Перейти к:
Ассоциации индекса массы тела с уровнем свободных жирных кислот у мужчин
https://doi.org/10.14341/omet12938
Аннотация
Обоснование. У людей с избыточным количеством жировой ткани наблюдаются повышенные уровни свободных жирных кислот (СЖК) в крови, что в итоге приводит к нарушениям метаболизма липидов и резистентности к инсулину, которые являются основными факторами в развитии сахарного диабета.
Цель. Изучить содержание СЖК в плазме крови, а также их ассоциации с массой тела у мужчин.
Материалы и методы. Проведено одноцентровое обсервационное одномоментное исследование. Выборка формировалась случайным репрезентативным методом, сопоставимая по полу и возрасту. В плазме крови определяли уровни СЖК методом высокоэффективной жидкостной хроматографии с масс-спектрометрией.
Результаты. В исследование включены 250 мужчин. Отобранные участники были разделены на группы согласно их индексу массы тела (ИМТ): группа 1 — 62 человека с ИМТ≤24,9 кг/м2, группа 2 — 101 человек с ИМТ 25,0–29,9 кг/м2, группа 3 — 87 человек с ИМТ≥30,0 кг/м2. Мужчин с ожирением разделили на группу 4 — 62 человека с ИМТ 30,0–34,9 кг/м2, группу 5 — 19 человек с ИМТ 35,0–39,9 кг/м2, группу 6 — 6 человек с ИМТ≥40,0 кг/м2.
Содержание докозатетраеновой кислоты было выше в группах 2 (р=0,002) и 5 (р=0,003) при сравнении с группой 1. Содержание гамма-линоленовой кислоты было выше в группе 3, чем в группе 1 (р=0,041). Уровни олеиновой, линолевой, дигомо-гамма-линоленовой, мидовой, арахидоновой, эйкозапентаеновой кислот были выше в группе 5, чем в группе 1 (р=0,007, р=0,023, р=0,004, р=0,019, р=0,006, р=0,001 соответственно), а также чем в группе 2 (р=0,006, р=0,017, р=0,007, р=0,007, р=0,008, р=0,001 соответственно). Содержание нервоновой кислоты выше в группах 1 (р=0,029) и 2 (р=0,012), чем в группе 4. Ожирение ассоциировано с повышением уровня гамма-линоленовой (1,030, 1,006–1,056, р=0,015) и эйкозапентаеновой кислотами (1,061, 1,000–1,125, р=0,045) и снижением уровня нервоновой кислоты (0,953, 0,913–0,994, р=0,027).
Заключение. Уровни СЖК плазмы крови значительно отличаются у мужчин с нормальной массой тела и наличием ожирения. Содержание олеиновой, гамма-линоленовой, мидовой, дигомо-гамма-линоленовой, арахидоновой, докозатетраеновой и эйкозапентаеновой ЖК были значительно выше у мужчин с ожирением 2 степени. Увеличение уровня гамма-линоленовой и эйкозапентаеновой кислот и снижение уровня нервоновой кислоты ассоциированы с ожирением независимо от возраста.
Для цитирования:
Шрамко В.С., Каштанова Е.В., Щербакова Л.В., Полонская Я.В., Стахнёва Е.М., Рагино Ю.И. Ассоциации индекса массы тела с уровнем свободных жирных кислот у мужчин. Ожирение и метаболизм. 2024;21(3):252-262. https://doi.org/10.14341/omet12938
For citation:
Shramko V.S., Kashtanova E.V., Shcherbakova L.V., Polonskaya Ya.V., Stakhneva E.M., Ragino Yu.I. Associations of body mass index with the level of free fatty acids in men. Obesity and metabolism. 2024;21(3):252-262. (In Russ.) https://doi.org/10.14341/omet12938
Обоснование
Ожирение приобрело характер эпидемии во всем мире и стало серьезной проблемой общественного здравоохранения. Ожидается, что к 2030 г. 51% населения будет страдать ожирением [1]. Согласно данным, в России распространенность избыточной массы тела и ожирения среди взрослого населения уже составляет от 20,5 до 54%. При этом в сибирской популяции распространенность ожирения составляет 35,0% (среди мужчин — 20,7%, среди женщин — 47,0%) [2].
Избыточное потребление пищи, особенно с высоким содержанием жиров и сахаров, считается одним из факторов риска развития ожирения [1]. Предыдущие исследования показали, что потребление омега (ɷ)-6 жирных кислот (ЖК) возросло, тем самым значительно увеличивая соотношение ɷ-6/ɷ-3 ЖК более чем 20:1 [3]. Такое изменение состава полиненасыщенных ЖК (ПНЖК) существенно увеличивает частоту и распространенность избыточной массы тела и ожирения [4]. С увеличением массы тела возрастает размер адипоцитов, те в свою очередь высвобождают свободные жирные кислоты (СЖК) в кровь [5]. Ввиду высокого уровня СЖК активизируются процессы перекисного окисления (ПОЛ), что приводит к избытку активных форм кислорода (АФК) и последующему развитию воспалительного процесса [6]. Вместе с тем повышенные уровни СЖК являются одной из основных причин развития инсулинорезистентности [7]. В последнее время молекулы СЖК рассматриваются не просто как промежуточные продукты метаболизма, но и как важные сигнальные молекулы, воздействующие на специфические ядерные рецепторы [8].
ЦЕЛЬ ИССЛЕДОВАНИЯ
Целью нашего исследования стало изучение содержания СЖК в плазме крови, а также их ассоциации с массой тела у мужчин.
МАТЕРИАЛЫ И МЕТОДЫ
Место и время проведения исследования
Место проведения. Настоящее исследование было проведено на базе НИИТПМ — филиал ИЦиГ СО РАН, г. Новосибирск.
Время исследования. Включение участников в исследование проводилось в период с марта 2021 по апрель 2022 гг.
Изучаемые популяции (одна или несколько)
Критерии включения: возраст 35–74 лет, наличие информированного согласия, постоянно проживающие на территории г. Новосибирска (не мигранты и не командированные).
Критерии исключения: возраст <35 либо >74 лет, наличие острых респираторных заболеваний.
Способ формирования выборки из изучаемой популяции (или нескольких выборок из нескольких изучаемых популяций)
Выборка для участия в исследовании формировалась случайным репрезентативным методом, сопоставимая по полу и возрасту.
Дизайн исследования
Одноцентровое обсервационное одномоментное одновыборочное (изучалась одна популяция).
Методы
Всем участникам проводились антропометрические измерения в утренние часы, в помещении. Рост и массу тела измеряли с помощью ростомера и электронных весов. Индекс массы тела (ИМТ) определяли по формуле:
ИМТ = Масса тела (кг) / Рост (м2).
Окружность талии измерялась в положении стоя, на середине расстояния между нижним краем грудной клетки и гребнем подвздошной кости по средней подмышечной линии с помощью сантиметровой ленты. При окружности талии у мужчин >94 см диагностировали абдоминальное ожирение (АО) по критериям ВНОК.
Биохимические исследования проводили в Лаборатории клинических биохимических и гормональных исследований терапевтических заболеваний НИИТПМ — филиал ИЦиГ СО РАН. Концентрацию общего холестерина (ОХС), триглицеридов (ТГ) и липопротеинов высокой плотности (ЛВП) определяли энзиматическими методами с использованием наборов «Thermo Fisher Scientific» на биохимическом анализаторе «Konelab Prime 30i» (Thermo Fisher Scientific, Финляндия). Уровни липопротеинов низкой плотности (ЛНП) рассчитаны с использованием формулы Фридвальда.
В плазме крови методом высокоэффективной жидкостной хроматографии с масс-спектрометрией определяли следующие ЖК: альфа-линоленовая (С 18:3, ɷ-3), эйкозапентаеновая (С 20:5, ɷ-3), докозагексаеновая (С 22:6, ɷ-3), линолевая (С 18:2, ɷ-6), гамма-линоленовая (С 18:3, ɷ-6), дигомо-гамма-линоленовая (С 20:3, ɷ-6), арахидоновая (С 20:4, ɷ-6), докозатетраеновая (С 22:4, ɷ-6), докозапентаеновая (С 22:5, ɷ-6), гексадеценовая (C 16:1, ɷ-9), олеиновая (C 18:1, ɷ-9), мидовая (C 20:3, ɷ-9), нервоновая (C24:1, ɷ-9).
Статистический анализ
Полученные результаты были статистически обработаны с использованием программного пакета SPSS 13.0. Для оценки характера распределения признаков использовался тест Колмогорова-Смирнова. Ввиду ненормального распределения показателей, описательная статистика для непрерывных признаков представлена в виде медианы (Me) и [ 25%; 75%], где 25% — 1-й квартиль; 75% — 3-й квартиль. Для сравнения групп использовался непараметрический критерий для k-независимых групп Kruskal-Wallis. Для попарного сравнения групп использовали непараметрический аналог метода множественного сравнения — критерий Данна. Категориальные переменные представлены в виде % от абсолютного числа (n). Для определения статистической значимости различий качественных признаков применяли критерий Пирсона (χ2). Оптимальный порог отсечения уровней ЖК для идентификации наличия избыточной массы тела или ожирения определяли с помощью ROC-анализа. Ассоциативные связи были изучены с помощью многофакторной логистической регрессионной модели. Результаты представлены как отношение шансов (ОШ) и 95% доверительный интервал (ДИ) для ОШ. Уровень значимости был установлен на уровне р<0,05.
Этическая экспертиза
Локальный этический комитет НИИТПМ филиала ИЦиГ СО РАН одобрил программу «Мониторинг состояния здоровья и распространенности факторов риска терапевтических заболеваний, их прогнозирование и профилактика в Сибири», номер протокола 69 от 29.09.2020 г.
РЕЗУЛЬТАТЫ
В исследование были включены 250 мужчин со средним возрастом 54,8±10,2 года. Отобранные в исследование мужчины были разделены на группы согласно ИМТ: группа 1 (1) — 62 человека с нормальной массой тела (ИМТ≤24,9 кг/м2), группа 2 (2) — 101 человек с избыточной массой тела (ИМТ 25,0–29,9 кг/м2), группа 3 (3) — 87 человек с ожирением (ИМТ≥30,0 кг/м2). Далее мужчин с ожирением (3) разделили на: группа 4 (4) — 62 человека с ожирением 1 степени (ИМТ 30,0–34,9 кг/м2), группа 5 (5) — 19 человек с ожирением 2 степени (ИМТ 35,0–39,9 кг/м2), группа 6 (6) — 6 человек с ожирением 3 степени (ИМТ≥40,0 кг/м2).
В таблице 1 представлены клинико-анамнестическая характеристика и липидный профиль обследованных мужчин в зависимости от наличия и типа ожирения.
В таблице 2 представлено содержание изучаемых СЖК в зависимости от наличия и типа ожирения.
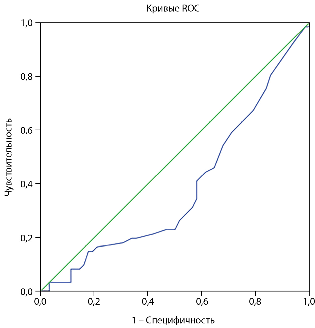
При анализе групп мужчин с нормальной и избыточной массой тела была получена разница для уровня докозатетраеновой кислоты (13,0 [ 11,0; 17,0] против 16,0 [ 12,0; 25,5], p=0,002]. После проведенного однофакторного ROC-анализа был определен оптимальный порог отсечения для уровня докозатетраеновой ЖК крови в 17,5 нмоль/мл (рис. 1), который с чувствительностью 40% и специфичностью 77% свидетельствует о наличии избыточной массы тела (площадь под кривой 0,601±0,041; р=0,017).
При анализе группы мужчин с нормальной массой тела и группы лиц с ожирением 1 степени была получена разница для уровня нервоновой кислоты (48,5 [ 39,0; 54,0] против 41,0 [ 37,5; 48,0], p=0,029]. Уменьшение уровня нервоновой ЖК (рис. 2) ниже 45 нмоль/мл (оптимальный порог отсечения) с чувствительностью 68,9% и специфичностью 56,5% свидетельствует о наличии ожирения 1 степени (площадь под кривой 0,614±0,037; р=0,029).
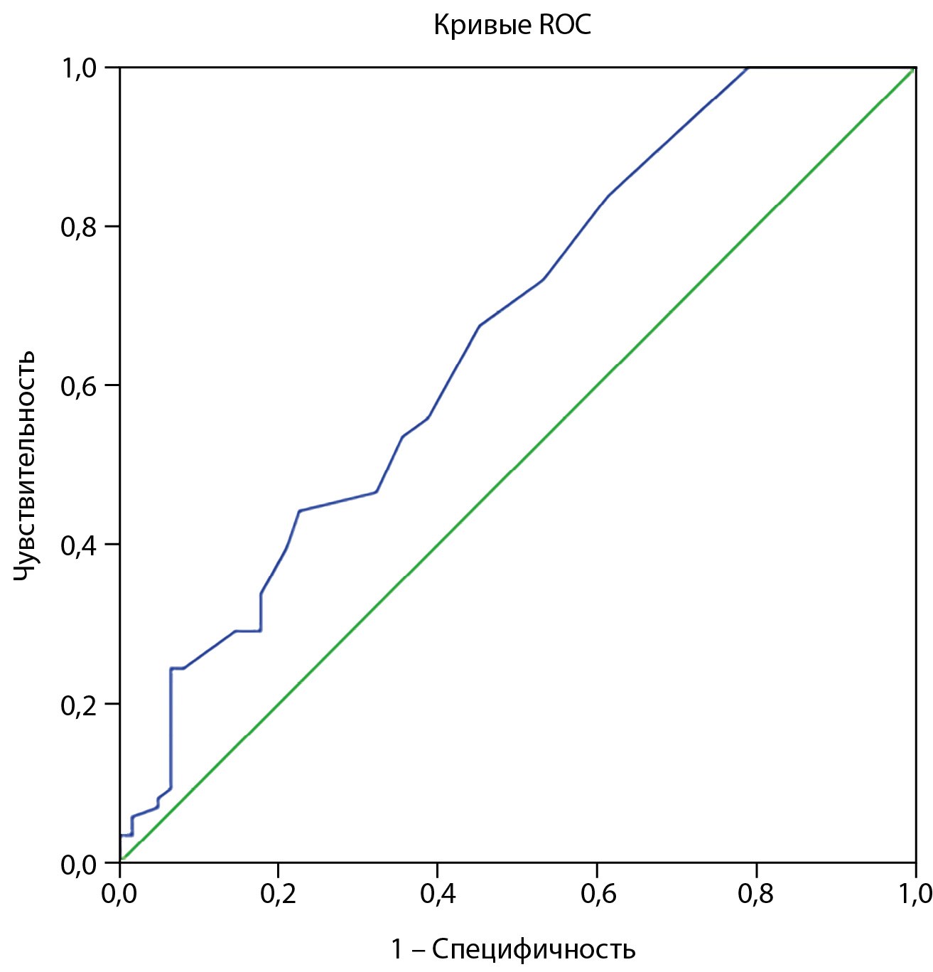
По проведенному однофакторному ROC-анализу групп мужчин с нормальной массой тела и ожирением 2 степени (рис. 3) был определен оптимальный порог отсечения для: уровня эйкозапентаеновой кислоты в плазме крови в 24,0 нмоль/мл (площадь под кривой 0,768±0,053; р=0,011) с чувствительностью 68% и специфичностью 77%; уровня линолевой кислоты — в 2,24 мкмоль/мл (площадь под кривой 0,673±0,069; р=0,023) с чувствительностью 63% и специфичностью 69%; уровня гамма-линоленовой кислоты — в 38,0 нмоль/мл (площадь под кривой 0,740±0,059; р=0,0004) с чувствительностью 68% и специфичностью 66%; уровня дигомо-гамма-линоленовой кислоты — в 54,0 нмоль/мл (площадь под кривой 0,672±0,065; р=0,012) с чувствительностью 64% и специфичностью 64%; уровня арахидоновой кислоты — в 486,0 нмоль/мл (площадь под кривой 0,679±0,062; р=0,009), с чувствительностью 60% и специфичностью 71%; уровня докозатетраеновой кислоты — в 18,0 нмоль/мл (площадь под кривой 0,698±0,065; р=0,003) с чувствительностью 60% и специфичностью 79%; уровня олеиновой кислоты — в 1,36 мкмоль/мл (площадь под кривой 0,679±0,065; р=0,009) с чувствительностью 60% и специфичностью 77%; уровня мидовой кислоты — в 5,0 нмоль/мл (площадь под кривой 0,639±0,063; р=0,042) с чувствительностью 52% и специфичностью 58% — свидетельствуют о наличии ожирения 2 степени.
Следующим этапом был проведен анализ уровня изучаемых СЖК, ассоциированных с ожирением (ИМТ≥30,0 кг/м2) в модели многофакторного логистического регрессионного анализа (табл. 3).
Результаты регрессионного анализа показали, что ожирение (ИМТ≥30,0 кг/м2) ассоциировано с увеличением уровня эйкозапентаеновой (р=0,045) и гамма-линоленовой кислоты (р=0,015), а также с уменьшением уровня нервоновой кислоты (р=0,027). При включении в Модель возраста сохраняются значимые независимые ассоциации для гамма-линоленовой и нервоновой ЖК.
Таблица 1. Клинико-анамнестическая характеристика и липидный профиль обследованных мужчин в зависимости от наличия и типа ожирения
Table 1. Clinical-anamnestic characteristics and lipid profile of the examined men, depending on the presence and type of obesity
Показатели | ИМТ (1) n=62 | ИМТ 25,0–29,9 кг/м2 (2) n=101 | ИМТ (3) n=87 | ИМТ 30,0–34,9 кг/м2 (4) n=62 | ИМТ 35,0–39,9 кг/м2 (5) n=19 | ИМТ (6) n=6 | р 1 – 2 | р 1 – 3 | р 1 – 4 | р 1 – 5 | р 1 – 6 | р 2 – 3 | р 2 – 4 | р 2 – 5 | р 2 – 6 |
Средний возраст | 55,0 [ 46,75; 63,0] | 54,0 [ 45,0; 64,0] | 53,0 [ 46,75; 63,0] | 53,0 [ 49,0; 66,0] | 57,0 [ 50,0; 64,0] | 57,0 [ 46,75; 60,25] | 0,898 | 0,873 | 0,909 | 0,464 | 0,823 | 0,958 | 0,740 | 0,448 | 0,892 |
ЧСС уд/мин | 72,5 [ 64,75; 81,0] | 68,0 [ 62,0; 76,0] | 73,0 [ 66,0; 82,0] | 72,0 [ 66,0; 78,5] | 79,0 [ 64,0; 80,0] | 84,5 [ 76,5; 95,7] | 0,060 | 0,660 | 0,618 | 0,422 | 0,031 | 0,013 | 0,106 | 0,036 | 0,006 |
Систолическое АД, мм рт.ст. | 130,0 [ 119,5; 140,0] | 133,0 [ 124,0; 145,5] | 140,0 [ 130,0; 155,0] | 140,0 [ 130,0; 149,5] | 136,0 [ 129,0; 60,0] | 155,0 [ 146,25; 172,5] | 0,078 | 0,001 | 0,001 | 0,020 | 0,001 | 0,010 | 0,028 | 0,138 | 0,007 |
Диастолическое АД, мм рт.ст. | 84,5 [ 78,0; 92,0] | 87,0 [ 81,0; 97,5] | 91,0 [ 85,0; 100,0] | 90,0 [ 84,0; 100,0] | 92,5 [ 88,0; 100,0] | 98,5 [ 96,5; 100,0] | 0,056 | 0,001 | 0,006 | 0,005 | 0,001 | 0,008 | 0,061 | 0,045 | 0,014 |
Окружность талии, см | 81 [ 76,0; 85,0] | 93,0 [ 88,0; 98,0] | 106,1 | 104,0 [ 99,5; 107,0] | 115,0 [ 113,0; 120,0] | 136,0 [ 126,0; 137,5] | 0,001 | 0,001 | 0,001 | 0,001 | 0,001 | 0,001 | 0,001 | 0,001 | 0,001 |
Холестерин, ммоль/л | 4,9 [ 4,4; 5,72] | 5,1 [ 4,3; 5,95] | 5,3 [ 4,37; 6,02] | 5,4 [ 4,5; 6,2] | 5,1 [ 4,1; 5,8] | 5,15 [ 4,65; 5,55] | 0,482 | 0,236 | 0,109 | 0,768 | 0,776 | 0,582 | 0,264 | 0,450 | 0,839 |
Триглицериды, ммоль/л | 0,94 [ 0,79; 1,32] | 1,42 [ 1,01; 1,9] | 1,76 [ 1,25; 2,51] | 1,68 [ 1,21; 2,35] | 2,35 [ 1,19; 3,11] | 2,0 [ 1,64; 2,32] | 0,001 | 0,001 | 0,001 | 0,001 | 0,001 | 0,003 | 0,034 | 0,010 | 0,050 |
ЛПВП, ммоль/л | 1,42 [ 1,18; 1,66] | 1,27 [ 1,11; 1,42] | 1,15 [ 1,25; 2,51] | 1,17 [ 0,99; 1,41] | 1,09 [ 0,96; 1,18] | 1,25 [ 1,03; 1,35] | 0,003 | 0,001 | 0,001 | 0,001 | 0,049 | 0,015 | 0,095 | 0,009 | 0,477 |
ЛПНП, ммоль/л | 3,03 [ 2,47; 3,64] | 3,14 [ 2,52; 3,96] | 3,30 [ 2,73; 3,72] | 3,33 [ 2,65; 4,03] | 3,17 [ 2,77; 3,36] | 3,07 [ 2,21; 3,52] | 0,381 | 0,169 | 0,115 | 0,564 | 0,728 | 0,529 | 0,433 | 0,925 | 0,511 |
Глюкоза, ммоль/л | 5,45 [ 5,0; 5,82] | 5,7 [ 5,3; 6,2] | 5,95 [ 5,4; 6,85] | 5,8 [ 5,4; 6,3] | 7,6 [ 6,4; 8,1] | 5,75 [ 5,35; 8,32] | 0,067 | 0,001 | 0,044 | 0,001 | 0,109 | 0,002 | 0,460 | 0,001 | 0,446 |
Статус курения [absolute in %] | 33,9% | 32,7% | 26,7% | 33,9% | 10,5% | 0 | 0,875 | 0,911 | 0,948 | 0,052 | – | 0,885 | 0,819 | 0,054 | – |
Примечание: АД — артериальное давление; ИМТ — индекс массы тела; ЛПВП — липопротеины высокой плотности; ЛПНП — липопротеины низкой плотности, ЧСС — частота сердечных сокращений.
Данные представлены в виде медианы с указанием 1-го и 3-го квартилей — Ме [ 25%; 75%], % от абсолютного числа (n). Статистически значимым различие считали при р<0,05.
Note: BP — blood pressure; BMI — body mass index; HDL — high density lipoproteins; LDL —low density lipoproteins; heart rate — heart rate.
The data are presented as a median indicating the 1st and 3rd quartiles — Ме [ 25%; 75%], % of the absolute number (n). The statistically significant difference was considered at p<0.05.
Таблица 2. Распределение свободных жирных кислот плазмы крови в зависимости от наличия и типа ожирения
Table 2. Distribution of free fatty acids in blood plasma depending on the presence and type of obesity
Жирные кислоты (нмоль/мл) | ИМТ ≤24,9 кг/м2 (1) n=62 | ИМТ 25,0–29,9 кг/м2 (2) n=101 | ИМТ (3) n=87 | ИМТ 30,0–34,9 кг/м2 (4) n=62 | ИМТ 35,0–39,9 кг/м2 (5) n=19 | ИМТ (6) n=6 | р 1 – 2 | р 1 – 3 | р 1 – 4 | р 1 – 5 | р 1 – 6 | р 2 – 3 | р 2 – 4 | р 2 – 5 | р 2 – 6 |
Альфа-линоленовая кислота, С 18:3, ɷ-3 | 54,0 [ 39,0; 63,0] | 56,0 [ 42,0; 71,5] | 55,0 [ 41,0; 72,5] | 55,0 [ 37,0; 67,0] | 68,0 [ 46,0; 87,0] | 53,0 [ 40,25; 113,5] | 0,422 | 0,462 | 0,931 | 0,064 | 0,908 | 0,938 | 0,424 | 0,093 | 0,935 |
Эйкозапентаеновая кислота, С 20:5, ɷ-3 | 18,5 [ 14,0; 24,0] | 19,0 [ 15,0; 26,0] | 20,0 [ 15,0; 28,5] | 18,0 [ 15,0; 23,0] | 28,0 [ 25,0; 37,0] | 22,0 [ 14,75; 45,25] | 0,287 | 0,050 | 0,678 | 0,001 | 0,283 | 0,312 | 0,481 | 0,001 | 0,460 |
Докозагексаеновая кислота, С 22:6, ɷ-3 | 52,0 [ 46,0; 64,25] | 52,0 [ 46,0;65,5] | 54,0 [ 48,0; 71,5] | 53,0 [ 48,0; 68,0] | 64,0 [ 47,0; 113,0] | 56,5 [ 47,25; 138,0] | 0,887 | 0,186 | 0,451 | 0,081 | 0,465 | 0,202 | 0,484 | 0,121 | 0,481 |
Линолевая кислота* С 18:2, ɷ-6 | 1,81 [ 1,34; 2,5] | 1,76 [ 1,24; 2,51] | 1,91 [ 1,32; 2,66] | 1,86 [ 1,23; 2,47] | 2,51 [ 1,68; 3,47] | 1,48 [ 1,27; 2,9] | 0,864 | 0,495 | 0,970 | 0,023 | 0,665 | 0,363 | 0,955 | 0,017 | 0,850 |
Гамма-линоленовая кислота, С 18:3, ɷ-6 | 31,0 [ 21,0; 42,5] | 30,0 [ 22,0; 46,5] | 35,5 [ 26,7; 58,2] | 31,0 [ 21,5; 52,0] | 46,0 [ 33,0; 77,0] | 59,5 [ 34,7; 105,7] | 0,323 | 0,041 | 0,439 | 0,003 | 0,015 | 0,171 | 0,985 | 0,013 | 0,036 |
Дигомо-гамма-линоленовая кислота, С 20:3, ɷ-6 | 51,0 [ 46,7; 59,7] | 51,0 [ 46,0; 62,0] | 54,0 [ 48,0; 73,0] | 50,0 [ 48,0; 62,5] | 58,0 [ 53,0; 98,0] | 52,5 [ 42,25; 175,5] | 0,928 | 0,102 | 0,440 | 0,004 | 0,792 | 0,121 | 0,544 | 0,007 | 0,781 |
Арахидоновая кислота, С 20:4, ɷ-6 | 409,0 [ 324,7; 530,2] | 381,0 [ 316,0; 562,0] | 403,0 [ 333,2; 579,7] | 378,0 [ 315,0; 532,0] | 551,0 [ 409,0; 720,0] | 426,5 [ 360,2; 784,2] | 0,875 | 0,573 | 0,503 | 0,006 | 0,547 | 0,416 | 0,673 | 0,008 | 0,469 |
Докозатетраеновая кислота, С 22:4, ɷ-6 | 13,0 [ 11,0; 17,0] | 16,5 [ 12,0; 25,5] | 15,0 [ 11,0; 22,0] | 13,0 [ 10,0; 20,5] | 22,0 [ 12,0; 29,0] | 16,0 [ 11,0; 26,5] | 0,002 | 0,177 | 0,841 | 0,003 | 0,367 | 0,861 | 0,059 | 0,044 | 0,776 |
Докозапентаеновая кислота, С 22:5, ɷ-6 | 8,0 [ 6,0; 12,5] | 8,0 [ 6,0; 14,0] | 8,0 [ 6,0; 13,25] | 7,0 [ 6,0; 12,5] | 9,0 [ 7,0; 21,0] | 9,5 [ 5,5; 26,75] | 0,531 | 0,417 | 0,802 | 0,120 | 0,681 | 0,861 | 0,679 | 0,227 | 0,826 |
Гексадеценовая кислота, C 16:1, ɷ-9 | 18,0 [ 16,0; 23,0] | 19,0 [ 16,0; 26,0] | 18,0 [ 16,0; 23,0] | 17,0 [ 15,0; 22,0] | 21,0 [ 17,0; 25,0] | 17,5 [ 16,0; 26,5] | 0,675 | 0,966 | 0,529 | 0,098 | 0,792 | 0,848 | 0,374 | 0,167 | 0,935 |
Олеиновая кислота* C 18:1, ɷ-9 | 0,93 [ 0,76; 1,31] | 0,94 [ 0,75; 1,51] | 0,95 [ 0,76; 1,49] | 0,83 [ 0,74; 1,27] | 1,41 [ 0,98; 1,99] | 1,25 [ 0,72; 2,27] | 0,810 | 0,622 | 0,445 | 0,007 | 0,478 | 0,805 | 0,225 | 0,006 | 0,401 |
Мидовая кислота, C 20:3, ɷ-9 | 4,0 [ 3,0; 8,0] | 4,0 [ 3,0; 7,0] | 4,0 [ 3,0; 8,0] | 4,0 [ 2,0; 7,5] | 7,0 [ 4,0; 11,0] | 5,0 [ 2,0; 16,0] | 0,904 | 0,698 | 0,551 | 0,019 | 0,891 | 0,548 | 0,527 | 0,007 | 0,712 |
Нервоновая кислота, C24:1, ɷ-9 | 48,5 [ 39,0; 54,0] | 45,0 [ 39,0; 53,0] | 42,5 [ 38,0; 51,2] | 41,0 [ 37,5; 48,0] | 43,0 [ 40,0; 52,0] | 45,5 [ 40,75; 52,25] | 0,801 | 0,102 | 0,029 | 0,620 | 0,237 | 0,050 | 0,012 | 0,666 | 0,217 |
Примечание: * — единицы измерения для линолевой и олеиновой кислоты представлены в мкмоль/мл. ɷ — омега; ИМТ — индекс массы тела.
Данные представлены в виде медианы с указанием 1-го и 3-го квартилей — Ме [ 25%; 75%]. Статистически значимым различие считали при р<0,05.
Note: * — units of measurement for linoleic and oleic acid are presented in µmol/ml. ɷ — omega, BMI — body mass index.
The data are presented as a median indicating the 1st and 3rd quartiles — Ме [ 25%; 75%]. The statistically significant difference was considered at p<0.05.

Рисунок 1. ROC-анализ докозатетраеновой кислоты для идентификации наличия избыточной массы тела.
Figure 1. ROC-analysis of docosatetraenoic acid to identify the presence of excess body weight.

Рисунок 2. ROC-анализ нервоновой кислоты для идентификации наличия ожирения 1 степени.
Figure 2. ROC-analysis of nervonic acid to identify the presence of obesity 1 grade.

Рисунок 3. ROC-анализ жирных кислот для идентификации наличия ожирения 2 степени.
Figure 3. ROC-analysis of fatty acids to identify the presence of obesity 2 grade.
Таблица 3. Ассоциации ожирения и уровня свободных жирных кислот
Table 3. Associations of obesity and free fatty acid levels
Параметр | Модель 1 | Модель 2 |
Альфа-линоленовая кислота, С 18:3, ɷ-3 | 1,005 (0,982–1,028), р=0,685 | 1,004 (0,980–1,029), р=0,754 |
Эйкозапентаеновая кислота, С 20:5, ɷ-3 | 1,061 (1,000–1,125), р=0,045 | 1,050 (0,983–1,120), р=0,145 |
Докозагексаеновая кислота, С 22:6, ɷ-3 | 0,986 (0,962–1,009), р=0,231 | 0,987 (0,962–1,013), р=0,320 |
Линолевая кислота* С 18:2, ɷ-6 | 0,999 (0,998–1,000), р=0,282 | 1,000 (0,999–1,001), р=0,463 |
Гамма-линоленовая кислота, С 18:3, ɷ-6 | 1,030 (1,006–1,056), р=0,015 | 1,032 (1,004–1,061), р=0,024 |
Дигомо-гамма-линоленовая кислота, С 20:3, ɷ-6 | 1,007 (0,985–1,030), р=0,548 | 1,004 (0,979–1,030), р=0,746 |
Арахидоновая кислота, С 20:4, ɷ-6 | 1,001 (0,996–1,005), р=0,680 | 1,002 (0,997–1,008), р=0,361 |
Докозатетраеновая кислота, С 22:4, ɷ-6 | 1,038 (0,952–1,132), р=0,396 | 1,022 (0,927–1,127), р=0,657 |
Докозапентаеновая кислота, С 22:5, ɷ-6 | 0,995 (0,923–1,073), р=0,897 | 0,987 (0,911–1,071), р=0,758 |
Гексадеценовая кислота, C 16:1, ɷ-9 | 0,999 (0,930–1,073), р=0,975 | 0,976 (0,904–1,054), р=0,533 |
Олеиновая кислота* C 18:1, ɷ-9 | 1,000 (0,999–1,001), р=0,792 | 1,000 (0,999–1,001), р=0,977 |
Мидовая кислота, C 20:3, ɷ-9 | 0,929 (0,807–1,070), р=0,308 | 0,932 (0,803–1,082), р=0,356 |
Нервоновая кислота, C24:1, ɷ-9 | 0,953 (0,913–0,994), р=0,027 | 0,940 (0,898–0,985), р=0,009 |
Примечание: ɷ — омега.
Данные представлены как отношение шансов (ОШ) и 95% доверительный интервал для ОШ.
Статистически значимым различие считали при р<0,05.
Note: ɷ — omega.
The data is presented as an odds ratio (OR) and a 95% confidence interval for OR.
The difference was considered statistically significant when р<0,05.
Обсуждение
Избыточная масса тела и ожирение представляют собой серьезную угрозу общественному здоровью во всем мире [9]. В настоящее время избыточную массу тела или ожирение имеют порядка 2 млрд человек, и эта цифра неуклонно растет примерно на 1% в год [10]. Кроме того, каждое увеличение ИМТ на одну единицу выше нормальной массы тела повышает риск развития сахарного диабета 2 типа (СД2) и сердечно-сосудистых заболеваний (ССЗ) [11].
У людей с избыточным количеством жировой ткани наблюдаются повышенные уровни СЖК в крови, что в итоге приводит к нарушениям метаболизма липидов [12], резистентности к инсулину и клеточной дисфункции, которые являются основными факторами в развитии СД2 [13]. Capurso C. et al. показали, что повышение уровня СЖК в висцеральной жировой ткани, прежде всего за счет избыточного липолиза, лежит в основе дисфункции рецепторов инсулина и резистентности к инсулину [14]. Кроме того, Cohen G. et al. обнаружили, что в метаболическом ответе бета-клеток поджелудочной железы на глюкозу высвобождение ɷ-6 ЖК в цитоплазме связано с ПОЛ, тем самым вызывая инсулиновый ответ [15].
Результаты настоящего исследования показывают, что существуют значительные различия в содержании СЖК плазмы крови между мужчинами с нормальной и избыточной массой тела и/или наличием ожирения. В частности, содержание докозатетраеновой кислоты было выше в группе с избыточной массой тела (ИМТ 25–29,9 кг/м2) и с наличием ожирения 2 степени (ИМТ 35,0–39,9 кг/м2) при сравнении с группой, участники которой имели нормальную массу тела (ИМТ≤24 кг/м2). Содержание гамма-линоленовой кислоты было выше в группе мужчин с ожирением (в основном за счет лиц с ИМТ≥35,0 кг/м2), чем в группе мужчин с нормальной массой тела, а также чем в группе с избыточной массой тела (ИМТ 25–29,9 кг/м2). Кроме того, мы обнаружили, что концентрации шести ЖК (С 18:1; С 18:2; С 20:3 ɷ-6; С 20:3 ɷ-9; С 20:4; С 20:5) были значительно выше в группе с ожирением 2 степени, чем в группе с нормальной массой тела, а также чем в группе с избыточной массой тела. При анализе содержания ЖК у мужчин с ИМТ≥35,0 кг/м2 (объединив группы 5 и 6 в одну в связи с небольшим количеством участников) значимая разница сохранилась для всех ЖК, кроме линолевой кислоты. Напротив, содержание нервоновой кислоты отмечается выше в группах с ИМТ≤29,9 кг/м2, чем у лиц с ожирением. Данные изменения уровня СЖК могут указывать на предрасположенность к развитию осложнений, таких как метаболический синдром и/или резистентность к инсулину.
Мононенасыщенные жирные кислоты (МНЖК) химически классифицируются как ЖК, содержащие одну двойную связь (в отличие от насыщенных ЖК, не имеющих двойных связей, и ПНЖК, содержащих две или более двойных связей) [16]. Одной из наиболее распространенных МНЖК является олеиновая ЖК (С 18:1), которая входит в состав как растительных масел, так и животных жиров [17]. Установлено, что С 18:1 является основным акцептором АФК при моделировании окислительного стресса. Считается, что олеиновая кислота может уменьшать содержание ОХС и атерогенных ЛНП в крови, снижая риск развития ССЗ [18]. Однако в работе Warensjö E. et al. высокое содержание олеиновой кислоты в сыворотке предсказывало как ССЗ, так и общую смертность [19]. Показано, что МНЖК у детей с избыточной массой тела характеризуются значительно более высоким содержанием пальмитоолеиновой и олеиновой ЖК и более высокой активностью фермента стеарил-КоА-десатуразы [18]. В поперечном исследовании Kang M. et al. [20] повышение C18:1 и Δ9-десатуразы у людей с избыточной массой тела объясняется избытком висцерального жира и изменением активности десатуразы ЖК в зависимости от площади висцерального жира. Более того, высокий уровень олеиновой ЖК имеет молекулярное значение — она является предпочтительным субстратом для синтеза ТГ и эфиров холестерина [21]. Вполне вероятно, что полученные нами различия в уровне олеиновой кислоты могут быть связаны с гипертриглицеридемией, т.к. уровень ТГ крови оказался повышенным у лиц с ожирением, особенно в группе мужчин с ИМТ≥35,0 кг/м2 — 2,35 ммоль/л, что не противоречит литературным данным [18][21].
Гамма-линоленовая кислота представляет собой ɷ-6 ПНЖК, цепь которой состоит из 18 атомов углерода. Содержится в маслах из растительных семян, и обычно ее применяют в составе пищевых добавок . Образуется из пищевой линолевой кислоты под действием десатураз и элонгаз [17]. Однако биологически важными ɷ-6 ПНЖК принято считать дигомо-гамма-линоленовую и арахидоновую ЖК, которые, в свою очередь, синтезируются из гамма-линоленовой кислоты [22]. Поэтому в литературе данные о влиянии гамма-линоленовой ЖК на сердечно-сосудистые события или показатели метаболического синдрома практически отсутствуют [23]. Тем не менее несколько обзоров и метаанализов поставили под сомнение в эффективности добавок, обогащенных гамма-линоленовой кислотой, особенно в контексте атопического дерматита и ревматоидного артрита [22][24]. В настоящем исследовании уровни изучаемых ɷ-6 ПНЖК были выше в группе с ожирением 2 степени, чем в группе с нормальной или с избыточной массой тела. Более того, уровни гамма-линоленовой ЖК были значимо выше у лиц с ожирением, чей ИМТ составлял ≥30,0 кг/м2, что довольно ожидаемо, поскольку линолевая кислота является предшественником для синтеза ω-6 ПНЖК. Наши данные согласуются с исследованием Pickens C.A. et al., где большинство ω-6 ПНЖК были повышены как у участников с избыточной массой тела, так и у пациентов с ожирением [25]. А Liu L. et al. определили потенциальные биомаркеры-индикаторы СЖК, в том числе линолевую кислоту, в диагностике изолированной гипергликемии и СД2 [26]. Вместе с тем спор о том, являются ли эффекты ω-6 ПНЖК про- или противовоспалительными, пока что сохраняется [17], поэтому необходимо их дальнейшее изучение.
Эйкозапентаеновая кислота представляет собой ɷ-3 незаменимую ПНЖК (С20:5). В организм человека поступает с жирной рыбой, пищевыми морскими водорослями или в качестве добавок [17]. Биосинтезируется из основного предшественника α-линоленовой кислоты (C 18:3 ɷ-3) [27]. Известно, что эйкозапентаеновая ЖК благотворно влияет на множественные процессы, включая эндотелиальную дисфункцию, окислительный стресс, облегчение атерогенной дислипопротеинемии, увеличение синтеза эйкозаноидов и др. [28]. Несмотря на это, в нескольких исследованиях с изучением содержания ɷ-3 С 20:5 обнаружены противоречивые результаты. Ранее, в популяционном исследовании, проведенном в Канаде, было показано, что ɷ-3 ПНЖК в составе фосфолипидов плазмы положительно коррелируют с окружностью талии [29]. В исследовании Alsharari Z.D. et al. существовала пограничная значимая разница по признаку пола в ассоциациях между эйкозапентаеновой ЖК и АО, а также эйкозапентаеновая ЖК была взаимосвязана с окружностью талии и ожирением у женщин. Однако уровень другой ɷ-3 ПНЖК, докозагексаеновой, был обратно пропорционален распространенности АО [30]. Sikorska-Wiśniewska M. et al. были обнаружены сильные ассоциации между ɷ-3 эйкозапентаеновой ЖК и жировой массой у пациентов, находящихся на диализе. Авторы пришли к заключению, что увеличение ɷ-3 ПНЖК может способствовать улучшению прогноза пациентов с ожирением [31]. В настоящем исследовании уровни эйкозапентаеновой кислоты были значительно выше в группе с ожирением 2 степени, чей ИМТ составлял ≥35,0 кг/м2, чем в группе с нормальной или с избыточной массой тела. Кроме того, в группе с ожирением 2 степени отмечается наибольший уровень глюкозы крови — 7,6 ммоль/л. Вероятно, вследствие повышенного уровня глюкозы в крови увеличивается высвобождение СЖК из увеличенных адипоцитов, в том числе и С 20:5 [32]. Кроме того, нами не учитывалось количество потребления ɷ-3 ПНЖК, поступаемых с пищей. Таким образом, невозможно установить, обусловлены ли наблюдаемые различия в профиле ɷ-3 ПНЖК пищевыми привычками и/или ограничениями, или другими факторами. Поэтому наши выводы нуждаются в дальнейшем подтверждении в более крупном исследовании с учетом различных ковариат питания (например, потребление рыбы), чтобы включить эти данные в модель.
Нервоновая кислота представляет собой еще одну омега-9 МНЖК с очень длинной цепью (C 24:1). Содержится в маслах семян рапса и горчицы [33]. Наиболее известная своей ролью в нервной системе, является промежуточным звеном в биосинтезе миелина и одной из основных ЖК в сфинголипидах мозга [34]. Вместе с тем изучается ее связь с маркерами воспаления, ССЗ, а также со смертностью от всех причин [35]. Oda E. et al. сообщили, что нервоновая кислота отрицательно коррелирует с факторами сердечно-сосудистого риска и может оказывать профилактическое действие при метаболических нарушениях [36]. В исследовании Fox T.E. et al. было обнаружено снижение уровня нервоновой кислоты при СД 1 типа и при ожирении [37]. При изучении пациентов с метаболическим синдромом было показано, что содержание С 24:1 в липидах сыворотки ниже у лиц с метаболическим синдромом по сравнению с субъектами без метаболического синдрома [38]. Кроме того, нервоновая кислота плазмы крови значительно ниже у тучных людей по сравнению с худыми, и обратно коррелирует с ИМТ [25]. В нашем исследовании были обнаружены более низкие уровни нервоновой кислоты у мужчин с ИМТ≥30,0 кг/м2, чем у мужчин с нормальной или избыточной массой тела. Вероятно, с увеличением массы жировой ткани нарушается регуляция экспрессии элонгазы-6 и дельта-9 десатуразы ЖК (ферменты, ответственные за синтез МНЖК [39]), что объясняет снижение уровня нервоновой ЖК.
Результаты многофакторного анализа показывают, что ожирение ассоциировано с повышением уровня ПНЖК, С 18:3 (ɷ-6) и С 20:5 (ɷ-3), и снижением уровня МНЖК, C 24:1 (ɷ-9). Дальнейшие исследования позволят понять, являются ли повышенный уровень гамма-линоленовой и эйкозапентаеновой, а также снижение уровня нервоновой ЖК причинным фактором или же лишь второстепенным звеном в патогенезе метаболических нарушений, связанных с ожирением.
Ограничения исследования
Исследование имеет ограничение в связи с изучением небольшой выборки мужчин (250 человек), и нет сравнения с группой женщин того же возраста. В настоящем исследовании не учитывалось количество потребления ɷ-3 и ɷ-6 ПНЖК, поступаемых с пищей.
Направления дальнейших исследований
Данное исследование было пилотным, и его результаты свидетельствуют о том, что изучение свободных жирных кислот плазмы крови является перспективным направлением в раскрытии механизмов формирования у пациентов ожирения. Наиболее значимые результаты могут быть получены при проведении исследования в более крупном формате (добавить количество участников в группы 5 и 6). Планируется учет различных ковариат питания (например, потребление рыбы). Кроме того, запланировано включить группу женщин, изучить их гормональный статус, что позволит определить, являются ли данные изменения в уровне жирных кислот причинным или все же второстепенным звеном в патогенезе ожирения.
Заключение
Уровни СЖК плазмы крови у мужчин с нормальной массой тела значительно отличаются от уровней СЖК у лиц с избыточной массой тела или ожирением. В настоящем исследовании мы обнаружили, что концентрации олеиновой (С 18:1), гамма-линоленовой (С 18:3), мидовой (С 20:3, ɷ-9), дигомо-гамма-линоленовой (С 20:3, ɷ-6), арахидоновой (С 20:4), докозатетраеновой (С 22:4) и эйкозапентаеновой (С 20:5) ЖК были значительно выше в группе с ожирением 2 степени, чем в группе с нормальной массой тела. Кроме того, мы определили, что увеличение уровня ПНЖК, гамма-линоленовой (С 18:3, ɷ-6) и эйкозапентаеновой (С 20:5, ɷ-3), и снижение уровня МНЖК, нервоновой (C 24:1, ɷ-9), ассоциированы с ожирением независимо от возраста мужчин. Таким образом, выявление изменений уровня СЖК может стать полезным для диагностики пациентов в качестве ранних факторов, влияющих на развитие метаболического синдрома.
Дополнительная информация
Источники финансирования. Работа проведена в рамках бюджетной темы по Государственному заданию № FWNR-2024-0004.
Конфликт интересов. Авторы декларируют отсутствие явных и потенциальных конфликтов интересов, связанных с содержанием настоящей статьи.
Участие авторов. Шрамко В.С. — получение и анализ данных, интерпретация результатов, написание статьи, одобрение финальной версии рукописи, согласие нести ответственность за все аспекты работы, подразумевающую надлежащее изучение и решение вопросов, связанных с точностью или добросовестностью любой части работы; Каштанова Е.В. — внесение в рукопись важной правки с целью повышения научной ценности статьи, согласие нести ответственность за все аспекты работы, подразумевающую надлежащее изучение и решение вопросов, связанных с точностью или добросовестностью любой части работы; Щербакова Л.В. — внесение в рукопись существенных правок с целью повышения научной ценности статьи, одобрение финальной версии рукописи, согласие нести ответственность за все аспекты работы, подразумевающую надлежащее изучение и решение вопросов, связанных с точностью или добросовестностью любой части работы; Полонская Я.В. — одобрение финальной версии рукописи, согласие нести ответственность за все аспекты работы, подразумевающую надлежащее изучение и решение вопросов, связанных с точностью или добросовестностью любой части работы; Стахнёва Е.М. — одобрение финальной версии рукописи, согласие нести ответственность за все аспекты работы, подразумевающую надлежащее изучение и решение вопросов, связанных с точностью или добросовестностью любой части работы; Рагино Ю.И. — дизайн исследования, внесение в рукопись существенных правок с целью повышения научной ценности статьи, одобрение финальной версии рукописи, согласие нести ответственность за все аспекты работы, подразумевающую надлежащее изучение и решение вопросов, связанных с точностью или добросовестностью любой части работы.
Список литературы
1. Ahmed B, Sultana R, Greene MW. Adipose tissue and insulin resistance in obese. Biomed Pharmacother. 2021;137:111315. doi: https://doi.org/10.1016/j.biopha.2021.111315
2. Алфёрова В.И., Мустафина С.В. Распространенность ожирения во взрослой популяции Российской Федерации (обзор литературы) // Ожирение и метаболизм. — 2022. — Т. 19. — №1. — С. 96-105. doi: https://doi.org/10.14341/omet12809
3. Simopoulos AP. An increase in the omega-6/omega-3 fatty acid ratio increases the risk for obesity. Nutrients. 2016;8:128. doi: https://doi.org/10.3390/nu8030128
4. Ichimura A, Hasegawa S, Kasubuchi M, et al. Free fatty acid receptors as therapeutic targets for the treatment of diabetes. Front. Pharmacol. 2014;5:236. doi: https://doi.org/10.3389/fphar.2014.00236
5. Ebbert JO, Jensen MD. Fat depots, free fatty acids, and dyslipidemia. Nutrients. 2013;5(2):498-508. doi: https://doi.org/10.3390/nu5020498
6. Longo M. Adipose tissue dysfunction as determinant of obesity-associated metabolic complications. International journal of molecular sciences. 2019;20(9):2358. doi: https://doi.org/10.3390/ijms20092358
7. Вельков В.В. Свободные жирные кислоты новый маркер инсулинорезистентности и ишемии // Дальневосточный медицинский журнал. — 2008. — 4. — С. 120-122.
8. Исаева А.П., Гаппарова К.М., Чехонина Ю.Г., и др. Свободные жирные кислоты и ожирение: состояние проблемы // Вопросы питания. — 2018. — Т. 87. — №1. — С. 18-27. doi: https://doi.org/10.24411/0042-8833-2018-10002
9. Ataey A, Jafarvand E, Adham D, et al. The Relationship Between Obesity, Overweight, and the Human Development Index in World Health Organization Eastern Mediterranean Region Countries. J Prev Med Public Health. 2020; 53(2):98-105. doi: https://doi.org/10.3961/jpmph.19.100
10. Родионова Т.И., Тепаева А.И. Ожирение — глобальная проблема современного общества // Фундаментальные исследования. — 2012. — Т.12 №1. — С. 132-136.
11. Mozaffarian D, Benjamin EJ, Go AS. Heart disease and stroke statistics-2015 update: A report from the American Heart Association. Circulation. 2015;131(4):e29-e39. doi: https://doi.org/10.1161/CIR.0000000000000152
12. Ma XL, Meng L, Li LL, et al. Plasma Free Fatty Acids Metabolic Profile Among Uyghurs and Kazaks With or Without Type 2 Diabetes Based on GC-MS. Exp Clin Endocrinol Diabetes. 2018;126(10):604-611. doi: https://doi.org/10.1055/s-0043-121263
13. Xin Y, Wang Y, Chi J, et al. Elevated free fatty acid level is associated with insulin-resistant state in nondiabetic Chinese people. Diabetes Metab Syndr Obes. 2019;12:139-147. doi: https://doi.org/10.2147/DMSO.S186505
14. Capurso C, Capurso A. From excess adiposity to insulin resistance: the role of free fatty acids. Vascul Pharmacol. 2012;57(2-4):91-7. doi: https://doi.org/10.1016/j.vph.2012.05.003
15. Cohen G, Shamni O, Avrahami Y, et al. Beta cell response to nutrient overload involves phospholipid remodelling and lipid peroxidation. Diabetologia. 2015;58(6):1333-43. doi: https://doi.org/10.1007/s00125-015-3566-z
16. Schwingshackl L, Hoffmann G. Monounsaturated fatty acids and risk of cardiovascular disease: synopsis of the evidence available from systematic reviews and meta-analyses. Nutrients. 2012;11;4(12):1989-2007. doi: https://doi.org/10.3390/nu4121989
17. Shramko VS, Polonskaya YV, Kashtanova EV, et al. The Short Overview on the Relevance of Fatty Acids for Human Cardiovascular Disorders. Biomolecules. 2020; 10(8):1127. doi: https://doi.org/10.3390/biom10081127
18. Людинина А.Ю., Бойко Е.Р. Функциональная роль мононенасыщенных жирных кислот в организме человека // Успехи физиологических наук. — 2013. — Т. 44. — №4. — С. 51-64.
19. Warensjö E, Sundström J, Vessby B, Cederholm T, Risérus U. Markers of dietary fat quality and fatty acid desaturation as predictors of total and cardiovascular mortality: a population-based prospective study. Am J Clin Nutr. 2008;88(1):203-209. doi: https://doi.org/10.1093/ajcn/88.1.203
20. Kang M, Lee A, Yoo HJ, Kim M, et al. Association between increased visceral fat area and alterations in plasma fatty acid profile in overweight subjects: a cross-sectional study. Lipids Health Dis. 2017;16(1):248. doi: https://doi.org/10.1186/s12944-017-0642-z
21. Gambino R, Bugianesi E, Rosso C, et al. Different Serum Free Fatty Acid Profiles in NAFLD Subjects and Healthy Controls after Oral Fat Load. Int J Mol Sci. 2016;17(4):479. doi: https://doi.org/10.3390/ijms17040479
22. Sergeant S, Rahbar E, Chilton FH. Gamma-linolenic acid, Dihommo-gamma linolenic, Eicosanoids and Inflammatory Processes. Eur J Pharmacol. 2016;785:77-86. doi: https://doi.org/10.1016/j.ejphar.2016.04.020
23. Hooper L, Al-Khudairy L, Abdelhamid AS, et al. Omega-6 fats for the primary and secondary prevention of cardiovascular disease. Cochrane Database Syst Rev. 2018;7(7):CD011094. doi: https://doi.org/10.1002/14651858.CD011094.pub3
24. Bamford JT, Ray S, Musekiwa A, et al. Oral evening primrose oil and borage oil for eczema. Cochrane Database Syst Rev. 2013;2013(4):CD004416. doi: https://doi.org/10.1002/14651858.CD004416.pub2
25. Pickens CA, Sordillo LM, Comstock SS, et al. Plasma phospholipids, non-esterified plasma polyunsaturated fatty acids and oxylipids are associated with BMI. Prostaglandins Leukot Essent Fatty Acids. 2015;95:31-40. doi: https://doi.org/10.1016/j.plefa.2014.12.001
26. Liu L, Li Y, Guan C, et al. Free fatty acid metabolic profile and biomarkers of isolated post-challenge diabetes and type 2 diabetes mellitus based on GC-MS and multivariate statistical analysis. J Chromatogr B Analyt Technol Biomed Life Sci. 2010;878(28):2817-25. doi: https://doi.org/10.1016/j.jchromb.2010.08.035
27. Valenzuela R, Ortiz M, Hernández-Rodas MC, et al. Targeting n-3 Polyunsaturated Fatty Acids in Non-Alcoholic Fatty Liver Disease. Curr Med Chem. 2020;27(31):5250-5272. doi: https://doi.org/10.2174/0929867326666190410121716
28. Borow KM, Nelson JR, Mason RP. Biologic plausibility, cellular effects, and molecular mechanisms of eicosapentaenoic acid (EPA) in atherosclerosis. Atherosclerosis. 2015;242(1):357-66. doi: https://doi.org/10.1016/j.atherosclerosis.2015.07.035
29. Dewailly E, Blanchet C, Gingras S, et al. Cardiovascular disease risk factors and n-3 fatty acid status in the adult population of James Bay Cree. Am J Clin Nutr. 2002;76(1):85-92. doi: https://doi.org/10.1093/ajcn/76.1.85
30. Alsharari ZD, Risérus U, Leander K, et al. Serum Fatty Acids, Desaturase Activities and Abdominal Obesity - A Population-Based Study of 60-Year Old Men and Women. PLoS One. 2017;12(1):e0170684. doi: https://doi.org/10.1371/journal.pone.0170684
31. Sikorska-Wiśniewska M, Mika A, Śledziński T, et al. Disorders of serum omega-3 fatty acid composition in dialyzed patients, and their associations with fat mass. Ren Fail. 2017;39(1):406-412. doi: https://doi.org/10.1080/0886022X.2017.1295870
32. Albracht-Schulte K, Gonzalez S, Jackson A, et al. Eicosapentaenoic Acid Improves Hepatic Metabolism and Reduces Inflammation Independent of Obesity in High-Fat-Fed Mice and in HepG2 Cells. Nutrients. 2019;11(3):599. doi: https://doi.org/10.3390/nu11030599
33. Fan Y, Meng HM, Hu GR, et al. Biosynthesis of nervonic acid and perspectives for its production by microalgae and other microorganisms. Appl Microbiol Biotechnol. 2018;102(7):3027-3035. doi: https://doi.org/10.1007/s00253-018-8859-y
34. Pellegrini CN, Buzkova P, Lichtenstein AH, et al. Individual non-esterified fatty acids and incident atrial fibrillation late in life. Heart. 2021;107(22):1805-1812. doi: https://doi.org/10.1136/heartjnl-2020-317929
35. Delgado GE, Krämer BK, Lorkowski S, et al. Individual omega-9 monounsaturated fatty acids and mortality-The Ludwigshafen Risk and Cardiovascular Health Study. J Clin Lipidol. 2017;11(1):126-135.e5. doi: https://doi.org/10.1016/j.jacl.2016.10.015
36. Oda E, Hatada K, Kimura J, et al. Relationships between serum unsaturated fatty acids and coronary risk factors: negative relations between nervonic acid and obesity-related risk factors. Int Heart J. 2005;46(6):975-85. doi: https://doi.org/10.1536/ihj.46.975
37. Fox TE, Bewley MC, Unrath KA, et al. Circulating sphingolipid biomarkers in models of type 1 diabetes. J Lipid Res. 2011;52(3):509-17. doi: https://doi.org/10.1194/jlr.M010595
38. Yamazaki Y, Kondo K, Maeba R, et al. Proportion of nervonic acid in serum lipids is associated with serum plasmalogen levels and metabolic syndrome. J Oleo Sci. 2014;63(5):527-37. doi: https://doi.org/10.5650/jos.ess13226
39. Wang Y, Botolin D, Xu J, et al. Regulation of hepatic fatty acid elongase and desaturase expression in diabetes and obesity. J Lipid Res. 2006;47(9):2028-41. doi: https://doi.org/10.1194/jlr.M600177-JLR20
Об авторах
В. С. ШрамкоРоссия
Шрамко Виктория Сергеевна - к.м.н.
630089, Новосибирск, ул. Бориса Богаткова, д. 175/1
ResearcherID ABG-9543-2020; Scopus Author ID 57194556107
Конфликт интересов:
Нет
Е. В. Каштанова
Россия
Каштанова Елена Владимировна - д.б.н.
Новосибирск
Researcher ID J-4675-2016; Scopus Author ID 8645249000
Конфликт интересов:
Нет
Л. В. Щербакова
Россия
Щербакова Лилия Валерьевна.
Новосибирск
Researcher ID ABA-9069-2021; Scopus Author ID 15030341800
Конфликт интересов:
Нет
Я. В. Полонская
Россия
Полонская Яна Владимировна - д.б.н.
Новосибирск
Researcher ID H-4397-2016; Scopus Author ID 57216801775
Конфликт интересов:
Нет
Е. М. Стахнёва
Россия
Стахнёва Екатерина Михайловна - к.б.н.
Новосибирск
Researcher ID R-1589-2016; Scopus Author ID 24774022600
Конфликт интересов:
Нет
Ю. И. Рагино
Россия
Рагино Юлия Игоревна - д.м.н., профессор.
Новосибирск
ResearcherID E-9498-2015; Scopus Author ID 6602418274
Конфликт интересов:
Нет
Дополнительные файлы
|
|
1. Рисунок 1. ROC-анализ докозатетраеновой кислоты для идентификации наличия избыточной массы тела | |
| Тема | ||
| Тип | Исследовательские инструменты | |
Посмотреть
(131KB)
|
Метаданные ▾ | |
|
|
2. Рисунок 2. ROC-анализ нервоновой кислоты для идентификации наличия ожирения 1 степени | |
| Тема | ||
| Тип | Исследовательские инструменты | |
Посмотреть
(129KB)
|
Метаданные ▾ | |
|
|
3. Рисунок 3. ROC-анализ жирных кислот для идентификации наличия ожирения 2 степени | |
| Тема | ||
| Тип | Исследовательские инструменты | |
Посмотреть
(279KB)
|
Метаданные ▾ | |
Рецензия
Для цитирования:
Шрамко В.С., Каштанова Е.В., Щербакова Л.В., Полонская Я.В., Стахнёва Е.М., Рагино Ю.И. Ассоциации индекса массы тела с уровнем свободных жирных кислот у мужчин. Ожирение и метаболизм. 2024;21(3):252-262. https://doi.org/10.14341/omet12938
For citation:
Shramko V.S., Kashtanova E.V., Shcherbakova L.V., Polonskaya Ya.V., Stakhneva E.M., Ragino Yu.I. Associations of body mass index with the level of free fatty acids in men. Obesity and metabolism. 2024;21(3):252-262. (In Russ.) https://doi.org/10.14341/omet12938
Контент доступен под лицензией Creative Commons Attribution-NonCommercial-NoDerivatives 4.0 International License (CC BY-NC-ND 4.0).




































