Перейти к:
Клинико-биохимические изменения и их коррекция у больных с метаболическим фенотипом остеоартроза и инсомнией
https://doi.org/10.14341/omet12888
Аннотация
Обоснование. В настоящее время ОА считается полиэтиологическим заболеванием, где на основе ведущей роли конкретного фактора риска выделяют несколько фенотипов. Предполагается, что каждому клиническому фенотипу соответствуют свойственные только ему фундаментальные изменения со стороны различных органов и систем. До недавнего времени основное внимание в изучении обменных процессов при остеоартрозе (ОА) уделялось состоянию хряща, однако все больший интерес сосредотачивается на биохимии субхондральной кости, ее микроархитектонике и сигнальной функции. Современные экспериментальные доказательства хондро-остеогенной активности позволяют рассматривать мелатонин в качестве потенциального лекарственного средства при различных видах костно-суставной патологии.
Цель. Изучить клинико-биохимические изменения и эффекты препарата мелатонина при метаболическом фенотипе ОА в сочетании с инсомнией.
Материалы и методы. В исследовании приняло участие 36 пациентов. Участники были разделены на 3 группы: контрольная группа 1 – пациенты без суставной патологии, нарушений качества сна и нормальным индексом массы тела; опытная группа 2 - больные с метаболическим фенотипом ОА, инсомнией и базовым лечением 30 дней; опытная группа 3 - больные с метаболическим фенотипом ОА и инсомнией, в базовое лечение которых включен препарат мелатонина (Мелаксен®) в дозировке 3 мг 30 дней
У испытуемых проводился сбор жалоб и анамнеза, а также общеклинический и ортопедический осмотр. В сыворотке крови определяли маркеры костно-хрящевого метаболизма, а также показатели окислительно-восстановительного статуса. Пациентам было предложено ответить на вопросы клинических шкал по оценке качества сна, функционального состояния суставов и качества жизни
Результаты. Наблюдались статистически значимые различия между исходными уровнями кислой фосфатазы (КФ), костного изофермента щелочной фосфатазы (КЩФ) и кальция (Са) контрольной и опытных групп. Однако уровни хрящевого олигоматриксного пептида (COMP) не различались. Исходная активность супероксиддисмутазы (СОД) был несколько ниже у пациентов 2 и 3 групп, а уровень окислительной модификации белка (ОМБ) показал определенные различия в уровнях активности процессов спонтанной ОМБ. По результатам скрининга на выявление инсомнии среди пациентов с метаболическим фенотипом ОА (2 и 3 группы) отмечались статистически значимые инсомнологические нарушения по сравнению с контрольной группой (1 группа), а также значимые различия по критериям боли, симптомов, активности и качеством жизни в целом по шкалам KOOS и SF-36. Корреляционный анализ показал умеренные корреляционные связи с биохимическими показателями пациентов групп метаболического фенотипа ОА (группа 2 и 3). После проведенного лечения уровень активности СОД сыворотки крови в группе 2 и 3 показал статистически значимое снижение. Выявлено повышение показателей ОМБ у пациентов 2 группы после лечения, а параметры ОМБ у группы, получавшей препарат, не показали существенной динамики. Отмечено определенное повышение уровня Са и уменьшение активности ЩФ и КЩФ у пациентов группы 3 в сравнении с пациентами группы 1 и 2 после лечения, но вместе с тем не отмечалось какой-либо динамики маркера хрящевой деструкции СОМР. Отмечалась положительная динамика по спектру критериев шкалы KOOS и SF-36 в обеих опытных группах, однако в группе 3 прослеживалось более выраженное уменьшение болевого синдрома (P), симптомов (S) и увеличение уровней повседневной активности (A) и общего суммарного показателя (Sum). В группе 2 стандартного лечения проблемы с качеством и количеством сна оставались на прежнем уровне.
Заключение. У пациентов с наиболее выраженными показателями клинических проявлений ОА наблюдались более активные процессы костного ремоделирования и окислительно-восстановительных изменений. Чем выше уровень маркеров костной резорбции, тем больше выраженность клинического течения у пациентов с остеоартрозом, а качество сна в целом хуже. Добавление в схему лечения препарата мелатонина было связано с уменьшением активности в сыворотке крови костного изофермента щелочной фосфатазы, кислой фосфатазы, повышением уровня кальция, а также с улучшением сна и клинических симптомов.
Для цитирования:
Шодиев Д.Р., Звягина В.И., Рябова М.Н., Дмитриева М.Н. Клинико-биохимические изменения и их коррекция у больных с метаболическим фенотипом остеоартроза и инсомнией. Ожирение и метаболизм. 2023;20(2):104-114. https://doi.org/10.14341/omet12888
For citation:
Shodiev D.R., Zvyagina V.I., Ryabova M.N., Dmitrieva M.N. Clinical and biochemical changes and their correction in patients with metabolic phenotype of osteoarthritis and insomnia. Obesity and metabolism. 2023;20(2):104-114. (In Russ.) https://doi.org/10.14341/omet12888
ОБОСНОВАНИЕ
Число больных остеоартрозом (ОА) будет увеличиваться по мере роста продолжительности жизни мирового населения, а поскольку старение влияет на прогрессирование заболевания, то проявления ОА с возрастом становятся более серьезными. Распространенность ОА с преимущественным вовлечением в процесс крупных суставов на территории Российской Федерации составляет 13% [1]. По данным ряда других Европейских эпидемиологических исследований, она колеблется от 2,0 до 42,4% при использовании для диагностики клинических критериев, от 16,3 до 33,0% — рентгенологических критериев и от 1,5 до 15,9% — при комбинации клинических и рентгенологических критериев [2]. Распространенность ОА суставов различной локализации отличается в зависимости от изучаемой популяции, эпидемиологического метода и особенностей диагностических критериев. Однако ее объединяют схожие клинические проявления в виде боли и потери функции суставов, а существующие методы лечения позволяют лишь замедлить и отсрочить прогрессирование ОА.
В настоящее время ОА считается заболеванием с несколькими различимыми клиническими фенотипами: посттравматический, болевой, связанный со старением, генетический и ОА, ассоциированный с метаболическим синдромом [3]. Фенотип OA можно представить как набор наблюдаемых признаков (этиологических факторов, факторов риска), которые могут идентифицировать и охарактеризовать подгруппу в определенной популяции. За каждым клиническим фенотипом скрываются фундаментальные изменения со стороны различных органов и систем. До недавнего времени основное внимание в изучении обменных процессов при ОА уделялось функции хряща, однако все больший интерес сосредотачивается на биохимии субхондральной кости, ее микроархитектоники и сигнальной функции. Взаимосвязанные обменные процессы хряща с подлежащей костью являются необходимым условием их нормального функционирования, которое при ОА нарушается, что характеризуется аномальными процессами ремоделирования.
Гомеостаз костно-хрящевой ткани регулируется анаболическими и катаболическими путями, а управляющий контроль отводится эндокринной системе, где определенное значение имеет гормон шишковидной железы — мелатонин. Мелатонин проявляет регуляторные свойства, связываясь со специфическими рецепторами (МТ-1 и МТ-2) и далее через внутриклеточные мишени выступает в качестве регулятора клеточных функций [4]. В хрящевой ткани мелатонин препятствует ее деградации и последующей сосудистой инвазии, а недавние эксперименты in vitro показали ингибирование остеокластогенеза и антирезорбтивную активность мелатонина [5]. Показано, что костная масса значительно уменьшается после пинеалэктомии [6], а терапия мелатонином снижает риск развития остеопороза и нормализует процессы костного ремоделирования при экспериментальном рассеянном склерозе [7]. Ряд исследований показывают нарушения в суточной секреции мелатонина у пациентов с избыточным весом, а изменения его базального уровня рассматриваются как основная причина гормонально-метаболических нарушений [8][9], что потенциально может сопровождаться изменением метаболизма костно-хрящевой ткани. Но успехи положительного влияния мелатонина в экспериментальных условиях in vitro или животных моделях объясняются более высокими дозировками препарата, а его применение и изучение биохимических изменений при метаболическом фенотипе ОА является неизученным. Поэтому использование мелатонина в качестве дополнительного компонента лечения может рассматриваться как потенциальный терапевтический вариант при ОА.
ЦЕЛЬ ИССЛЕДОВАНИЯ
Изучить клинико-биохимические изменения и эффекты препарата мелатонина при метаболическом фенотипе ОА в сочетании с инсомнией.
МАТЕРИАЛЫ И МЕТОДЫ
Место и время проведения исследования
Место проведения: г. Рязань.
Время исследования: декабрь 2020–сентябрь 2021 гг.
Изучаемые популяции (одна или несколько)
Две популяции: пациенты с метаболическим фенотипом ОА и инсомнией; здоровые пациенты без суставной патологии, серьезных нарушений качества сна с нормальным индексом массы тела. Настоящее исследование является продолжением работы по изучению метаболического фенотипа ОА и разделено по отдельным исследуемым вопросам, отражающим данные одной и той же выборки пациентов [10].
Популяция 1: «пациенты с метаболическим фенотипом ОА и инсомнией».
Критерии включения. Диагноз «ОА коленного сустава» устанавливался согласно критериям Европейской коллегии ревматологов (EULAR) 2010 г. [11]. Наличие критериев метаболического синдрома (МС) (окружность талии (ОТ) >80 см у женщин и >94 см у мужчин, ИМТ>30) и двух из пяти критериев: 1) артериальная гипертензия (артериальное давление ≥140/90 мм рт. ст.); 2) повышение уровня триглицеридов (ТГ) ≥1,7 ммоль/л; 3) снижение уровня липопротеидов высокой плотности (ЛПВП) <1,0 ммоль/л у мужчин и <1,2 ммоль/л у женщин; 4) повышение уровня липопротеидов низкой плотности (ЛПНП) >3,0 ммоль/л; 5) гипергликемия натощак (уровень сахара в крови ≥6,1 ммоль/л) или нарушение толерантности к глюкозе (показатель в плазме крови через 2 ч после нагрузки глюкозой ≥7,8, но ≤11,1 ммоль/л). Инсомнологические нарушения по критериям клинических шкал оценки качества и количества сна.
Популяция 2: «здоровые пациенты».
Критерии включения. Отсутствие суставной патологии по критериям Европейской коллегии ревматологов (EULAR) 2010 г.; отсутствие критериев МС; отсутствие серьезных инсомнологических нарушений по критериям клинических шкал оценки качества и количества сна.
Критерии исключения для обеих популяций. Критерии исключения охватывали заболевания, влияющие на исследуемый сустав, такие как системные воспалительные заболевания суставов, предшествующий сепсис, остеонекроз, хроническое или недавнее употребление пероральных кортикостероидов, нестероидных противовоспалительных препаратов, глюкозамина или хондроитина; недавние (<3 мес) внутрисуставные инъекции кортикостероидов, гиалуроновой кислоты или других протезов синовиальной жидкости. Серьезные соматические заболевания в стадии декомпенсации (например, неконтролируемый диабет, ВИЧ-инфекция или артериальная гипертензия), являющиеся противопоказаниями к участию.
Способ формирования выборки из изучаемой популяции (или нескольких выборок из нескольких изучаемых популяций)
Использовалась простая случайная выборка.
Дизайн исследования
Одноцентровое экспериментальное проспективное открытое контролируемое исследование.
Описание медицинского вмешательства (для интервенционных исследований)
Консервативное лечение включало медикаментозную терапию (витамины группы В не более 10 дней), нестероидные противовоспалительные препараты по потребности, пентоксифиллин (4 нед у пациентов контрольной группы), мидокалм (не более 10 дней), физиотерапевтические процедуры, массаж нижних конечностей, лечебную гимнастику по методике артрозов. В опытной группе в схему консервативного лечения был включен препарат мелатонина (Мелаксен®) в дозировке 3 мг 30 дней. Здоровые пациенты были набраны из числа добровольцев. У всех испытуемых проводился сбор анамнеза, жалоб, общеклинический и ортопедический осмотр, измерялись рост, вес, рассчитывался ИМТ, толщина кожной складки и ОТ. В сыворотке крови определяли концентрацию общего холестерина (ОХ), холестерина ЛПВП, холестерина ЛПНП и триглицеридов (ТГ), рассчитывали индекс атерогенности.
Методы
В начале исследования и после 30 дней консервативной терапии определяли маркеры костно-хрящевого метаболизма. Биохимические показатели определялись в сыворотке крови. Образцы крови были собраны после ночного голодания от всех участников. Образцы венозной крови были центрифугированы при 3000 g в течение 15 минут. После отбора пробы хранили замороженными при −20°C до испытания. Образцы сыворотки не хранились более 2 мес и размораживались при комнатной температуре. Хрящевой олигоматриксный пептид (COMP) измеряли методом ИФА с помощью набора COMP EIA (Immunodiagnostic systems (IDS), Maryland, U.S.A). Анализ представляет собой твердофазный иммуноферментный анализ моноклональных антител. Образцы, содержащие хрящевой олигоматриксный пептид, реагируют с раствором, содержащим меченное биотином специфичное моноклональное антитело. Реакция протекает в пластиковых лунках (твердая фаза), покрытых стрептавидином и заключенных в пластиковую рамку. После образования комплекса антиген/антитело микропланшет промывают для удаления несвязанных антигенов, а затем инкубируют с ферментным субстратом. Величину субстрата определяют колориметрически, измеряя поглощение остановленной реакции при длине волны 450 нм в ридере для микропланшетов. Поглощение пропорционально концентрации хрящевого олигоматриксного пептида в исследуемом образце. Костный изофермент щелочной фосфатазы (КЩФ) определяли методом ИФА с помощью набора Ostase BAP EIA (Immunodiagnosticsystems (IDS), Maryland, U.S.A). Анализ представляет собой твердофазный иммуноферментный анализ моноклональных антител. Образцы, содержащие КЩФ, реагируют с раствором, содержащим меченное биотином специфичное моноклональное антитело. Реакция протекает в пластиковых лунках (твердая фаза), покрытых стрептавидином и заключенных в пластиковую рамку. После образования комплекса антиген/антитело микропланшет промывают для удаления несвязанных антигенов, а затем инкубируют с ферментным субстратом. Величину субстрата определяют колориметрически, измеряя поглощение остановленной реакции при длине волны 450 нм. в ридере для микропланшетов. Поглощение пропорционально концентрации КЩФ в исследуемом образце. Активность кислой фосфатазы (КФ) в образцах измеряли унифицированным методом по «конечной точке», основанным на количественном определении продукта ферментативного расщепления п-нитрофенилфосфата — п-нитрофенола (коммерческий набор «Витал Диагностикс»). Кальций (Са) измеряли спектрофотометрическим методом с использованием набора реагентов для определения кальция в биологических жидкостях с о-крезолфталеинкомплексоном («Агат», Россия). Пациентам было предложено ответить на вопросы клинических шкал по оценке качества сна (шкала Эпворта, Левина, Питсбургский опросник качества сна (PSQI)), функционального состояния суставов (KOOS, Лекен) и качества жизни (SF-36).
Статистический анализ
Статистическая обработка данных проводилась с помощью программы Statsoft Stаtistica 12.0, GraphPad Prism 9. Соответствие выборок нормальному распределению проверяли с помощью критерия Шапиро–Уилка и Колмогорова–Смирнова с построением нормального вероятностного графика. Так как распределение величин показателей не соответствовало нормальному, для определения статистической значимости в независимых группах использовали критерий множественного сравнения Краскела–Уоллиса, с последующим попарным сравнением с помощью критерия Манна–Уитни, а в зависимых группах — критерий Уилкоксона и тест Фридмана. Количественные данные представлены в виде медианы и интерквартильного размаха Me (25–75 перцентиль). Корреляционный анализ проводили с использованием коэффициента Спирмена. Статистически значимыми считали отличия при р≤0,05.
Этическая экспертиза
Исследование одобрено локальным этическим комитетом ФГБОУ ВО «РязГМУ» протокол №4 от 08.12.2020 г. Все участники предоставили письменное информированное согласие.
РЕЗУЛЬТАТЫ
В исследовании приняли участие 36 пациентов, среди них 33 женщины и 3 мужчин. Участники были случайным образом разделены на 3 группы.
Группа здоровых пациентов — пациенты без суставной патологии, нарушений качества сна с нормальным индексом массы тела.
Контрольная группа (К) — пациенты с метаболическим фенотипом ОА, инсомнией и консервативным лечением в течение 30 дней.
Опытная группа (О) — пациенты с метаболическим фенотипом ОА и инсомнией, в консервативное лечение которых включен препарат мелатонина (Мелаксен®) в дозировке 3 мг 30 дней.
Средний возраст участников составил 59 [ 57,25–65,75] лет в группе здоровых пациентов и 60,5 [ 59–63,5] лет в группах с метаболическим фенотипом ОА. Медиана значений ИМТ у пациентов с метаболическим фенотипом ОА составила 36,35 [ 32,36–38–37], ОТ — 111,5 [ 103,5–124,75] см, а процентное соотношение жира в организме — 46,52 [ 43,9–49,65]%. Рентгенологические критерии ОА в группах метаболического фенотипа ОА соответствовали II–III стадии по Kellgren–Lawrence. Анализ клинических проявлений ОА по регионально адаптированной шкале KOOS [12] (табл. 1) и опроснику SF-36 (табл. 2) у пациентов с метаболическим фенотипом ОА показал выраженный болевой синдром, сниженную повседневную активность, ограниченную спортивную нагрузку и в целом низкое качество жизни. Различия в показателях клинических шкал состояния суставов между опытной группой и группой контроля наблюдались по критерию боли (NormP) регионально адаптированной шкалы KOOS. По шкале Лекена и критериям опросника SF-36, также включающим в себя оценку болевого компонента, различий между этими группами не выявлено.
Таблица 1. Исходные нормализованные показатели регионально адаптированной шкалы KOOS (баллы) контрольной и опытной групп
Table 1. Indicators initial normalized of the regionally adapted scale KOOS (points) of the control and experimental groups
|
№ |
NormP1 |
NormS2 |
NormA3 |
NormSP4 |
NormLQ5 |
NormSum6 |
|
Группа К |
63,88 [ 61,11–66,66] |
55,35 [ 42,85–57,14] |
43,38 [ 35,29–44,11] |
30 [ 15–30] |
37,5 [ 12,5–37,5] |
45,83 [ 42,85–46,42] |
|
Группа О |
47,22 [ 40,97–50,69] р<0,01 |
44,64 [ 32,14–50] р=0,064 |
48,52 [ 42,64–51,47] р=0,391 |
22,51 [ 17,5–40] р=0,488 |
31,25 [ 18,75–37,5] р=0,291 |
42,55 [ 37,35–46,57] р=0,262 |
Примечание. р — сравнение с группой контроля. Максимальный балл 100.
NormP1 — уровень боли; NormS2 — симптомы; NormA3 — общая активность; NormSP4 — спортивная активность; NormLQ5 — качество жизни; NormSum6 — общий индекс.
Note. p — comparison with the control group. The maximum score is 100.
NormP1 — pain level; Norms2 — symptoms; NormA3 — general activity; NormSP4 — sports activity; NormLQ5 — quality of life; NormSum6 — general index.
Таблица 2. Исходные показатели шкалы SF-36 (баллы) контрольной и опытной групп
Table 2. Indicators initial of the SF-36 scale (points) of the control and experimental groups
|
№ |
PF1 |
RP2 |
BP3 |
GH4 |
VT5 |
SF6 |
RE7 |
|
Группа К |
40 |
0 |
41 |
45 |
47,5 |
50 |
0 |
|
Группа О |
30 |
0 |
41 |
35 |
40 |
50 |
0 |
Примечание. р — сравнение с группой контроля. Максимальный балл 100.
PF1 — физическое функционирование; RP2 — ролевое функционирование, обусловленное физическим состоянием; BP3 — интенсивность боли; GH4 — общее состояние здоровья; VT5 — жизненная активность; SF6 — социальное функционирование; RE7 — ролевое функционирование, обусловленное эмоциональным состоянием.
Note. p — comparison with the control group. The maximum score is 100.
PF1 — physical functioning; RP2 — role functioning, due to the physical state; BP3 — pain intensity; GH4 — general health; VT5 — vital activity; SF6 — social functioning; RE7 — role functioning, due to the emotional state.
По результатам обследования на выявление инсомнологических нарушений среди пациентов контрольной и опытной групп отмечались статистически значимые нарушения сна в сравнении с группой здоровых пациентов по всем шкалам оценки качества и количества сна (табл. 3). Пациенты демонстрировали склонность к дневной сонливости, неудовлетворенность продолжительностью сна и частые ночные пробуждения, которые могут быть обусловлены болевым синдромом и симптомами ОА. Между контрольной и опытной группами статистически значимых отличий по критериям шкал сна выявлено не было.
Таблица 3. Инсомнологические показатели шкал субъективной оценки количества и качества сна (баллы) контрольной и опытной групп
Table 3. The scales of subjective assessment sleep (points) of the control and experimental groups
|
Группа |
Шкала PSQI |
Шкала Левина |
Шкала Эпворта |
|
Группа К |
9 |
18 |
8,5 |
|
Группа О |
9,5 |
17 |
9 |
Примечание. р — сравнение с группой контроля.
Note. p — comparison with the control group.
Определяемый нами спектр костно-хрящевых метаболитов показал статистически значимые различия между здоровыми пациентами и пациентами контрольной и опытной групп (табл. 2). Наблюдалось повышение уровней КФ, КЩФ и снижение уровня Са сыворотки крови в группах метаболического фенотипа ОА (табл. 4). В опытной группе уровень Са сыворотки крови был несколько ниже контрольной группы, по остальным показателям костно-хрящевого метаболизма различий с контрольной группой не выявлено.
Таблица 4. Исходные уровни активности ферментов и метаболитов костно-хрящевого обмена сыворотки крови контрольной и опытных групп
Table 4. Levels initial activity enzymes and metabolites of bone and cartilage metabolism in the blood serum of the control and experimental groups
|
№ |
СОМР, нг/мл |
КФ, нмоль/(с*л) |
КЩФ, ммоль/л |
Са, ммоль/л |
|
Группа здоровых пациентов |
1268,88 |
336,34 |
21,47 |
2,01 |
|
Группа К |
966,11 |
555,51 |
24,53 |
1,58 |
|
Группа О |
1153,88 |
678,19 |
24,57 |
1,29 |
Примечание. р — сравнение с группой здоровых пациентов; *р — сравнение с контрольной группой.
Note. p — comparison with a group of healthy patients; *p — comparison with the control group.
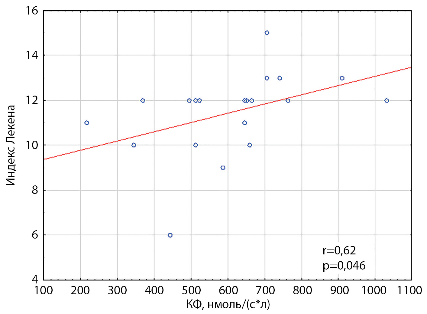
Следующим этапом анализа популяции метаболического фенотипа ОА (контрольная и опытная группы) было выявление корреляционных связей между исходными биохимическими показателями и результатами клинических шкал. Уровень активности фермента КФ прямо коррелировал с тяжестью ОА по альгофункциональной шкале Лекена (рис. 1) и неудовлетворительным качеством сна по шкале Эпворта (рис. 2).

Рисунок 1. Корреляционный анализ индекса Лекена и уровня кислой фосфатазы (КФ) у больных с метаболическим фенотипом ОА (группы К и О).
Figure 1. Correlation analysis of the Leken’s functional index and the level of acid phosphatase (AP) in patients with the metabolic phenotype of OA (groups К и О).

Рисунок 2. Корреляционный анализ шкалы сна Эпворта и уровня кислой фосфатазы (КФ) у больных с метаболическим фенотипом ОА (группы К и О).
Figure 2. Correlation analysis of the Epworth’s sleep scale and the level of acid phosphatase (AP) in patients with the metabolic phenotype of OA (groups К и О).
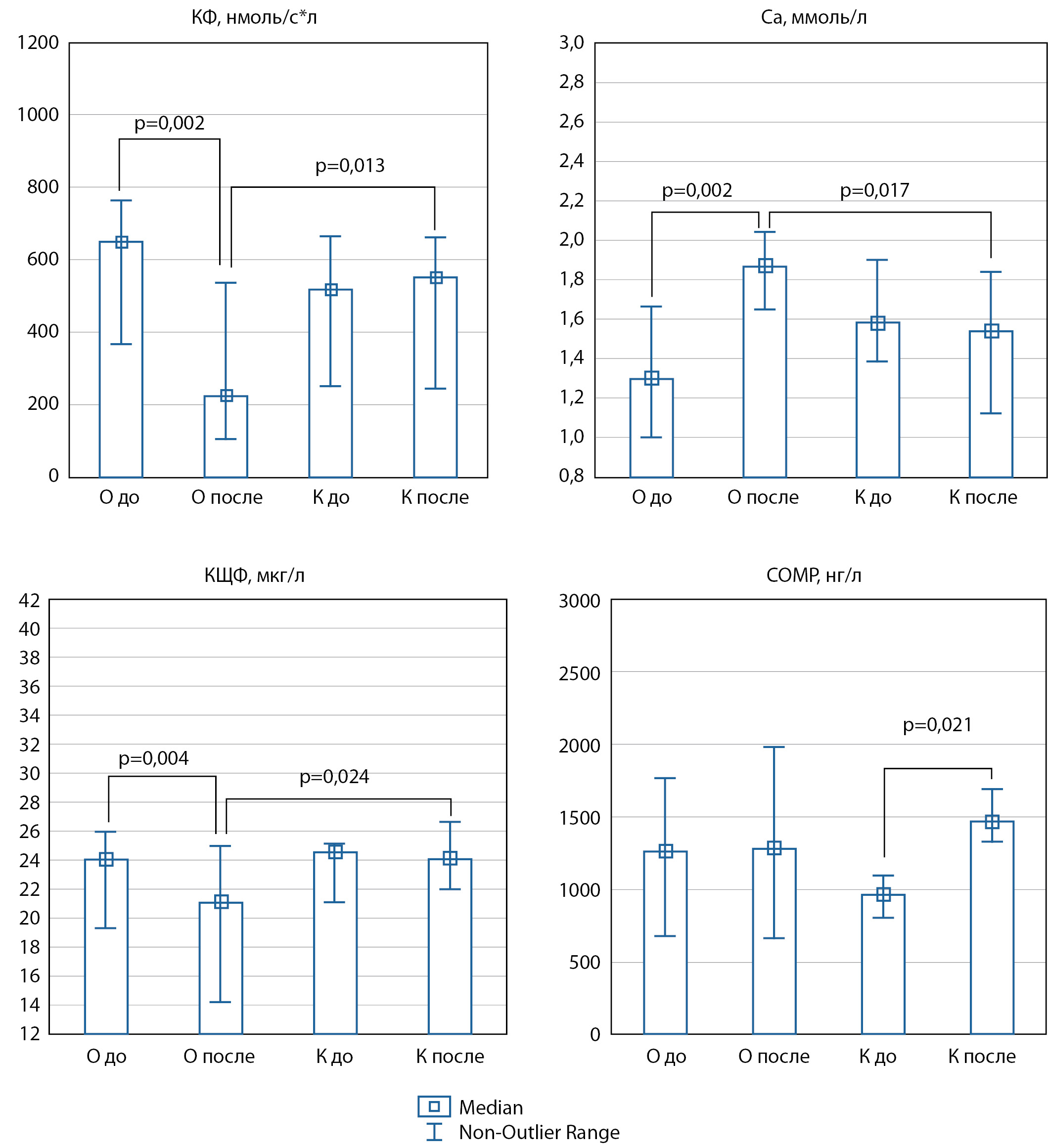
По прошествии четырехнедельного курса консервативного лечения пациенты контрольной и опытной групп прошли повторное клиническое обследование с оценкой функционального состояния суставов по клиническим шкалам боли, симптомов и качества жизни. Повторно оценивались качество сна, его продолжительность и ночные пробуждения. Определяли показатели костно-хрящевого метаболизма сыворотки крови. Отмечена определенная динамика маркеров костной резорбции у пациентов опытной группы после лечения, что проявлялось повышением уровня Са, снижением активности КЩФ и КФ. Показатель хрящевой деструкции COMP по окончании лечения у опытной группы не изменился (рис. 3).

Рисунок 3. Динамика костно-хрящевых метаболитов пациентов контрольной и опытной групп.
Figure 3. Dynamics of bone and cartilage metabolites of the control and experimental groups.
У пациентов контрольной группы показатели костного метаболизма (КЩФ, КЩ, Са) после проведенного курса лечения не изменялись. Однако обнаружено увеличение уровня маркера хрящевой деструкции СОМР сыворотки крови.
Анализ регионально адаптированной шкалы KOOS у пациентов опытной группы, принимавшей препарат мелатонина, показал снижение тяжести клинического течения ОА по ряду критерий. Выявлено уменьшение боли (P) и симптомов (S), а уровень повседневной активности (A) и суммарный показатель качества жизни (Sum) после лечения увеличились. В контрольной группе, чья схема консервативного лечения не включала препарат мелатонина, только симптомы (S) шкалы KOOS показали умеренное снижение, тогда как изменения остальных показателей, в том числе суммарного (NormSum), не были статистически значимыми (табл. 5).
Таблица 5. Нормализованные показатели регионально адаптированной шкалы KOOS (баллы) после лечения
Table 5. Indicators normalized of the regionally adapted scale KOOS (points) after treatment
|
№ |
NormP |
NormS |
NormA |
NormSum |
||||
|
до |
после |
до |
после |
до |
после |
до |
после |
|
|
Группа К |
63,88 |
68,05 |
55,35 |
67,85 |
43,38 |
44,85 |
45,83 |
51.48 |
|
Группа О |
47,22 |
56,94 |
44,64 |
50 |
48,52 |
54,41 |
42,55 |
51,19 |
Примечание. * р — сравнение внутри группы.
Note. * p — comparison within the group.
При анализе шкалы субъективной оценки качества жизни SF-36 опытной группы суммарный показатель физического компонента здоровья (PH) после лечения увеличился как внутри группы, так и в сравнении с группой контроля, а уровень психологического компонента (МН) не претерпел изменений. В контрольной группе отмечалось увеличение показателя ментального здоровья (МН) только внутри группы (p<0,01) с 38,9 [ 34,93–44,92] до 46,44 [ 43,83–54,24] балла. Показатель физического компонента здоровья не изменился (рис. 4).

Рисунок 4. Динамика суммарного компонента физического здоровья шкалы SF-36 пациентов контрольной и опытной групп.
Figure 4. Dynamics of the total component of physical health SF-36 scale in patients of the control and experimental groups.
Инсомнологические нарушения, которые были выявлены при скрининге у всех пациентов с метаболическим фенотипом ОА, по результатам лечения нормализовались только в опытной группе, принимавшей препарат мелатонина. Выявлены изменения показателей сна по шкале Эпворта, Левина и PSQI как внутри группы, так и в сравнении с группой контроля с уменьшением периодов дневной сонливости, ночных пробуждений и увеличением продолжительности сна. В контрольной группе проблемы с качеством и количеством сна оставались на прежнем уровне по всем трем шкалам (табл. 6).
Таблица 6. Инсомнологические показатели шкал субъективной оценки количества и качества сна (баллы) опытных групп после лечения
Table 6. The scales of subjective assessment sleep (points) of the experimental groups after treatment
|
№ |
Шкала PSQI |
Шкала Левина |
Шкала Эпворта |
|||
|
До |
после |
до |
после |
До |
После |
|
|
Группа К |
9 |
9 |
18 |
18 |
8,5 |
8 |
|
Группа О |
9,5 |
7 *p=0,029 |
17 |
20,5 |
9 |
5,5 p<0,01 |
Примечание. р — сравнение внутри группы. *р — сравнение с группой контроля.
Note. p — comparison within the group. *p — comparison with the control group.
ОБСУЖДЕНИЕ
Выявленные нами исходно повышенные уровни КФ и КЩФ контрольной и опытной групп отражают активные изменения, происходящие в костной ткани при метаболическом фенотипе ОА [13]. Наблюдалась интенсификация как процессов костной резорбции (повышение КФ), так и процессов костеобразования (повышение КЩФ, снижение Са), коррелирующие с выраженностью клинических проявлений ОА и нарушениями сна. Взаимодействие между ожирением, компонентами МС и костно-хрящевым метаболизмом является весьма сложным, а проходящие в клетках и тканях процессы в частности основаны на механизмах обратной связи [14][15]. Воздействие жировой ткани на скелет опосредовано как механическими, так и в большей мере биохимическими факторами. Полученные результаты объясняются тем, что интенсификация костной резорбции и увеличение активности фермента КФ у пациентов с метаболическим фенотипом ОА по принципу обратной связи приводит к усилению процессов образования костной ткани, что и обуславливает повышение КЩФ сыворотки крови. Изменения в субхондральной кости и перекрестная связь с хрящевым обменом играют важную роль в развитии ОА. Некоторыми исследованиями рассматривается возможность использования COMP в качестве маркера тяжести ОА, однако, по нашим данным, исходно уровень COMP не различался между группами метаболического фенотипа ОА и здоровыми пациентами, что коррелирует с результатами других похожих по выборке исследований [16–18]. Поскольку в нашем исследовании принимали участие пациенты с 2–3-й стадиями ОА по Kellgren-Lawrence, то стоит упомянуть о том, что в этом случае увеличение COMP после лечения в контрольной группе может избирательно активироваться в хондроцитах, прилегающих к поврежденным областям хряща [19]. Такие данные свидетельствуют о том, что на ранних стадиях ОА повышение СОМР является результатом деградации хряща, тогда как при более поздних стадиях активируется либо для восстановления повреждений, либо для восполнения хрящевого матрикса. Примечательным является то, что выявленное нами повышение маркеров костной резорбции у пациентов с метаболическим фенотипом ОА и их корреляции со шкалами боли согласуется с недавно опубликованными гистопатологическими особенностями субхондральной кости у пациентов с ОА, где повышенная плотность субхондральных остеокластов, ассоциировалась с болью [20]. Выявленная динамика маркеров костного метаболизма в опытной группе после лечения, по нашему мнению, указывает на некоторый остеогенный эффект мелатонина. Снижение показателей резорбции (КФ) и костеобразования (КЩФ) свидетельствует о снижении интенсивности процессов деградации костной ткани, а повышение уровня кальция как следствие увеличение его реабсорбции, что демонстрируют результаты фундаментальных исследований [21][22]. Более выраженное уменьшение болевой чувствительности, симптомов ОА, а также увеличение повседневной активности после лечения в опытной группе позволяет говорить об анальгезирующем эффекте мелатонина, который сопровождался улучшением качества и количества сна, выявленное шкалами субъективной оценки.
В целом биохимические маркеры в сочетании с оценкой клинических шкал являются методом выбора для оценки фармакологического воздействия. Такие данные могут обеспечить связь между механизмом действия препарата и его эффективностью, оценить фенотипические различия между реагирующими и не реагирующими на терапию пациентами, а изучение метаболизма костной и хрящевой ткани при метаболическом фенотипе ОА позволит открыть новые причины и механизмы, которые внесут вклад в понимание патогенеза и персонифицированное лечение ОА.
Репрезентативность выборок
Обследованы 36 пациентов. За время исследования половая принадлежность пациентов была представлена в основном женским полом, поскольку в период проведения исследования за стационарной помощью обращались преимущественно женщины. Размер выборки предварительно не рассчитывался.
Сопоставление с другими публикациями
Многочисленными исследованиями доказано, что с возрастом и некоторыми заболеваниями равновесие циркадной системы нарушается, а выработка мелатонина уменьшается или смещается. Девиантные циркадные ритмы и плохое качество сна связаны с повышенным риском сердечно-сосудистых, метаболических и когнитивных заболеваний, сниженным качеством жизни и смертностью [23]. По результатам исследования случай-контроль с участием 351 932 взрослого в Великобритании наблюдалась значимая связь между различными типами нарушений сна и ОА во всех подгруппах пола и возраста, за исключением пациентов в возрасте >80 лет [24]. В нашем исследовании у пациентов с ОА, чей возраст соответствовал постменопаузальному периоду, также наблюдались инсомнологические расстройства, что подтверждалось несколькими шкалами субъективной оценки сна. Дискутабельным остается вопрос причинно-следственной связи между инсомнией и ОА, является ли выраженный болевой синдром причиной инсомнии, или девиация циркадных ритмов поддерживает симптомы ОА [25]. Но очевидным является то, что добавление в схему препарата мелатонина показало положительный эффект по целому ряду критериев шкал боли, сна, симптомов и качеству жизни по сравнению с контрольной группой, не включавшей в схему лечения препарат мелатонина. Здесь стоит отметить, что задачи определения мелатонина в биологических жидкостях в исследовании не стояло, однако в будущих исследованиях стоит рассмотреть такую возможность в контексте корреляций его уровня с клиническими и биохимическими показателями. Согласно ряду исследований, мелатонин оказывает остео- и хондропротекторные эффекты в различных концентрациях и условиях его применения, однако опыт применения и биохимическая оценка эффективности в клинике дегенеративно-дистрофических заболеваний небольшой [26–28].
Клиническая значимость результатов
В исследовании изучены клинико-биохимические аспекты метаболического фенотипа ОА. У пациентов с метаболическим фенотипом ОА выявлена интенсификация процессов костного ремоделирования, на что указывало увеличение маркеров костной резорбции и костеобразования. Чем выше уровень маркеров костной резорбции, тем больше выраженность клинического течения у пациентов с ОА, а качество сна в целом хуже. По итогу консервативного лечения в опытной группе, чья схема лечения включала препарат мелатонина, отмечалось улучшение клинического течения ОА в сравнении с группой контроля по ряду клинических параметров. Уменьшались болевой синдром и выраженность симптомов, увеличивались повседневная активность и удовлетворенность качеством жизни в целом. Наблюдалось улучшение качества сна с уменьшением периодов дневной сонливости, ночных пробуждений и увеличением продолжительности сна, а выявленная динамика маркеров костного метаболизма в опытной группе после лечения, по нашему мнению, указывает на остеогенный эффект мелатонина. В целом улучшения качества сна при хронической боли и утомляемости у пожилых людей с ОА приводят к стиханию симптомов ОА, отражающемуся на повседневной активности и повышении общей удовлетворенности качеством жизни, что позволяет рассматривать мелатонин как потенциальный компонент консервативной терапии у пациентов с метаболическим фенотипом ОА.
Ограничения исследования
Настоящие результаты следует интерпретировать с учетом определенных ограничений исследования, в частности, небольшого объема выборки и степени случайности осуществления эксперимента.
Направления дальнейших исследований
Тем не менее полученные результаты будут стимулировать дальнейшие исследования для изучения метаболизма костно-хрящевой ткани и выяснения потенциальной роли мелатонина в лечении метаболического фенотипа ОА. Кроме того, данные результаты исследования следует углубить в разрезе молекулярных особенностей регуляции метаболизма костно-хрящевой ткани и влияния мелатонина на приспособительные механизмы при метаболическом фенотипе ОА.
ЗАКЛЮЧЕНИЕ
У пациентов с выраженными показателями клинических проявлений ОА наблюдались более активные процессы костного ремоделирования. Чем выше уровень маркеров костной резорбции у пациентов с метаболическим фенотипом ОА, тем более выражено клиническое течение, а качество сна в целом хуже. Добавление в схему лечения ОА препарата мелатонина было связано с уменьшением процессов костной резорбции, улучшением качества сна и клинического течения ОА в сравнении с группой контроля, что, в свою очередь, позволяет рассматривать мелатонин как потенциальный компонент консервативной терапии у пациентов с метаболическим фенотипом ОА.
ДОПОЛНИТЕЛЬНАЯ ИНФОРМАЦИЯ
Источники финансирования. Исследование выполнено при финансовом обеспечении на базе ФГБОУ ВО «РязГМУ им. акад. И.П. Павлова», г. Рязань, Российская Федерация.
Конфликт интересов. Авторы декларируют отсутствие явных и потенциальных конфликтов интересов, связанных с содержанием настоящей статьи.
Участие авторов. Шодиев Д.Р. — разработка концепции исследования, сбор и обработка материала, анализ данных литературы, написание текста статьи; Звягина В.И. — утверждение концепции и дизайна исследования, редактирование текста статьи; Рябова М.Н. — утверждение концепции и дизайна исследования, редактирование текста статьи; Дмитриева М.Н. — статистическая обработка данных.
Все авторы одобрили финальную версию статьи перед публикацией, выразили согласие нести ответственность за все аспекты работы, подразумевающую надлежащее изучение и решение вопросов, связанных с точностью или добросовестностью любой части работы.
Список литературы
1. Галушко Е.А., Насонов Е.Л. Распространенность ревматических заболеваний в России // Альманах клинической медицины. — 2018. — Т. 46. — №1. — С. 32-39.
2. Comas M, Sala M, Román R, et al. Variaciones en la estimación de la prevalencia de artrosis de rodilla según los criterios diagnósticos utilizados en los estudios poblacionales. Gac Sanit. 2010;24(1):28-32. doi: https://doi.org/10.1016/j.gaceta.2009.06.002
3. Dell’Isola A, Allan R, Smith SL, et al. Identification of clinical phenotypes in knee osteoarthritis: a systematic review of the literature. BMC Musculoskelet Disord. 2016;17(1):425. doi: https://doi.org/10.1186/s12891-016-1286-2
4. Chen Z, Zhao C, Liu P, et al. Anti-apoptosis and autophagy effects of melatonin protect rat chondrocytes against oxidative stress via regulation of AMPK/Foxo3 pathways. Cartilage. 2021;13(S2):1041S-1053S. doi: https://doi.org/10.1177/19476035211038748
5. Zhou L, Chen X, Yan J, et al. Melatonin at pharmacological concentrations suppresses osteoclastogenesis via the attenuation of intracellular ROS. Osteoporos Int. 2017;28(12):3325-3337. doi: https://doi.org/10.1007/s00198-017-4127-8
6. Aota Y, Terayama H, Saito T, Itoh M. Pinealectomy in a broiler chicken model impairs endochondral ossification and induces rapid cancellous bone loss. Spine J. 2013;13(11):1607-1616. doi: https://doi.org/10.1016/j.spinee.2013.05.017
7. Ghareghani M, Scavo L, Arnoult D, et al. Melatonin therapy reduces the risk of osteoporosis and normalizes bone formation in multiple sclerosis. Fundam Clin Pharmacol. 2018;32(2):181-187. doi: https://doi.org/10.1111/fcp.12337
8. Chowdhury-Paulino IM, Cheng I, Valdimarsdottir UA, et al. Abstract C046: Racial and ethnic differences in the association of body mass index (BMI) and melatonin levels among men in the Multiethnic Cohort Study. Cancer Epidemiol Biomarkers Prev. 2020;29(6S2):C046-C046. doi: https://doi.org/10.1158/1538-7755.DISP19-C046
9. Будневский А.В., Резова Н.В., Кожевникова С.А. Прогностическая роль мелатонина в оценке клинического течения артериальной гипертензии // Наука молодых (Eruditio Juvenium). — 2020. — Т. 8. — №4. — С. 549-554.
10. Шодиев Д.Р., Звягина В.И., Рябова М.Н., Дмитриева М.Н. Влияние мелатонина на фактор дислипидемии при метаболическом фенотипе остеоартроза // Гений ортопедии. — 2022. — №2. — С. 249-255.
11. Zhang W, Doherty M, Peat G, et al. EULAR evidencebased recommendations for the diagnosis of knee osteoarthritis. Ann Rheum Dis. 2010;69(3):483-489. doi: https://doi.org/10.1136/ard.2009.113100
12. Бараненков А.А., Голозубов О.М., Голубев В.Г., и др. Региональная адаптация шкалы оценки исходов повреждений и заболеваний коленного сустава KOOS // Травматология и ортопедия России. — 2007. — Т.43. — №1. — С.26-32.
13. Sanchez C, Deberg MA, Bellahcène A, et al. Phenotypic characterization of osteoblasts from the sclerotic zones of osteoarthritic subchondral bone. Arthritis Rheum. 2008;58(2):442-455. doi: https://doi.org/10.1002/art.23159
14. Starup-Linde J, Vestergaard P. Biochemical bone turnover markers in diabetes mellitus — A systematic review. Bone. 2016;82(2):69-78. doi: https://doi.org/10.1016/j.bone.2015.02.019
15. Sharp CA, Magnusson P. Increased bone alkaline phosphatase levels do not necessarily cause hypermineralization per se. Bone. 2016;89(2):83-84. doi: https://doi.org/10.1016/j.bone.2015.05.044
16. Das Gupta E, Ng WR, Wong SF, et al. Correlation of serum cartilage oligomeric matrix protein (COMP) and interleukin-16 (IL-16) levels with disease severity in primary knee osteoarthritis: A pilot study in a Malaysian population. PLoS One. 2017;12(9):e0184802. doi: https://doi.org/10.1371/journal.pone.0184802. Erratum in: PLoS One. 2017;12(12):e0190542.
17. Mündermann A, King KB, Smith RL, Andriacchi TP. Change in serum COMP concentration due to ambulatory load is not related to knee OA status. J Orthop Res. 2009;27(11):1408-1413. doi: https://doi.org/10.1002/jor.20908
18. Bi X. Correlation of serum cartilage oligomeric matrix protein with knee osteoarthritis diagnosis: a meta-analysis. J Orthop Surg Res. 2018;13(1):262. doi: https://doi.org/10.1186/s13018-018-0959-y
19. Koelling S, Clauditz TS, Kaste M, Miosge N. Cartilage oligomeric matrix protein is involved in human limb development and in the pathogenesis of osteoarthritis. Arthritis Res Ther. 2006;8(3):R56. doi: https://doi.org/10.1186/ar1922
20. Aso K, Shahtaheri SM, Hill R, et al. Associations of symptomatic knee osteoarthritis with histopathologic features in subchondral bone. Arthritis Rheumatol. 2019;71(6):916-924. doi: https://doi.org/10.1002/art.40820
21. Qiu S, Tao ZB, Tao L, Zhu Y. Melatonin induces mitochondrial apoptosis in osteoblasts by regulating the STIM1/cytosolic calcium elevation/ERK pathway. Life Sci. 2020;248(2):117455. doi: https://doi.org/10.1016/j.lfs.2020.117455
22. Igarashi-Migitaka J, Maruyama Y, Seki A, et.al. Oral administration of melatonin increases plasma calcium and magnesium and improves bone metabolism in aged male mice. Melatonin Research. 2021(4):581-591. doi: https://doi.org/10.32794/mr112500113
23. Hoevenaar-Blom MP, Spijkerman AM, Kromhout D, et al. Sleep duration and sleep quality in relation to 12-year cardiovascular disease incidence: the MORGEN study. Sleep. 2011;34(11):1487-1492. doi: https://doi.org/10.5665/sleep.1382
24. Blackwell T, Yaffe K, Laffan A, et al. Osteoporotic Fractures in Men (MrOS) Study Group. Associations of objectively and subjectively measured sleep quality with subsequent cognitive decline in older community-dwelling men: the MrOS sleep study. Sleep. 2014;37(4):655-663. doi: https://doi.org/10.5665/sleep.3562
25. Jacob L, Smith L, Konrad M, Kostev K. Association between sleep disorders and osteoarthritis: A case-control study of 351,932 adults in the UK. J Sleep Res. 2021;30(4):e13367. doi: https://doi.org/10.1111/jsr.13367
26. Frohnhofen H. Pain and sleep: A bidirectional relationship. Z Gerontol Geriatr. 2018;51(8):871-874. doi: https://doi.org/10.1007/s00391-018-01461-8
27. Genario R, Cipolla-Neto J, Bueno AA, Santos HO. Melatonin supplementation in the management of obesity and obesityassociated disorders: A review of physiological mechanisms and clinical applications. Pharmacol Res. 2021;163(2):105254. doi: https://doi.org/10.1016/j.phrs.2020.105254
28. Gumeniuk O, Stanislavchuk M, Ostapchuk O. Effect of melatonin on the severity of pain and quality of life in patients with osteoarthritis of the knee and hip. Rheumatology. 2014;53(S1): i131-i132. doi: https://doi.org/10.1093/rheumatology/keu112.001
Об авторах
Д. Р. ШодиевРоссия
Шодиев Дмитрий Рахимович, аспирант
390005, Рязань, ул. Высоковольтная, д. 9
В. И. Звягина
Звягина Валентина Ивановна, к.б.н.
Рязань
Scopus Author ID: 57189726173
М. Н. Рябова
Рябова Маргарита Николаевна, к.м.н.
Рязань
М. Н. Дмитриева
Дмитриева Мария Николаевна, к.п.н.
Рязань
Дополнительные файлы
|
|
1. Рисунок 1. Корреляционный анализ индекса Лекена и уровня кислой фосфатазы (КФ) у больных с метаболическим фенотипом ОА (группы К и О) | |
| Тема | ||
| Тип | Исследовательские инструменты | |
Посмотреть
(137KB)
|
Метаданные ▾ | |
|
|
2. Рисунок 2. Корреляционный анализ шкалы сна Эпворта и уровня кислой фосфатазы (КФ) у больных с метаболическим фенотипом ОА (группы К и О) | |
| Тема | ||
| Тип | Исследовательские инструменты | |
Посмотреть
(137KB)
|
Метаданные ▾ | |
|
|
3. Рисунок 3. Динамика костно-хрящевых метаболитов пациентов контрольной и опытной групп | |
| Тема | ||
| Тип | Исследовательские инструменты | |
Посмотреть
(454KB)
|
Метаданные ▾ | |
|
|
4. Рисунок 4. Динамика суммарного компонента физического здоровья шкалы SF-36 пациентов контрольной и опытной групп | |
| Тема | ||
| Тип | Исследовательские инструменты | |
Посмотреть
(141KB)
|
Метаданные ▾ | |
Рецензия
Для цитирования:
Шодиев Д.Р., Звягина В.И., Рябова М.Н., Дмитриева М.Н. Клинико-биохимические изменения и их коррекция у больных с метаболическим фенотипом остеоартроза и инсомнией. Ожирение и метаболизм. 2023;20(2):104-114. https://doi.org/10.14341/omet12888
For citation:
Shodiev D.R., Zvyagina V.I., Ryabova M.N., Dmitrieva M.N. Clinical and biochemical changes and their correction in patients with metabolic phenotype of osteoarthritis and insomnia. Obesity and metabolism. 2023;20(2):104-114. (In Russ.) https://doi.org/10.14341/omet12888
Контент доступен под лицензией Creative Commons Attribution-NonCommercial-NoDerivatives 4.0 International License (CC BY-NC-ND 4.0).




































