Сardiorespiratory relationships in people of young age depending on the composite composition of the body
https://doi.org/10.14341/omet12829
Abstract
BACKGROUND: The decisive importance of the sympathetic and parasympathetic nervous system in maintaining vegetative homeostasis requires the determination of sensitive non-invasive parameters of multidimensional outpatient monitoring of cardiorespiratory adaptation under various physiological and clinical conditions, taking into account the function of external respiration (FER), compound body composition and heart rate variability (HRV).
AIM: To identify concomitant changes in HRV, HR and compound body composition in young people as markers of cardiorespiratory adaptation and rehabilitation.
MATERIALS AND METHODS: On the basis of the Kuban State Medical University, a single-centre, interventional, cross-sectional, single-sample, comparative, uncontrolled study of a general group of young people in which respiratory parameters and parameters of the compound body composition were determined. Some individuals in this group additionally underwent Holter monitoring of the electrocardiogram (ECG) at short intervals.
RESULTS: In young people, a change in the compound body composition with an increase in total fat mass, visceral and body fat is associated with a decrease in respiratory function (a decrease in the Tiffno index, a decrease in the maximum middle-expiratory flow — MMEF), manifested by a decrease in HRV (according to the TI indicator), the absence of an increase in the autonomic regulation circuit (according to SDNN indicator), a decrease in parasympathetic activity (in terms of rMSSD) and the absence of sympathetic activation (in terms of SDANN). Positive shifts in the form of an increase in trunk muscles, the total amount of water and a decrease in the total fat mass are accompanied by an increase in lung capacity, forced expiratory volume in the first second and a change in HRV with sympathetic (in terms of LF / HF, SDANN) and parasympathetic activation (in terms of rMSSD), an increase in HRV (in terms of TI) and an increase in the autonomic regulation circuit of the vegetative nervous system (in terms of SDNN).
CONCLUSION: Accurate and rapid diagnostics of vegetative homeostasis requires a comprehensive correlative analysis of the parameters characterizing HRV in short recordings, the compound composition of the human body and respiratory function.
About the Authors
V. V. GorbanRussian Federation
Vitaly V. Gorban, MD, PhD
7 Initiative street, 350087, Krasnodar
Reseacher ID: AAH-5498-2021;
eLibrary SPIN: 6305-6187;
Author ID: 300603
O. V. Svistun
Olesya V. Svistun, MD
Krasnodar
eLibrary SPIN: 5088-2575
E. V. Gorban
Еlena V. Gorban, MD, PhD
Krasnodar
eLibrary SPIN: 4590-0110
References
1. Voss A., Schroeder R., Heitmann A. et al. Short-term heart rate variability–influence of gender and age in healthy subjects. PLoS One. 2015;10(3):e0118308. doi: https://doi.org/10.1371/journal.pone.0118308.
2. Hoffmann B, Flatt AA, Silva LEV, et al. A pilot study of the reliability and agreement of heart rate, respiratory rate and short-term heart rate variability in elite modern pentathlon athletes. Diagnostics. 2020;10(10):833. doi: https://doi.org/10.3390/diagnostics10100833
3. Giles DA, Draper N. Heart rate variability during exercise: A comparison of artefact correction methods. J Strength Cond Res. 2018;32(3):726-735. doi: https://doi.org/10.1519/JSC.0000000000001800
4. Gorban VV, Menshix VS, Gorban EV. Features of autonomic regulation of heart rate depending on the composition of the body in young people. South Russ J Ther Pract. 2021;2(1):76-82. (In Russ.). doi: https://doi.org/10.21886/2712-8156-2021-2-1-76-82
5. Alekseenko SN, Gоrbаn VV, Chernоglаzоv KS, Gоrbаn ЕV. Markers of Adaptation to Physical Loads in Young People Committed to Healthy Lifestyle. Kuban Sci Med Bull.. 2019;26(1):28-35. (In Russ.). doi: https://doi.org/10.25207/1608-6228-2019-26-1-28-35
6. Gąsior JS, Sacha J, Pawłowski M, et al. Normative Values for Heart Rate Variability Parameters in School-Aged Children: Simple Approach Considering Differences in Average Heart Rate. Front Physiol. 2018;9(1):28-35. doi: https://doi.org/10.3389/fphys.2018.01495
7. Bellenger CR, Fuller JT, Thomson RL, et al. Monitoring Athletic Training Status Through Autonomic Heart Rate Regulation: A Systematic Review and MetaAnalysis. Sport Med. 2016;46(10):1461-1486. doi: https://doi.org/10.1007/s40279-016-0484-2
8. Gąsior JS, Sacha J, Jeleń PJ, et al. Heart Rate and Respiratory Rate Influence on Heart Rate Variability Repeatability: Effects of the Correction for the Prevailing Heart Rate. Front Physiol. 2016;7(10):1461-1486. doi: https://doi.org/10.3389/fphys.2016.00356
9. Matić Z, Platiša MM, Kalauzi A, Bojić T. Slow 0.1 Hz Breathing and Body Posture Induced Perturbations of RRI and Respiratory Signal Complexity and Cardiorespiratory Coupling. Front Physiol. 2020;11(10):1461-1486. doi: https://doi.org/10.3389/fphys.2020.00024
10. Sala R, Malacarne M, Solaro N, et al. A composite autonomic index as unitary metric for heart rate variability: a proof of concept. Eur J Clin Invest. 2017;47(3):241-249. doi: https://doi.org/10.1111/eci.12730
11. Shaffer F, Ginsberg JP. An Overview of Heart Rate Variability Metrics and Norms. Front Public Heal. 2017;5(3):241-249. doi: https://doi.org/10.3389/fpubh.2017.00258
12. Subash S, Sathiyaseelan M, Ramachandran D. Resting heart rate variability in regular yoga practitioners - A cross-sectional study. Ann Med Physiol. 2020;4(2):12-17. doi: https://doi.org/10.23921/amp.2020v4i2.100521
13. Shalnova SA, Maksimov SA, Balanova YuA, et al. Adherence to a healthy lifestyle of the Russian population depending on the socio-demographics. Cardiovascular Therapy and Prevention. 2020;19(2):33-41. (In Russ.). doi: https://doi.org/10.15829/1728-8800-2020-2452.
14. Natarajan A, Su H-W, Heneghan C, et al. Measurement of respiratory rate using wearable devices and applications to COVID-19 detection. npj Digit Med. 2021;4(1):136. doi: https://doi.org/10.1038/s41746-021-00493-6
15. Liu B, Yan S, Wang X, et al. An improved method to evaluate heart rate variability based on time-variant cardiorespiratory relation. J Appl Physiol. 2019;127(2):320-327. doi: https://doi.org/10.1152/japplphysiol.00125.2019
16. Rastovic M, Srdicc-Galicc B, Barak O, et al. Aging, heart rate variability and metabolic impact of obesity. Acta Clin Croat. 2019;58(3):430-438. doi: https://doi.org/10.20471/acc.2019.58.03.05
17. Ramalingam L, Ramesh R, Kuppan R. Assessment of cardiac sympathovagal activity in overweight young adult males. Natl J Physiol Pharm Pharmacol. 2016;6(2):101-105. doi: https://doi.org/10.5455/njppp.2015.5.0111201589
18. da Silva VP, de Oliveira NA, Silveira H, et al. Heart rate variability indexes as a marker of chronic adaptation in athletes: A systematic review. Ann Noninvasive Electrocardiol. 2015;20(2):108-118. doi: https://doi.org/10.1111/anec.12237
Supplementary files
|
|
1. Figure 1. Pearson’s correlation coefficient between parameters of respiratory function and compound body composition: 1) ЕVC and BMI (r=0.307, p<0.001); 2) ЕVC and Trunk FFM (r=0.733, p<0.001); 3) ЕVC and FAT (r=-0.239, p<0.001); 4) ЕVC and Trunk MM (r=0.733, p<0.001); 5) FEV1 and FAT (r=-0.210, p=0.014); 6) FEV1 and Trunk MM (r=0.175, p=0.041); 7) FEV1 and TBW (r=0.206, p=0.016); 8) Tiffno index and VisF (r=-0.232, p=0.006). | |
| Subject | ||
| Type | Other | |
View
(580KB)
|
Indexing metadata ▾ | |
|
|
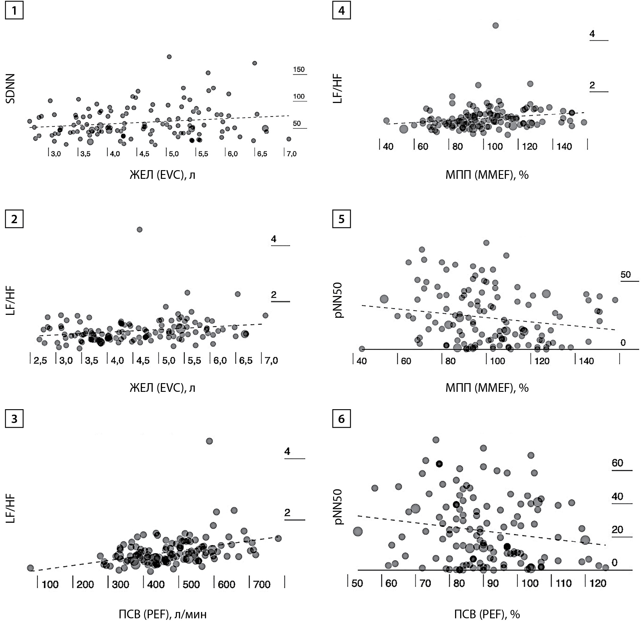
2. Figure 2. Pearson’s correlation coefficient between HRV and FER parameters: 1) SDNN and EVC (r=0,173, p=0,046); 2) LF/HF and EVC (r=0,215, p=0,013); 3) LF/HF and PEF (r=0,381, p<0,001); 4) LF/HF and MMEF (r=0,193, p=0,024); 5) pNN50 and MMEF (r=-0,179, p=0,037); 6) pNN50 and PEF (r=-0,176, p=0,040). | |
| Subject | ||
| Type | Other | |
View
(411KB)
|
Indexing metadata ▾ | |
|
|
3. Figure 3. Pearson’s correlation coefficient between HRV parameters and compound body composition: 1) FAT and rMMSD (r=- 0,154, p=0,020); 2) Trunk FAT and rMMSD (r=-0,154, p=0,021); 3) Trunk MM and SDANN (r=0,160, p=0,017); 4) TBW and rMMSD (r=0,154, p=0,021); 5) Trunk FAT and TI (r=-0,218, p=0,014); 6) Trunk FFM and SDANN (r=0,19, p=0,003); 7) TBW and SDANN (r=0,197, p=0,003); 8) VisF and SDANN (r=0,141, p=0,037). | |
| Subject | ||
| Type | Исследовательские инструменты | |
View
(584KB)
|
Indexing metadata ▾ | |
Review
For citations:
Gorban V.V., Svistun O.V., Gorban E.V. Сardiorespiratory relationships in people of young age depending on the composite composition of the body. Obesity and metabolism. 2022;19(3):261-270. (In Russ.) https://doi.org/10.14341/omet12829
This work is licensed under a Creative Commons Attribution-NonCommercial-NoDerivatives 4.0 International License (CC BY-NC-ND 4.0).




































