking water (A) and ZB-16 with metformin (B). | |
| Subject | ||
| Type | Other | |
View
(98KB)
|
Indexing metadata ▾ | |
|
|
3. Figure 2 (continued). The mass of animals kept for 12 weeks in a high-calorie and fatty diet and treated with ZB-16 with sitagliptin (B). The mass of feed consumed in 3 days on a high-calorie and fatty diet by animals that received drinking water, ZB-16, comparison preparations and their combinations (G). | |
| Subject | ||
| Type | Other | |
View
(119KB)
|
Indexing metadata ▾ | |
|
|
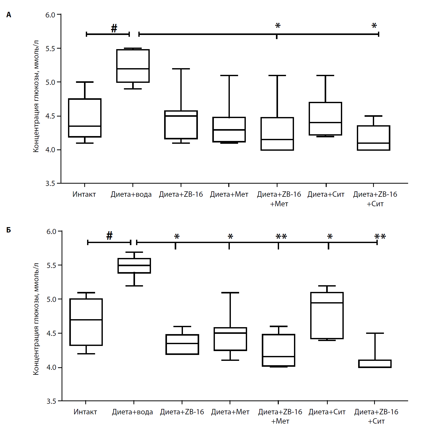
4. Figure 3. The level of fasting glycemia in rats at 8 (A) and 12 weeks (B) after the start of a high-calorie and fatty diet. | |
| Subject | ||
| Type | Other | |
View
(82KB)
|
Indexing metadata ▾ | |
|
|
5. Figure 3 (continued). The level of glycemia 2 hours after glucose loading (B) and the area under the curve "glycemia level-time" (G) during the oral glucose tolerance test 12 weeks after the start of the diet; | |
| Subject | ||
| Type | Other | |
View
(77KB)
|
Indexing metadata ▾ | |
Review
For citations:
Tyurenkov I.N., Kurkin D.V., Bakulin D.A., Volotova E.V., Logvinova E.O., Avdienko K.A., Shafeev M.A. Influence of novel GPR119 agonist in combination with metformin and sitagliptin on glycemia, body weight and food intake in rats fed a high-fat diet. Obesity and metabolism. 2019;16(3):46-54. (In Russ.) https://doi.org/10.14341/omet9422
This work is licensed under a Creative Commons Attribution-NonCommercial-NoDerivatives 4.0 International License (CC BY-NC-ND 4.0).




































